NevadaNano MPS003-S40501-EX MPS Mini Flammable Gas Sensor
Molecular Property SpectrometerTM MPSTM Mini Flammable Gas Sensor
OVERVIEW
NevadaNano’s MPS Mini Flammable Gas Sensor is the next generation of gas detection and quantification for work-
er safety and leak detection in drilling, transportation, and production of oil & gas and chemical products. The smart sensor quickly detects and accurately quantifies over a dozen gases and gas mixtures using a standard factory cali-bration. It has built-in environmental compensation and automatic self-testing for fail-safe operation. It is robust and extremely poison resistant. Sensor readings are output on a digital bus or configurable analog output – no added electronics are required. With a 5-year lifetime and no calibration required, the MPS Mini Flammable Gas Sensor delivers industry-leading performance and a low cost of ownership.
TrueLELTM GAS DETECTION 
Accuracy guaranteed for methane and hydrogen across full environmental range. Other gases typically meet the published tolerances across the full envi-ronmental range, but are guaranteed only near standard conditions1. The MPS Mini Flammable Gas Sensor is capable of detecting most common flammable gases/vapors (see page 4). Contact [email protected] for more information.
PERFORMANCE
ENVIRONMENTAL OPERATING RANGE 

FEATURES
- Automatic multi-gas accuracy in real-time
- Built-in environmental compensation
- Extremely poison resistant
- No calibration required
- 5+ year lifetime
- Low power — 29 mW average
- Built-in self-test for fail-safe operation
OPERATING PRINCIPLE
The MPS Mini Flammable Gas Sensor’s trans-
ducer is a micro-machined membrane with an embedded Joule heater and resistance thermometer. The MEMS transducer is mounted on a PCB and packaged inside a rugged enclosure open to ambient air. Presence of a flammable gas causes changes in the thermodynamic properties of the air/gas mixture that are measured by the transducer. Sensor data are processed by patent-pending algorithms to report an accu-rate concentration and classify the flammable gas.
NOTES
- Standard conditions: 20 ˚C, 50 %RH
GAS CLASSIFICATION
The old way: Conventional sensing technologies (e.g. catalytic bead, NDIR) use a “k-factor” multiplier to convert raw sensor signals to gas concentrations in % LEL. These “k-factors” are based on known relative sensitivities of these sensors to different gases. A single “k-factor”, corresponding to a particular gas, must be selected manually during system setup; if the sensor is then exposed to a gas other than the one selected, significant errors in reported concentration can occur. The MPS way: The MPS Mini Flammable Gas Sensor applies a real-time conversion factor automatically, using the latest measured thermal properties of the ambient air/gas and the environmental conditions. The %LEL values reported for the bulk, which may contain a mixture of gases, achieves the same high levels of accuracy achieved with single gases. The sensor also automatically outputs the class of flammable gas present, according to the following categories:
- CLASS 1: Hydrogen
Molecular Weight: 2.0 [g/mol] Density: 0.09 [kg/m3]
- Number of Carbons: 0
CLASS 2: Hydrogen Mixture Avg. Mol. Weight: 1-14 [g/mol] Avg. Density: 0.1-0.6 [kg/m3] Number of Carbons: varies
- CLASS 3: Methane/Natural Gas Avg. Mol. Weight: 16 to 19 [g/mol] Avg. Density: 0.6-0.9 [kg/m3] Typical Number of Carbons: 0-2
Gases having molecular properties similar to that of methane may be classified as methane (e.g. ammonia, acetylene)
- CLASS 4: Light Gas (or Light Gas Mixture)
Avg. Mol. Weight: 25 to 75 [g/mol]
Avg. Density: 1.2-2.5 [kg/m3]
Typical Number of Carbons: 1-4
Example Gases: Ethane, Propane, Butane, Isopropanol
- CLASS 5: Medium Gas (or Medium Gas Mixture) Avg. Mol. Weight: 50 to 120 [g/mol]
Avg. Density: 1.5-4.0 [kg/m3]
Typical Number of Carbons: 2-8
Example Gases: Pentane, Hexane
- CLASS 6: Heavy Gas (or Heavy Gas Mixture) Avg. Mol. Weight: 80+ [g/mol]
Avg. Density: 3.5+ [kg/m3]
Typical Number of Carbons: 6+
Example Gases: Octane, Toluene, Xylene
MECHANICAL
- Mass
3.0 ± 0.5 grams - Body material
Polycarbonate
ELECTRICAL
- Operating voltage
3.3 – 5.0 ±5% VDC - Current consumption

- Average
8.9 mA - Operating Range
5.0-21.0 mA - Digital Communication: UART
- Logic level: 3.3 V
- Baud rate: 38,400. 8 data, 1 stop bits. No parity. RX Data Input : Do not exceed 3.6 V
- Input High Voltage (VIH) = 2.0 V minimum
- Input Low Voltage (VIL) = 0.85 V maximum
- TX Data Output : Source / Sink 4 mA maximum
- Output High Voltage (VOH) = 2.45 V minimum
- Output Low Voltage (VOL) = 0.45 V maximum
- Programmable Analog out (optional)
Industry-standard 0.4 to 2.0 Volt linearized, compensated for temperature, humidity and pressure.
Alternate configurations available, with output range and “zero” configurable between 0.04 and 2.9 Volts and configu- rable sensitivity slope, including rising or falling Volts per %LEL. Contact NevadaNano for details.
SELF-DIAGNOSTICS
The MPS Mini Flammable Gas Sensor automatically performs a comprehensive sequence of self-checks every 2 seconds to ensure fail-safe operation. The MPS alerts the user of any sensor failure or status alert.
For additional information on how to interpret and handle detected faults, refer to the MPS Flammable Gas Sen-sor User Manual at www.nevadanano.com/downloads
FLAMMABLE GASES DETECTED
The volume percentage (%VOL) corresponding to 100 %LEL for a given gas varies across regions and standards due to differences in criteria, including the methods used for ignition and for the determination of an explosion. The MPS Mini Flammable Gas Sensor is factory calibrated to report %LEL concentrations in accordance to the ISO 10156 standard, and automatically achieves the accuracies indicated in the table below without any recalibration or adjustment. To instead report %LEL concentrations according to IEC60079-20-1 and companion specification EN61779, simply multiply the %LEL reported by the MPS Mini Flammable Gas Sensor by a factor of 1.136. The accuracy levels indicated in the rightmost column will then be achieved without any further recalibration or adjust-ment.
| Gas | Formula | Class5 | Detection Range [%LEL] | % Volume of gas at 100 %LEL (ISO 10156) | MPS Accuracy 0 to 50 %LEL (ISO 10156) | % Volume of gas at 100 %LEL (IEC60079-20-1) | MPS Accuracy 0 to 50 %LEL (IEC60079-20-1) |
| butane | C4H10 | 4 | 0-100 | 1.8 %VOL | ±5 %LEL | 1.4 %VOL | ±5 %LEL |
| ethane | C2H6 | 4 | 0-100 | 3.0 %VOL | ±5 %LEL | 2.4 %VOL | ±5 %LEL |
| hydrogen | H2 | 1 | 0-100 | 4.0 %VOL | ±5 %LEL | 4.0 %VOL | ±7 %LEL |
| isobutane | HC(CH3)3 | 4 | 0-100 | 1.8 %VOL | ±5 %LEL | 1.3 %VOL | ±9 %LEL |
| isobutylene | C4H8 | 4 | 0-100 | 1.8 %VOL | ±5 %LEL | 1.8 %VOL | ±5 %LEL |
| isopropanol | C3H8O | 4 | 0-100 | 2.0 %VOL | ±10 %LEL | 2.0 %VOL | +20 %LEL |
| methane | CH4 | 3 | 0-100 | 5.0 %VOL | ±3 %LEL | 4.4 %VOL | ±3 %LEL |
| MEK | C4H8O | 5 | 0-100 | 1.4 %VOL | ±5 %LEL | 1.5 %VOL | +16 %LEL |
| pentane | C5H12 | 5 | 0-100 | 1.5 %VOL | ±5 %LEL | 1.1 %VOL | ±6 %LEL |
| propane | C3H8 | 4 | 0-100 | 2.1 %VOL | ±6 %LEL | 1.7 %VOL | ±8 %LEL |
| propylene | C3H6 | 4 | 0-100 | 2.4 %VOL | ±5 %LEL | 2.0 %VOL | ±5 %LEL |
| acetone | C3H6O | 5 | 0-100 | 2.5 %VOL | +20 %LEL | 2.5 %VOL | +24 %LEL |
| ethylene | C2H4 | 4 | 0-100 | 2.7 %VOL | −12 %LEL | 2.3 %VOL | −14 %LEL |
| heptane | C7H16 | 5 | 0-100 | 1.1 %VOL | ±12 %LEL | 0.85 %VOL | ±15 %LEL |
| octane | C8H18 | 6 | 0-100 | 1.0 %VOL | ±12 %LEL | 0.8 %VOL | ±15 %LEL |
| styrene | C8H8 | 6 | 0-100 | 1.1 %VOL | −20 %LEL | 1.0 %VOL | −17 %LEL |
| toluene | C7H8 | 6 | 0-100 | 1.2 %VOL | ±12 %LEL | 1.0 %VOL | ±13 %LEL |
| xylene | C8H10 | 6 | 0-100 | 1.1 %VOL | ±12 %LEL | 1.0 %VOL | ±13 %LEL |
Notes:
- Accuracy guaranteed for methane across full environmental range.
- Other gases will typically meet published tolerances across the full environmental range, but guaranteed only near standard conditions: 20˚C, 50%RH.
- Accuracy (+) %LEL corresponds to a higher-than-delivered reading and Accuracy (−) %LEL corresponds to a lower-than-delivered reading.
- The MPS is also confirmed to detect other gases including hexane, ammonia, acetylene, ethanol, and methanol. Contact [email protected] for more information.
- Refer to Gas Classification section on page 2.
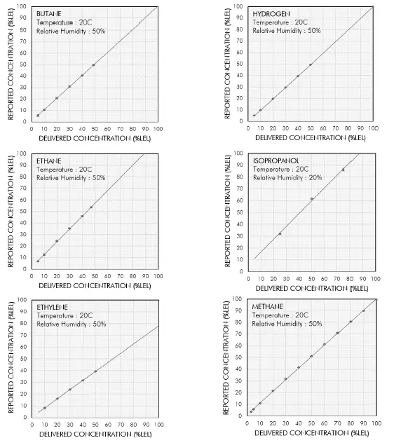
TYPICAL GAS PERFORMANCE CHARACTERISTICS
Accuracy to Representative Gases
Data points are averages of 10 sensors. Error bars indicate minimum and maximum readings. Note: all performance data provided was collected using standard, factory-calibrated MPS sensors. No recalibration for specific gases is necessary to achieve these results.
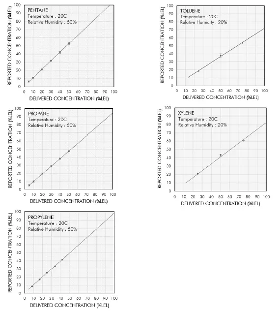
TYPICAL GAS PERFORMANCE CHARACTERISTICS
Accuracy to Representative Gases – Continued
Data points are averages of 10 sensors. Error bars indicate minimum and maximum readings. Note: all performance data provided was collected using standard, factory-calibrated MPS sensors. No recalibration for specific gases is necessary to achieve these results.
Long-Term Accuracy/Stability
Average concentration reported to repeated exposures of 50 %LEL methane vs. time. Between exposures, all sensors were operated without airflow in ambient air. During exposures, all sensors were placed in an environmental chamber set at standard conditions (20 ˚C, 50 %RH) where gas was delivered from a cylinder. Accuracy remains within ±3 %LEL over 3 years.
Repeatability
| Sensor # | Average [%LEL] | Standard Deviation [%LEL] |
| Sensor 1 | 50.8 | 0.15 |
| Sensor 2 | 50.5 | 0.18 |
| Sensor 3 | 50.9 | 0.13 |
| Sensor 4 | 50.7 | 0.22 |
| Sensor 5 | 50.7 | 0.14 |
| Sensor 6 | 50.7 | 0.13 |
| Sensor 7 | 50.7 | 0.14 |
| Sensor 8 | 50.6 | 0.18 |
| Sensor 9 | 50.7 | 0.10 |
| Sensor 10 | 50.6 | 0.17 |
Top: methane concentration reported to 10 exposures over 100 minutes by 10 MPS sensors. Bottom: table shows the averages and standard deviations of the concentrations reported during this test, by sensor. Standard deviation over 10 exposures is less than 0.25 %LEL.
FLAMMABLE GASES NOT DETECTED
The MPS Mini Flammable Gas Sensor, as currently configured, does not detect:
- Carbon Monoxide (CO): CO is a toxic gas, immediately dangerous to life and health (IDLH) at 1,200 ppm; the lower explo-sive limit is 109,000 ppm. The sensor is immune to poisoning by CO.
- Hydrogen Sulfide (H2S): H2S is a toxic gas, immediately dangerous to life and health (IDLH) at 100 ppm; the lower explosive limit is 40,000 ppm. The sensor is immune to poisoning by H2S.
There may be other gases the sensor does not detect that have not yet been assessed or tested. For additional information about a particular flammable gas, please contact NevadaNano at www.nevadanano.com.
RESPONSE TO NON-FLAMMABLE GASES
Because the MPS performs an analysis of the molecular properties of a given “air” sample, large-scale fluctuations in the relative con- centrations of the components in the air can affect accuracy. False readings can occur at non-flammable gas concentration variations (from normal air) greater than about 1 %VOL (~10,000 ppm), as discussed below; accuracy of the %LEL readings can be impacted at concentration variations (from normal air) greater than about 0.1 %VOL (~1,000 ppm).
- Oxygen (O2): Normal air has an O2 concentration of 20.95% by volume. Higher ambient O2 concentrations up to ~21.8 %VOL have little to no effect on the sensor. Concentrations exceeding this can be reported as a flammable gas at %LEL levels. The cross sensitivity is approximately 1.07 %LEL per 1 %vol O2 (e.g., oxygen at 30 %vol in air, a 9.1 %vol enrichment, would read approxi-mately 9.7 %LEL and be identified as Class 2 – Hydrogen Mixture). The sensor is immune to poisoning by O2.
- Note: if O2 concentrations decrease, the sensor response will depend on what gas is displacing the oxygen. Flammable gases displace oxygen. Methane at 100%LEL (5 %VOL methane) will reduce oxygen’s relative concentration by 1.05 %VOL in ambient air, meaning the O2 concentration decreases from 20.9 to 19.85 %VOL. Such flammable-gas-caused O2 depletions are already taken into account by the sensor calibration and therefore cause no unwanted effects on sen-sor output.
- NevadaNano has conducted testing to demonstrate the effect of extreme oxygen depletion. A gas stream containing 2.5 %VOL methane in balance zero air was diluted using a stream containing pure nitrogen to achieve 15, 10, and 5 %VOL O2 levels. Note that the concentration of methane decreases as pure nitrogen is introduced into the gas stream. Calculat-ed concentrations and the %LEL reported by the MPS are shown below.
| Nitrogen [%VOL] | Oxygen [%VOL] | Methane [%VOL] | Calculated [%LEL] | MPS error [%LEL] | |
| 50 %LEL Methane in Zero Air | 77.1 | 20.4 | 2.5 | 50.0 | +1.0 |
| Diluting with N2 to 15 %O2 | 83.2 | 15.0 | 1.8 | 36.0 | -6.0 |
| Diluting with N2 to 10 %O2 | 88.8 | 10.0 | 1.2 | 24.0 | -7.0 |
| Diluting with N2 to 5 %O2 | 94.4 | 5.0 | 0.6 | 12.0 | -12.0 |
- Carbon Dioxide (CO2): CO2 is present at concentrations near 400 ppm in normal air. This ambient level of CO2 is already taken into account by sensor calibrations. The sensor is unaffected by elevated CO2 concentrations up to approximately 5,000 ppm. Concentrations above this can be misinterpreted by the sensor as flammable gas. The cross sensitivity is approximately 1.74 %LEL per 1,000 ppm CO2 (e.g., CO2 at 10,000 ppm would read approximately 17.4 %LEL). The sensor is immune to poisoning by CO2.
- Note: Exhaled human breath contains CO2 at concentrations of approximately 4-5 %VOL (40,000-50,000 ppm). (During respiration, the CO2 replaces oxygen, reducing its concentration from 20.95% by volume in normal air to 13.6-16% in exhaled air.) As such, breathing directly onto the sensor can cause it to falsely report flammable gas for a brief period.
CERTIFICATION
| Certificates of Compliance | Specification Test Lab/Certification Body | Certificate/Report Number | |
| Certificate of Registration of Quality Management System | ISO 9001:2015 | National Standards Authority of Ireland (NSAI) | 19.8213 |
ADDITIONAL TEST STANDARDS
| Test | Specification | Summary of Test Conditions |
| High Temperature Operating | IEC 60068-2-2 | 1000 Hours @ 85oC |
| Low Temperature Operating | IEC 60068-2-1 | 1000 Hours @ −50oC |
| Sand/Dust | MIL-STD-810G Method 510.5 | Sand: 150-600 µm SiO2 particle size, 23 m/s nom. velocity, 5 hrs @ 70oC per axis, 3 axes Dust: Red China Clay, 1.5 m/s nom. velocity, 6 hrs @ 70oC per axis, 3 axes |
| Poisoning | NevadaNano | 1,200 ppm-hours H2S (50 ppm for 24 hours) 10,400 ppm-hours siloxanes (Decamethylcyclopentasiloxane) (100 ppm for 4 hours, then 1,000 ppm for 10 hours) 0.25 ppm-hours NO2 (3 ppm for 5 minutes) 0.83 ppm-hours HCN (10 ppm for 5 minutes) 0.75 ppm-hours SO2 (9 ppm for 5 minutes) 0.17 ppm-hours Cl2 (2 ppm for 5 minutes) 4.17 ppm-hours NH3 (50 ppm for 5 minutes) |
| EMC: Radiated Immunity | IEC/EN 61000-4-3 | 80 MHz – 2.7 GHz up to 10 V/m |
| EMC: Magnetic Immunity | IEC/EN 61000-4-8 | 30 A/m, 3 axes |
| EMC: Electrostatic Discharge | IEC/EN 61000-4-2 | Up to 4kV on ground plane; up to 8kV corona discharge |
The table above provides a summary of standardized tests and test conditions to which the MPS Flammable Gas Sensor in the S4 form factor has been subject-ed, and to which the MPS Mini Flammable Gas Sensor is also qualified by assessed similarity. The sensor has passed all of these tests by demonstrating perfor-mance within the MPS Flammable Gas Sensor specification both before and after each test.
PART NUMBER ORDERING GUIDE
Please refer to the following when ordering the MPS Mini Flammable Gas Sensor or MPS Mini Evaluation Kit.
| Manufacturer Part Number | Description |
| MPSF00-MN0505-00 | MPS Flammables Sensor, Mini, 5-Pin, UART + Analog Out |

| Manufacturer Part Number | Description |
| MPS999-MN0000-99 | MPS Mini Evaluation Kit (Mini sensor not included) |

Nevada Nanotech Systems Inc. 1395 Greg Street, Suite 102 Sparks, Nevada 89431 United States
Tel: +1 775 972 8943
Fax: +1 775 972 8078 [email protected]
www.nevadanano.com



























