BOKE BK-BML040-B0950A Constant Current LED Driver
Product Information
| Manufacturer | BOKE Drivers Co., LTD. |
|---|---|
| Product Name | Constant current built-in driver BML-B Series |
| Features |
|
| Model Coding Rules | BK-BMLXXX-BXXXX |
| Functions |
|
| Suitable for lights |
|
| Typical Applications |
|
| Contact Information | Email: [email protected] Website: www.bokedriver.com |
Model coding rules of BML series
Technical data
| Product model | BK-BML040-B0950A | BK-BML040-B1000A | |
| Output parameters Regulation method | Constant Current Constant Current | ||
| Rated output current range | 0.5-0.95A | 1A | |
| Rated output voltage range | |||
| Rated output power | 28-42VDC | 28-40VDC | |
| Output current adjustment | 39.9W Max Fixed output | F 40W Max t ixed outpu | |
| Output current ripple LF | ±1% | ±1% | |
| Output current accuracy | ±5% | ±5% | |
| Linear regulation | ±5% | ±5% | |
| Load regulation No load output voltage | ±5% | ±5% | |
| 52VDC | |||
| Flicker-free(typical) Input parameters | Flickering percent(IEEE 1789)=0.414%, Flicker index(IEEE 1789)=0.001, Pst LM = 0.021, SVM = 0.006, (The above parameters are obtained from testing the panel lights) | ||
| Rated input voltage range | |||
| Input voltage range | 180-264VAC 180-264VDC | ||
| Input votage shock | <380V AC | ||
| Input current | <0.24A (Rated input voltage) | ||
| Input frequency | 0/50/60Hz | ||
| Input PF/Input DF | PF>0.95 (230V AC & Full load), DF>0.98 (230V AC & Full load) | ||
| 10% (230V AC & Full load) | |||
| Input THD Efficiency(typical) | 87.5% (230V AC & Full load) | ||
| In-rush current | 16A peak ,250us duration(50 % Ipeak), see the description below for details | ||
| Start/Switchover/Turn off | <0.5s(AC start),<0.5s(DC start),<0.3s(AC/DC switchover),<0.5s(Turn off ) | ||
| > 50,000 switching cycles | |||
| Switching cycles Power consumption | Full load(Pin):45.7W, No load(Pno): N/A, On stand-by(Psb) : N/A , Network stand-by(Pnet) : N/A | ||
| Safety | |||
| Withstand voltage | I/P-O/P:3750V AC | ||
| Mains surge capability | L-N:2KV(Performance criterion :B) | ||
| Leakage current | <0.7mA (230V AC & Full load) | ||
| Isolation resistance Control interface | I/P-O/P:100MΩ/500Vdc/25℃/70% RH | ||
| DALI dimming port | N/A | ||
| pushDIM dimming port | |||
| 1-10V 3in1 dimming port | N/A | ||
| Auxiliary power supply | |||
| Dimming range | N/A N/A | ||
| Dimming drive mode | N/A | ||
| Emergency support ystem Central emergency s | Supported(100% output in DC input mode) | ||
| Self-contained emergency | Supported | ||
| Environment & Life time | |||
| Operating temperature | Ta=-20-60℃ | ||
| Case temperature Operating humidity | Tc=90℃ | ||
| 5-85% RH, not condensed | |||
| Storage temp./humidity | -40-80℃, 5-85% RH, not condensed | ||
| IP grade MTBF | IP30 500,000H,MIL-HDBK-217F(25℃) | ||
| Life-time | Nominal life-time up to 100,000 h, see the description below for details | ||
| Vibration resistant Acoustic Noise | 10~500Hz,5G 12min./1cycle,period for 72min. each along X,Y,Z axes <25dB(30cm, Normal operation) | ||
| Environmental protection | |||
| Certifications and standards | RoHS | ||
| Certified | CE, ENEC, UKCA, RCM, EL EN61347-1, EN61347-2-13, EN62384 | ||
| Safety | |||
| EMC DALI-2 | EN55015, EN61000-3-2 , EN61000-3-3, EN61000-4-2,3,4,5,6,8,11, EN61547 N/A | ||
| EL | Compatible IEC 61347-2- 13 Annex J , compatible with EN 60598-2-22 and EN 50172 | ||
| RF | N/A | ||
Remarks
- By default, all parameter are measured at 230VAC input, full load and 25℃ of ambient temperature.
Product Usage Instructions
To use the Constant current built-in driver BML-B Series, please follow these instructions:
- Ensure that the light you are using is compatible with built-in drivers.
- Select the appropriate model based on your required output parameters.
- Connect the driver to the light’s output wire using circular compact appearance design.
- Make sure the driver is placed inside the light and adheres to SELV and Class II design standards.
- Check if the driver has the necessary certifications (CE, ENEC, UKCA, RCM, EL).
- The driver is suitable for indoor use with IP30 protection grade.
- The nominal lifetime of the driver is up to 100,000 hours, and it comes with a 5-year guarantee.
- If you require central emergency application, ensure that the driver supports 100% output in DC input.
- The driver also provides protective features such as short-circuit and no-load protection.
- For lights with external drivers, this driver is not suitable.
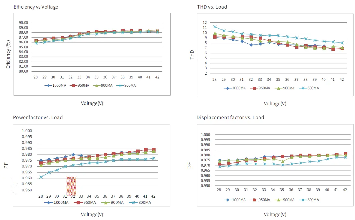
Electrical values
BK-BML040-B
Expected life-time
BK-BML040-B
Life-time vs. case temperature
- The life-time of the LED driver (calculated based on the 90% survival rate).
- The relation of tc to ta temperature depends also on the luminaire design.
Surge
| Model | Ipeak | Twidth | Condition | Relative number of MCB/pcs | ||||||||||||||
| B10 | B13 | B16 | B20 | B25 | C10 | C13 | C16 | C20 | C25 | D10 | D13 | D16 | D20 | D25 | ||||
| BK-BML040-B | 16A | 250us | AC 230V,Full load, Cold start,Ta≤30℃, MCB is not installed side by side | 15 | 20 | 24 | 30 | 38 | 25 | 33 | 41 | 51 | 63 | 34 | 44 | 55 | 68 | 85 |
Remarks
- The number of drives mounted under different MCBs in the table is the maximum value. Please do not exceed this number during installation.
- Calculation uses typical values from ABB series S200 as a reference.
- Different brands and models of miniature circuit breakers, the number of drives mounted will be slightly different.
- If the ambient temperature of the MCB installation exceeds 30°C or multiple MCBs are installed side by side, the number of drives mounted will be reduced and the calculation needs to be recalculated.
- Electrician’s usually consider Type B for household lighting and Type C for commercial lighting application.
Functions
Output short-circuit behaviour
- Output short-circuit will not damage the driver.
- After removing the short-circuit fault point, the drive will automatically restore output.
Output no-load operation
- Output no-load will not damage the driver.
- Please turn off the power supply of the driver first if you need to connect the LED load.
Label
BK-BML040-B
Installation Mechanical dimensions
Unit: mm
BK-BML040-B
Input wire
| Numbering | function | Wire name | colour | Wire type | Wire diameter | Wire length | Strip length |
| 1 | ACL/DC+ | Double insulated electronic wire | brown | UL1672 | AWG20 | 150mm | 10mm |
| 2 | ACN/DC- | Double insulated electronic wire | blue | UL1672 | AWG20 | 150mm | 10mm |
Output wire
| Numbering | function | Wire name | colour | Wire type | Wire diameter | Wire length | Strip length |
| 1 | LED+ | Double insulated electronic wire | red | UL1672 | AWG20 | 150mm | 10mm |
| 2 | LED- | Double insulated electronic wire | black | UL1672 | AWG20 | 150mm | 10mm |
Installation note
Hot plug-in
- Hot plug-in is not supported due to residual output voltage of > 0 V.
Wiring guidelines
- All connections must be kept as short as possible to ensure good EMI behaviour.
- Mains leads should be kept apart from LED Driver and other leads (ideally 5 ‒ 10 cm distance)
- Max. lenght of output wires is 2 m.
- Incorrect wiring can damage LED modules.
Mounting screw specifications and torque
- Max. torque at the clamping screw: 0.5 Nm / M4
Replace LED module
- Mains off
- Remove LED module
- Wait for 5 seconds
- Connect LED module again
Installation requirements
- The installation ambient temperature of the drive shall not exceed the value of Ta at any time.

Please do not stack the products. The distance between two products should be ≥15cm so as not to affect heat dissipation and the lifespan of the products.
Packaging
| Model | Product size | Weight | Blister size | Carton size | Qty/carton | N.W | G.W |
| BML040-B | ∅74.5*H30mm | 235g | L378*W278*H34mm | L380*W285*H200mm | 45pcs | 10.6kg | 11.7kg |
Additional information
- The life and MTBF of the product are for reference only, and do not represent a warranty statement. If the drive has been turned on, there is no warranty.
- For more information, please send an email to [email protected].
[email protected]
www.bokedriver.com
REV 1.0 2022-5-14






















