
DOC022.98.00744
TenSette plus
04/2021, Edition 3
User Manual
Section 1 Legal information
Manufacturer: Thermo Fisher
Distributor: Hach Lange GmbH
The translation of the manual is approved by the manufacturer.
Section 2 Specifications
Specifications are subject to change without notice.
| Specification | Details |
| Enclosure | Pipette: Mechanically and chemically resistant materials (indoor use only) Tips: natural color polypropylene |
| Weight | 210 g (with battery installed) |
| Battery | Li-ion battery, 950 mAh |
| Charging temperature | 0 to 45 °C (32 to 140 °F) |
| Power adapter | Input voltage: 100-240 V, 50-60 Hz, 300 mA Output voltage: 5.0 V-0.5 A |
| Operating temperature | 15 to 35 °C (59 to 95 °F) |
| Storage temperature | 1 month: -20 to 45 °C (-4 to 113 °F) (60±25% relative humidity) > 1 month: -10 to 35 °C (14 to 95 °F) (60±25% relative humidity) |
| Relative humidity | 20 to 85%, non-condensing |
| Altitude | 2000 m (6562 ft) maximum |
| Certifications | CE |
| Warranty | 1 year (EU: 2 years) |
Section 3 General information
In no event will the manufacturer be liable for direct, indirect, special, incidental or consequential damages resulting from any defect or omission in this manual. The manufacturer reserves the right to make changes in this manual and the products it describes at any time, without notice or obligation.
Revised editions are found on the manufacturer’s website.
Safety information
The manufacturer is not responsible for any damages due to misapplication or misuse of this product including, without limitation, direct, incidental, and consequential damages, and disclaims such damages to the full extent permitted under applicable law. The user is solely responsible to identify critical application risks and install appropriate mechanisms to protect processes during a possible equipment malfunction.
Please read this entire manual before unpacking, setting up or operating this equipment. Pay attention to all danger and caution statements. Failure to do so could result in serious injury to the operator or damage to the equipment.
Make sure that the protection provided by this equipment is not impaired. Do not use or install this equipment in any manner other than that specified in this manual.
Use of hazard information
DANGER
Indicates a potentially or imminently hazardous situation which, if not avoided, will result in death or serious injury.
WARNING
Indicates a potentially or imminently hazardous situation which, if not avoided, could result in death or serious injury.
CAUTION
Indicates a potentially hazardous situation that may result in minor or moderate injury.
NOTICE
Indicates a situation that, if not avoided, may cause damage to the instrument. Information that requires special emphasis.
Precautionary labels
Read all labels and tags attached to the instrument. Personal injury or damage to the instrument could occur if not observed. A symbol on the instrument is referenced in the manual with a precautionary statement.
![]() | This symbol, if noted on the instrument, references the instruction manual for operation and/or safety information. |
![]() | Electrical equipment marked with this symbol may not be disposed of in European domestic or public disposal systems. Return old or end-of-life equipment to the manufacturer for disposal at no charge to the user. |
Chemical and Biological Safety
DANGER
![]() | Chemical or biological hazards. If this instrument is used to monitor a treatment process and/or chemical feed system for which there are regulatory limits and monitoring requirements related to public health, public safety, food or beverage manufacture or processing, it is the responsibility of the user of this instrument to know and abide by any applicable regulation and to have sufficient and appropriate mechanisms in place for compliance with applicable regulations in the event of malfunction of the instrument. |
Normal operation of this device may require the use of chemicals or samples that are biologically unsafe.
- Observe all cautionary information printed on the original solution containers and safety data sheets prior to their use.
- Dispose of all consumed solutions in accordance with the local and national regulations and laws.
- Select the type of protective equipment suitable to the concentration and quantity of the dangerous material being used.
Product overview
The Hach TenSette plus is an electronically assisted pipette for a wide range of liquid handling operations. Use the Hach TenSette plus with original Hach pipette tips (Item no. BBP068). Thanks to the electronic motor and electronic control, pipetting is easy and comfortable, yet still fast and accurate. It operates on the air displacement principle (i.e., an air interface) and uses detachable, disposable tips, which are easy to remove with a soft touch tip ejector.
The adjustable, index finger-operated pipetting trigger uses natural hand movement. The Hach TenSette plus provides many functions that are very practical for daily use in laboratory work, such as forward, reverse, and repetitive pipetting, stepper, and diluting modes.
The adjusted delivery volume is clearly indicated in the LCD display on top of the handle. The long-lasting lithium-ion battery is always charged with rapid charge technique.
All pipettes are factory calibrated. A Pipette Inspection Report, which covers calibration conditions and results, is delivered with the pipette.
Product components
Make sure that all components have been received. If any items are missing or damaged, contact the manufacturer or a sales representative immediately.
- Hach TenSette plus (supplied with rechargeable battery)
- Charger (includes an external power supply 100–240 V, 50/60 Hz, 300 mA, and power plug adapters for EU, UK, US, Australia)
- Shelf hanger
- Spare O-ring and tube of grease
- Sample Hach pipette tips
Section 4 Installation
CAUTION
![]() | Multiple hazards. Only qualified personnel must conduct the tasks described in this section of the document. |
Connect to power
WARNING
![]() | Explosion and fire hazards. Battery substitution is not permitted. Use only batteries that are supplied by the instrument manufacturer. |
WARNING
![]() | Fire and explosion hazards. Lithium batteries may get hot, explode or ignite and cause serious injury if exposed to abuse conditions. |
NOTICE
Use only the original Hach TenSette plus charger and battery.
The pipette battery must be charged before initial use. You can use the pipette while the charger is connected. The charging time is typically less than one hour. An indicator in the LCD display shows the charge level of the battery. When the indicator shows an empty battery, pipetting is not possible, and the pipette must be charged again.
- Connect the lead of the charger to the socket on the back of the pipette.
- Connect the charger to an AC wall socket.
Note: If the battery is completely empty, it may take a few minutes before the pipette will turn on.
Adjust the trigger position
The index finger-operated trigger, which activates the piston movement, can be adjusted by rotating it 60 degrees in both directions from the center position. Usually, right-handed operators turn it left (counter-clockwise) to get the best possible position for the thumb to eject the tip. Refer to Figure 1.
Figure 1 Adjust the trigger position

| 1 Trigger | 2 Trigger and finger rest adjustable |
Tip ejection
To help eliminate the risk of contamination, the pipette is fitted with a tip ejector system. The tip ejector system consists of a soft-touch tip ejector with a specially designed gearing mechanism.
Refer to Figure 2 on page 8.
To release the tip, point the pipette at a suitable waste receptacle and press the tip ejector with your thumb.
Shelf hanger
You can attach the pipette shelf hanger on a counter, pipette stand or anywhere where you want to hang your pipette.
- Clean the area where you plan to attach the shelf hanger.
- Apply the two stickers to the underside of the shelf hanger.
- Press the shelf hanger firmly into place—on a shelf, countertop or pipette stand.
- Hang the grippy finger rest on the shelf hanger.
Section 5 Configuration
Select the pipette functions and speed
- Use the left selection key to select Menu to choose the pipetting function. Refer to Figure 2.
- Use the right selection key to scroll the function list and select the function with OK.
- Select one option.
| Option | Description |
| Pippete RPipet Stepper Dilute Program Options | Forward technique. Refer to Pipette on page 8. Reverse and repetitive technique. Refer to RPipet on page 9. Multi-dispensing technique. Refer to Stepper on page 9. Dilution technique. Refer to Dilute on page 10. Select the program number from 1 to 9. Default volumes: 0.2, 0.4, 0.5, 1.0, 1.3, 2.0, 2.3, 2.5, 5.0 mL Calibrate Calibration mode. Select between: |
- Two points: two points calibration.
- One point: one-point calibration.
- Counter: Displays the number of pipetting since the last calibration.
Service: The piston can be disconnected and reconnected in Service mode. Refer to Maintenance on page 15.
Name: This function enables the user to set a name for the pipette. The name is always shown on the display when the pipette is in sleep mode. To change the default name:
- Choose Name from the menu and select Edit. The first digit starts to flash.
- Change the digit with the scroll key. Move to the next digit with OK. When the last digit is accepted the name is changed.
Power: With this function, the power can be turned off. Pressing any key turns on the power.
Buzzer: The buzzer can be turned on and off with this function.
Version: The software version is displayed.
Backlight: Turn on/off the backlight.
Figure 2 Pipette operation

| 1 Speed indicator 2 Battery indicator 3 Volume indicator | 4 Function 5 Speed-in/-out 6 Right Selection Key | 7 Scroll Key 8 Tip Ejector Lever 9 Left Selection Key |
Section 6 Operation
WARNING
![]() | Chemical exposure hazard. Obey laboratory safety procedures and wear all of the personal protective equipment appropriate to the chemicals that are handled. Refer to the current safety data sheets (MSDS/SDS) for safety protocols. |
CAUTION
![]() | Chemical exposure hazard. Dispose of chemicals and wastes in accordance with local, regional, and national regulations. |
Pipette
- Choose the Pipette function.
- Select the pipetting volume simply by pressing the scroll key up or down.
- Accept the volume with OK. Optionally, select Speed (1 slow to 9 fast), and the speed-in starts to blink.
- Select the speed-in with the scroll key and accept with OK.
- Select the speed-out with the scroll key and accept with OK.
- Fill a clean reagent reservoir with the liquid to be dispensed.
- Dip the tip under the surface of the liquid in the reservoir and press the trigger. The liquid is drawn into the tip.
- Wait until the liquid is not moving in the tip and withdraw the tip from the liquid touching it against the edge of the reservoir to remove excess liquid.
- To deliver the liquid, press the trigger. The blow-out is also included to empty the tip.
- Change the tip and continue pipetting.
RPipet
With the RPipet function both, reverse and repetitive techniques, are possible.
- Choose the RPipet function.
- Press the scroll key up or down to select the pipetting volume.
- Accept the volume with OK.
- Select Speed and the speed-in starts to blink.
a. Select the speed-in with the scroll key and accept with OK.
b. Select the speed-out with the scroll key and accept with OK.
Reverse technique
The reverse technique is suitable for dispensing liquids that have high viscosity or a tendency to foam easily. The technique is also recommended for dispensing very small volumes.
- Fill a clean reagent reservoir with the liquid to be dispensed.
- Dip the tip under the surface of the liquid and press the trigger. This action will fill the tip.
- Withdraw the tip from the liquid touching it against the edge of the reservoir to remove excess liquid.
- Deliver the preset volume by shortly pressing the trigger. Some liquid will remain in the tip and this should not be included in the delivery. Blowout is displayed.
- To empty the tip, press the trigger again.
- Change the tip and continue pipetting.
Repetitive technique
The repetitive technique offers a rapid and simple procedure for repeated delivery of the same volume.
- Fill a clean reagent reservoir with the liquid to be dispensed.
- Dip the tip under the surface of the liquid and press the trigger. This action will fill the tip.
- Withdraw the tip from the liquid touching it against the edge of the reservoir to remove excess liquid.
- Deliver the preset volume by pressing and holding the trigger down. Some liquid will remain in the tip and this should not be included in the delivery.
- Dip the tip again to the reagent reservoir and release the trigger. This action will fill the tip again.
- Continue pipetting by repeating steps 3 and 4.
- To empty the tip completely, dispense by shortly pressing the trigger. Some liquid will remain in the tip and this should not be included in the delivery. Blowout is displayed.
- To empty the tip completely, press the trigger again.
- Change the tip and continue pipetting.
Stepper
With the Stepper function repeated dispensing of selected volume is possible.
- Choose the Stepper function.
- Push the scroll key up or down to select the pipetting volume.
Note: The display shows always the maximum number of steps during volume selection. - Accept the volume with OK.
- Choose the number of steps with the scroll key and accept with OK.
Note: Optionally select the speed. - Select Speed and the speed-in starts to blink.
- Select the speed-in with the scroll key and accept with OK.
- Select the speed-out with the scroll key and accept with OK.
- Fill a clean reagent reservoir with the liquid to be dispensed.
- Dip the tip under the surface of the liquid and press the trigger. This action will fill the tip.
- Withdraw the tip from the liquid touching it against the edge of the reservoir to remove excess liquid.
- Deliver the present volume by pressing the trigger. The display shows the number of steps left.
- Continue dispensing by repeating step 9. After the last step, Blowout is displayed.
- To empty the tip completely, press the trigger.
- Change the tip and continue pipetting.
Note: The pipette can be emptied at any time by pressing Cancel (left selection key, refer to Figure 2 on page 8).
Dilute
With the Dilute function dispensing of two selected volumes is possible.
- Choose the Dilute function. The first volume (VOL 1) is shown on display.
- Push the scroll key up or down to select the first volume.
- Accept the volume with OK.
- Select the second volume (VOL 2) with the scroll key and accept with OK.
Note: Optionally select the speed. - Select Speed and the speed-in starts to blink.
- Select the speed-in with the scroll key and accept with OK.
- Select the speed-out with the scroll key and accept with OK.
- Fill a clean reagent reservoir with the liquid to be dispensed.
- Dip the tip under the surface of the first liquid in the reservoir and press the trigger. The first volume is drawn in to the tip. Air (air buffer) is displayed.
- Withdraw the tip from the liquid touching it against the edge of the reservoir to remove excess liquid. Press the trigger again to aspirate air buffer.
- Dip the tip under the surface of the second liquid and press the trigger. The second volume is drawn in to the tip.
- Withdraw the tip from the liquid.
- To deliver both volumes, press the trigger. The blow-out is also included to empty the tip.
- Change the tip and continue pipetting.
Program
Programs are stored settings that can be edited, stored, and retrieved. Under the Program function the following volumes are default: 0.2, 0.4, 0.5, 1.0, 1.3, 2.0, 2.3, 2.5 and 5.0 mL. When working with the mode Program, the scroll key selects the program and it is a very fast way to switch between different settings. Additional functions such as mixing, counter, etc. are also available in the mode
Program. To change the default volumes, choose Edit.
It is also possible to replace default volumes by additional functions. Refer to Additional functions in mode Program on page 10.
Additional functions in mode Program
Mix + Pipette
This function adds an automatic mixing step after normal pipetting.
- Select Program > Edit, then select with the scroll key Mix + Pipette and accept with OK.
- Select the desired volume with the scroll key and accept with OK.
- Select the pipetting speeds accordingly. After dispensing the volume, Mix is displayed. By pressing the trigger the pipette starts to pipette approximately 70% of the selected volume several times as long as the trigger is held pressed. After releasing the trigger the pipette stops after the next dispensing and Blowout is displayed.
A normal blow-out function is done by pressing the trigger and the pipette is again ready for the next pipetting.
Pipette + Count
This function adds an automatic count number to each pipetting step.
- Select Program > Edit, then select with the scroll key Pipette + Count and accept with OK.
- Select the desired volume with the scroll key and accept with OK.
- Select the pipetting speeds accordingly.
- Next, choose the maximum number of pipetting, the default value is 999.
Note: After the maximum number of pipetting is reached, the counter returns to zero. The counter can be reset at any time to zero by pressing the scroll key down > OK; scroll key up > OK.
Seq stepper
The sequential stepper mode enables serial dispensing of different volumes (in normal stepper mode only fixed volume).
- Select Program > Edit, then select with the scroll key Seq stepper and accept with OK.
- Select the number of dispensing (maximum 20) with the scroll key and accept with OK. VOL 1 is displayed and the highest possible volume is flashing.
- Select the first volume with the scroll key and accept with OK. Now VOL 2 is displayed and the highest possible volume is flashing.
- Select the second volume with the scroll key and accept with OK. After selecting the last volume, the total volume is shown on the display and speed-in is flashing. Select the pipetting speeds and the pipette is ready for pipetting.
- Fill a clean reagent reservoir with the liquid to be dispensed.
- Dip the tip under the surface of the liquid in the reservoir and press the trigger. This action will fill the tip and the first volume is displayed.
- Withdraw the tip from the liquid touching it against the edge of the reservoir to remove excess liquid.
- Deliver the first volume by pressing the trigger. The display shows the next volume.
- Continue dispensing by repeating step 3. After the last step, Blowout is displayed.
- To empty the tip completely, press the trigger.
- Change the tip and continue pipetting.
Note: The pipette can be emptied at any time by pressing Cancel (left selection key, refer to Figure 2 on page 8).
Mix + Dilute
- Select Program > Edit, then select with the scroll key Mix + Dilute and accept with OK
- Select the pipetting first volume by pressing the scroll key up or down.
- Accept the volume with OK.
- Select the second volume (VOL 2) with the scroll key and accept with OK.
- Select the pipetting speeds.
- Fill a clean reagent reservoir with the liquid to be dispensed.
- Dip the tip under the surface of the first liquid in the reservoir and press the trigger. The first volume is drawn into the tip. Air is displayed.
- Withdraw the tip from the liquid touching it against the edge of the reservoir to remove excess liquid. Press the trigger again to aspirate the air buffer.
- Dip the tip under the surface of the second liquid and press the trigger. The second volume is drawn into the tip.
- Withdraw the tip from the liquid.
- To deliver both volumes, press the trigger. The mix is displayed.
- By pressing the trigger the pipette starts to pipette approximately 70% of the total volume several
times as long as the trigger is held pressed. - After releasing the trigger, the pipette stops after the next dispensing, and Blowout is displayed.
- Withdraw the tip from the liquid and press the trigger and hold it down to empty the tip.
- Release the trigger to return to the ready position.
- Change the tip and continue pipetting.
Manual
With manual mode, it is possible to measure volumes. In manual mode, only slower speeds are available to ensure a quick stop.
- Select Program > Edit, then select with the scroll key Manual and accept with OK.
- Then select a limit for the total volume, the default is the maximum volume.
- Select the pipetting speeds. 0.00 is then displayed.
- Fill a clean reagent reservoir with the liquid to be dispensed.
- Dip the tip under the surface of the liquid in the reservoir and press the trigger. The liquid is drawn into the tip and the actual volume is shown on the display.
- The pipetting direction can be changed with the In/Out key (left selection key, refer to Figure 2 on page 8).
- To deliver the liquid, select the Out key (down direction) and press the trigger.
- To deliver the rest of the liquid, press the trigger and hold it down and hold it down to empty the tip completely.
- Change the tip and continue pipetting.
Note: The volume display can be reset to zero at any time by pressing Reset with the right selection key. Refer to Figure 2 on page 8.
Seq + Aspirate
The sequential aspirate mode enables serial aspirating of different volumes.
- Select Program > Edit, then select with the scroll key Seq + Aspirate and accept with OK.
- First choose the number of volumes (maximum 20) with the scroll key and accept with OK. VOL 1 is displayed and the highest possible volume is flashing.
- Select the first volume with the scroll key and accept with OK. Now VOL 2 is displayed and the highest possible remaining volume is flashing.
- Select the second volume with the scroll key and accept with OK. After selecting the last volume, the total volume is shown on display and speed-in is flashing for selecting the pipetting speeds.
After selecting the speeds, the first volume is shown on the display and the pipette is ready for pipetting. - Fill a clean reagent reservoir with the liquid to be dispensed.
- Dip the tip under the surface of the liquid and press the trigger. This action will take up the first volume and the next volume is displayed.
- Withdraw the tip from the liquid touching it against the edge of the reservoir to remove excess liquid.
- Dip the tip under the surface of the next liquid and press the trigger. This action will take up the current volume and the next volume appears on the display.
- Repeat steps 2 and 3 until the last volume is drawn into the tip. The total volume is shown on the display.
- Deliver the total volume by pressing the trigger and holding it down to empty the tip.
- Release the trigger to return to the ready position.
- Change the tip and continue pipetting.
Note: The pipette can be emptied at any time by pressing the Cancel left selection key. Refer to Figure 2 on page 8.
Section 7 Calibration
All Hach TenSette plus are factory calibrated and adjusted to give the volumes as specified with distilled or deionized water. Normally, the pipettes do not need adjustment, but they are constructed to permit recalibration and adjustment for liquids of different temperatures and viscosity.
Device requirements and test conditions
An analytical balance must be used. The scale graduation value of the balance should be chosen according to the selected test volume of the pipette. Refer to Table 1.
If the uncertainty of measurement of the balance is known, this may be used instead of the repeatability and linearity.
Test liquid: Water, distilled or deionized, “grade 3” water conforming ISO 3696. Tests are done in a draft-free room at a constant (±0.5 °C/ ±33 °F) temperature of the water, pipette, and air between 15 °C (59 °F) to 30 °C (86 °F). The relative humidity must be above 50%.
Table 1 Test conditions
| Volume range | Readable graduation | Precision repeatability(s) and linearity | Uncertainty of measurement |
| 10 to 100 pL | 0.01 mg | 0.02 mg | 0.02 yL |
| > 100 pL | 0.1 mg | 0.2 mg | 0.2 pL |
Calibration counter
- Select Menu > Options > Calibrate > Counter to show on the display the number of pipetting since the last calibration. The counter is reset to zero when the calibration is performed.
Checking the calibration
The pipette calibration is checked with the maximum volume (nominal volume) and with the minimum volume. A new tip is first pre-wetted 3 to 5 times and a series of ten pipettes are done with both volumes. A pipette is always adjusted for delivery (Ex) of the selected volume. Measuring volumes taken from balance is not allowed.
- Do 10 pipets with the minimum volume?
- Do 10 pipet with the maximum volume?
- Calculate the accuracy (A) and precision (cv) of both series.
- Compare the results to the limits in Table 2.
If the calculated results are within the selected limits, the adjustment of the pipette is correct.
Table 2 Maximum permissible errors according to ISO 8655
Adjustment
Two-point calibration
The two-point calibration is the standard calibration.
| Range | Volume (pL) | Accuracy | Precision | ||
| 0.2-5 mL | 5000 | ±40.0 pL | ±0.8 % | 15.0 s.d. pL | 0.3 cv% |
| 200 | ±40.0 pL | ±20.0 % | 15.0 s.d. pL | 7.5 cv% | |
- Do the pipetting series with both maximum and minimum volumes.
- Calculate the actual results.
- Select Menu and select Options with the scroll key and accept with OK.
- Select Calibrate and accept with OK.
- Select Two points and confirm with OK. The target maximum and target minimum volumes are shown on the display.
- Select Edit and change the actual maximum volume with the scroll key and accept with OK.
- Change the actual minimum volume with the scroll key and accept with OK.
- Save? is displayed. Accept with Yes.
The adjustment has been changed.
One-point calibration
The one-point calibration can be used if a single specific volume must be calibrated. The calibration volume can be selected from the entire volume range. Note that the inaccuracy of other volumes changes also and the performance for other volumes cannot be assured.
- Do the pipetting series with the calibration volume.
- Calculate the results.
- Select Menu and select Options with the scroll key and accept with OK.
- Select Calibrate and accept with OK.
- Select One point and confirm with OK. The calibration volume is shown on the display.
- Select Edit and change the calibration volume with the scroll key and accept with OK.
- Change the actual volume with the scroll key and accept with OK.
- Save? is displayed. Accept with Yes.
The adjustment has been changed.
Formulas for calculating results
Conversion of mass to volume
V = (w + e) × Z
where: V = volume (µL); w = weight (mg); e = evaporation loss (mg); Z = conversion factor for mg/µL conversion
Evaporation loss can be significant with low volumes. To determine mass loss, dispense water to the weighing vessel, note the reading and start a stopwatch. See how much the reading decreases during 30 seconds (e.g. 6 mg = 0.2 mg/s).
Compare this to the pipetting time from tearing to reading. Typically pipetting time might be 10 seconds and the mass loss is 2 mg (10 s x 0.2 mg/s) in this example. If an evaporation trap or lid on the vessel is used the correction of evaporation is usually unnecessary.
The factor Z is for converting the weight of the water to volume at test temperature and pressure. A typical value is 1.0032 μl/mg at 22 °C (71.5 °F) and 95 kPa.
Accuracy (systematic error)
Accuracy is the difference between the dispensed volume and the selected volume of a pipette.
A = V – V0
where: A = accuracy; V = mean volume; V0 = nominal volume
Accuracy can be expressed as a relative value:
A% = 100% × A / V0
Precision (random error)
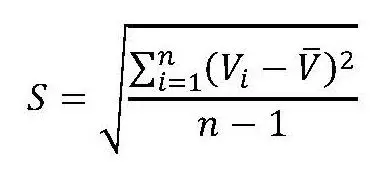
Precision refers to the repeatability of the pipetting. It is expressed as standard deviation (s) or the coefficient of variation (cv).

where:; S = standards deviation; = mean volume; n = number of measurements
Standard deviation can be expressed as a relative value (cv).
cv = 100% × S /V
Section 8 Maintenance
CAUTION
![]() | Multiple hazards. Only qualified personnel must conduct the tasks described in this section of the document. |
Cleaning
The pipette should b e checked at the beginning of each day for dust and dirt on the outside surfaces of the pipette. Particular attention should be paid to the tip cone. No other solvents except 70% ethanol should be used to clean the pipette.
Pipette lubrication
If the pipette is used daily, it should be checked and lubricated every three months. Do the setps that follow and refer to Figure 3 and Figure 4.
- From the menu, select Menu > Options > Service.
- Press the trigger before disassembling the pipette.
- Pull down the complete tip cone module.
Note that the tip ejector button is in fully up position. - Remove the complete tip cone module by pulling it out
- Seperate the tip ejector sleeves (top and bottom) by pulling it into two parts.
- Push the snap fittings to release the cylinder and remove the cylinder.
- Push forward and clean the piston with a dry napless cloth.
- Check the the complete tip cone module for foreign particles.
- Grease the cleaned parts with the lubricant that comes with the pipette.
- Reassemble the the tip cone module in reverse order.
Note: In order to make the reassembling of the tip cone module easier, position the connecting pieces of the upper and the lower part accordingly one above the other. Press now both parts together until you hear a “click” sound.
Figure 3 Pipette handle

| 1 Tip ejector button | 2 Trigger |
Figure 4 Cone module components

| 1 Tip ejector sleeve (top side) | 4 Cylinder | 7 Piston |
| 2 Spring | 5 Tip ejector sleeve (bottom side) | 8 Connecting cavity |
| 3 O-ring | 6 Snap fitting | 9 Small fitting |
Storage
When the Hach TenSette plus is not in use, make sure it is stored in an upright position. The use of the Hach pipette stand (Item no. BBP088) is recommended for this purpose.
Sterilization
WARNING
![]() | Burn hazard. Obey safe handling protocols during contact with hot components. Wear the appropriate protective equipment during maintenance or service activities. |
The tip cone module can be sterilized by autoclaving it at 121 °C (250 °F) for 20 minutes. You can use steam sterilization bags if needed. Disassemble and reassemble the tip cone module. Refer to Pipette lubrication on page 15.
After autoclaving, the module must be cooled to room temperature for at least two hours. Before pipetting, make sure that the module is dry. It is recommended to check the calibration after every sterilization cycle.
Section 9 Troubleshooting
| Problem | Possible cause | Solution |
| Leakage | Tip incorrectly attached | Attach firmly |
| Foreign particles between tip and tip cone | Clean tip cones. Attach new tips. | |
| Foreign particles between the piston, the 0-ring and the cylinder | Clean and grease the 0-ring and cylinder. | |
| Insufficient amount of grease on cylinder and 0-ring | Grease accordingly | |
| 0-ring damaged | Change the 0-ring. | |
| Inaccurate dispensing | Incorrect operation | Follow the instructions carefully. |
| Tip incorrectly attached | Attach firmly | |
| Calibration altered: caused by misuse, for example | Recalibrate according to the instructions. | |
| Inaccurate dispensing with certain liquids | Unsuitable calibration. High viscosity liquids may require recalibration | Recalibrate with the liquids in question. |
| Not dispensing | Pistons stuck or not connected | Remove the tip cone module. Move the piston by hand or with piston removal tool. Attach the module in service mode. |

![]()
HACH COMPANY World Headquarters
P.O. Box 389, Loveland, CO 80539-0389 U.S.A.
Tel. (970) 669-3050
(800) 227-4224 (U.S.A. only)
Fax (970) 669-2932
[email protected]
www.hach.com
© Hach Company/Hach Lange GmbH, 2007, 2018, 2021.
All rights reserved. Printed in Germany.
























