HBE9028 Bluetooth LED Driver with Microwave Sensor

Product Information
The HBE9028 is an Integrated LED Driver and Microwave Sensor with Constant Current and 5.0 SIG Mesh capabilities. The product features a Photocell AdvanceTM and is compatible with EnOcean BLE switches. It also has Internet-of-Things (IoT) features and allows for device firmware updates over-the-air (OTA). The product has an insulated terminal cover with cord restraint and supports Switch-Dim with one Push input. The product comes with an app that provides additional features.
Product Usage Instructions
- Ensure that the product is properly installed and connected to the power source.
- Download the app from the app store and install it on your mobile device.
- Pair the product with the app using the instructions provided in the app.
- Use the app to control the product’s features, such as turning it on or off, adjusting the brightness, and setting the motion sensor sensitivity.
- If you have EnOcean BLE switches, pair them with the product to control it without using the app.
- To update the product’s firmware, use the OTA feature in the app.
- If you experience any issues or have questions about the product, refer to the user manual or contact customer support for assistance.
Product Description
HBE9028 is integrated Bluetooth dimming LED driver + microwave sensor combo with maximum power output of 28W. Such 2 in 1 integrated design is a very cost-effective solution, it is ideal for new luminaires design for lighting manufacturers. It comes with Switch-Dim interface by using Push switch (retractive switch) and of course Bluetooth dimming interface. With Bluetooth wireless mesh networking, it makes communication between luminaires much easier without time-consuming hardwiring, which eventually saves costs for projects. Meanwhile, simple device setup and commissioning can be done via app.
App Features
Quick setup mode & advanced setup mode
Web app/platform for project deployment & data analysis
Koolmesh Pro app on iPad for on-site configuration
Floorplan feature to simplify project planning
One-key device replacement
Device social relations check
Staircase function (primary & secondary)
Remote control via gateway support HBGW01
Heat map
Dynamic daylight harvest auto-adaptation
Grouping luminaires via mesh network
Scenes
Dusk/Dawn photocell (Twilight function)
Tri-level control
Daylight harvest
Circadian rhythm (Human centric lighting)
Push switch configuration
Detailed motion sensor settings
Schedule
Astro timer (sunrise and sunset)
Power-on status (memory against power loss)
Offline commissioning
Bulk commissioning (copy and paste settings)
Different permission levels via authority management
Network sharing via QR code or keycode
Interoperability with Hytronik Bluetooth product portfolio
Compatible with EnOcean BLE switches
Compatible with EnOcean BLE switches
Device firmware update over-the-air (OTA)
Continuous development in progress…
Continuous development in progress…
Photocell Advance
Insulated terminal cover with cord restraint
Standby power <1W
Analogue flicker-free dimming ANALOGUE
Over-temperature Protection
Switch-Dim with one Push input
Short-circuit protection
Overload protection
5-year warranty
EnOcean
Self-Powered laot
Fully support EnOcean self-powered switch module PTM215B (HBES01/W & HBES01/B)
Output Configuration

BLUETOOTH 5.0 SIG mesh 
Smartphone app for both iOS & Android platform 
Koolmesh Pro app for iPad
Web app/platform: www.iot.koolmesh.
Technical Specifications
| Bluetooth Transceiver | |
| Operation frequency | 2.4 GHz – 2.483 GHz |
| Transmission power | 4 dBm |
| Range (Typical indoor) | 10~30m |
| Protocol | Bluetooth 5.0 SIG Mesh |
| Sensor Data | |
| Sensor principle | High Frequency (microwave) |
| Operation frequency | 5.8GHz +/- 75MHz |
| Transmission power | <0.2mW |
| Detection range (Max.)* | Installation Height : 6m Detection Range(Ø) :10m@3m height |
| Detection angle | 30°~ 150° |
| Safety & EMC | |
| EMC standard (EMC) | EN55015, EN61547, EN6100-2/3 |
| Safety standard (LVD) | EN61347-1, EN61347-2-13 |
| RED | EN300328, EN300440, EN301489-1 EN301489-3, EN301489-17 |
| Dielectric strength | Input→output: 3000VAC / 5mA /1min |
| Abnormal protection | Output short-circuit protection |
| Certification | CB, CE , EMC, RED, RCM, UKCA |
| Input Characteristics | |
| Operating voltage | 220~240VAC 50/60Hz |
| Input current | 0.150 – 0.140A |
| Input power | 33W (Max.) |
| Warming-up | 20s |
| Driver Data | |
| Off load voltage | 60V |
| 300mA/6-47V/2-14W | |
| 350mA/6-47V/2-16.5W | |
| 400mA/6-47V/2-19W | |
| Output LED current / voltage / power | 450mA/6-47V/3-21W 500mA/6-47V/3-23.5W 550mA/6-47V/3-26W |
| 600mA/6-45V/4-27W | |
| 650mA/6-42V/4-27W | |
| 700mA/6-40V/4-28W | |
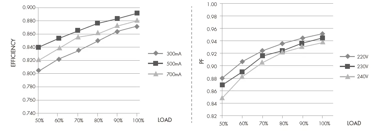
| Power factor | >0.9 |
| Eficiency | 85% (Max.) |
| Environment | |
| Operation temperature | Ta: -20OC ~ +50OC |
| Case temperature (Max.) | Tc: +75OC |
| IP rating | IP20 |
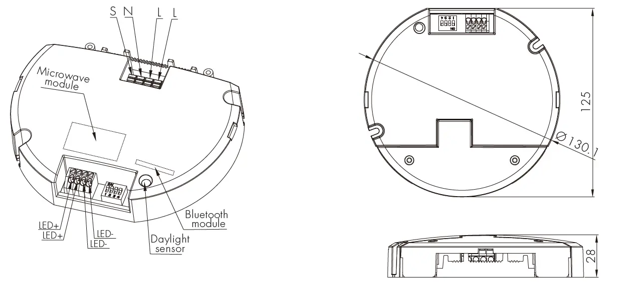
Mechanical Structure & Dimensions
Wire Preparation 
To make or release the wire from the terminal, use a screwdriver to push down the button.
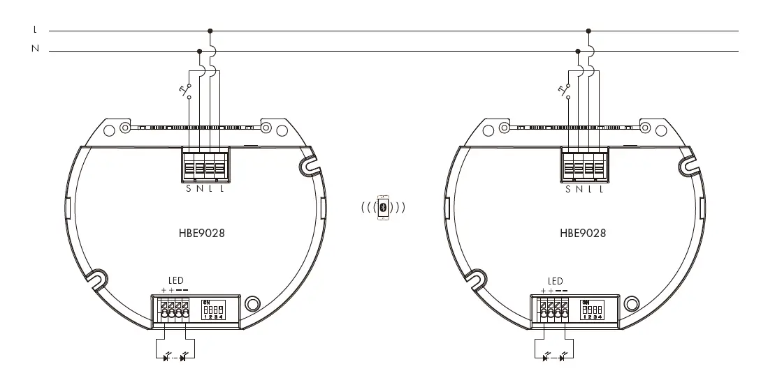
Wiring Diagram 
Subject to change without notice.
Assembly 
The sensor features the DIP switches and protrudes the LED panel. This feature enables the end user to select current without removing the gear tray / LED board.
Loading and In-rush Current
| Model | HBE9028 |
| In-rush Current (Imax.) | 15A |
| Pulse Time | 70 s |
Circuit Breaker Information
| Automatic circuit breaker type | B16A | B10A | B13A | B20A | B25A |
| HBE9028 | 66 | 41 | 54 | 83 | 104 |
The data above is calculated according to the formula: Maximum Amount = 16/(Pn/230). In order to provide a more reliable reference in real application, the data have been revised to take 60% of the number calculated, i.e. 16/(Pn/230) x 60%. Please kindly take note that the calculation is based on ABB circuit breaker series S200. Actual values may differ due to different types of circuit breaker used and installation environment.
Detection Pattern

Performance Characteristics 
Dimming Interface Operation Notes
Switch-Dim
The provided Switch-Dim interface allows for a simple dimming method using commercially available non-latching (momentary) wall switches. Detailed Push switch configurations can be set on Koolmesh app.
| Switch Function | Action | Descriptions | ||
| Push switch | Short press (<1 second) * Short press has to be longer than 0.1s, or it will be invalid. |
|
| |
| Double push |
|
| ||
| Long press (≥1 second) |
| |||
| Sensor-link | / |
| ||
| Emergency Self-Test Function | Short press (<1 second) * Short press has to be longer than 0.1s, or it will be invalid. |
|
| |
| Long press (≥1 second) |
|
| ||
| Fire Alarm (VFC signal only) | Refer toKoolmesh | App User Manual V2.1 |
| |
Additional Information / Documents
- For full explanation of Hytronik Photocell AdvanceTM technology, please kindly refer to: www.hytronik.com/download ->knowledge ->Introduction of Photocell Advance
- To learn more about detailed product features/functions, please refer to: www.hytronik.com/download ->knowledge ->Introduction of App Scenes and Product Functions
- Regarding precautions for Bluetooth product installation and operation, please kindly refer to: www.hytronik.com/download ->knowledge ->Bluetooth Products – Precautions for Product Installation and Operation
- Regarding precautions for microwave sensor installation and operation, please kindly refer to: www.hytronik.com/download ->knowledge ->Microwave Sensors – Precautions for Product Installation and Operation
- Regarding precautions for LED driver installation and operation, please kindly refer to: www.hytronik.com/download ->knowledge ->LED Drivers – Precautions for Product Installation and Operation
- Data sheet is subject to change without notice. Please always refer to the most recent release on: www.hytronik.com/products/bluetooth technology ->Bluetooth Drivers
- Regarding Hytronik standard guarantee policy, please refer to: www.hytronik.com/download->knowledge->Hytronik Standard Guarantee Policy

















