NICHIRYO Nichipet EXII Multi Digital Micro Pipette for Liquid Handling

Safety Precautions
- The notes stated here is for the safety of the user, and for the correct usage of the product.
- Contents marked with “Danger Level Symbols” are matters that require the user’s utmost attention, not only for using Nichipet EXⅡ MULTI properly, but also to prevent users from injuries or death, harm to others, and/or property damage.
- After reading this manual, please keep it in a noticeable and accessible place for ‘users of the device’ to refer to at any time.
- Any serious incidents that has occurred in relation to the equipment shall be reported to the manufacturer and to the competent authority of the Member State in which the user and/or the patient is established.
Danger Levels
| DANGER | Will lead to serious injuries or death. |
| WARNING | May lead to severe injuries or death. |
| CAUTION | May lead to light to moderate injuries, and/or cause property damage. |
| User information |
Caution on disposal of this product
When disposing the pipette body and tips (including adhering liquid), please comply with the laws and regulations of each country related to disposal, or local ordinance or regulation.
Product overview
Features
- Nichipet EXII MULTI is fully autoclavable at the condition of 121°C for 20 minutes.
- Nichipet EXII MULTI is made of UV resistant materials, thus it can be used in a clean bench environment.
- When Nichipet EXII MULTI is exposed to UV light for a considerable length of time, it may become discolored, but its performance will not be affected.
- The newly designed curvature and roundness in shape is ergonomic, and mitigates the user’s fatigue and stress levels from long periods of use.
- Easy to read digital indicator.
- The sample volume can easily be set by simply rotating the push button.
- Setting the sample volume can easily be locked on with the one-touch lock mechanism.
- A wide range of sampling volume can be covered by (four models; V,S,L and K), from 0.5μL to 300μL; with 2 variations of 8 or 12 channels.
- Patented body construction shields the hand temperature permeating through the body and inner workings of the device, which increases the accuracy of the volume measurements.
- Suitable for sampling to a microplate with 96 wells and 9 mm pitch.
- The handle and casing angle can be rotated and adjusted freely (360 degrees), the device can be used in a comfortable position and angle of your choice.
- The tips can be removed without direct contact, by simply pressing the tip ejector.
- The simple casing design and structure of the device, enables easy maintenance.
Standard accessories (Included)
| Accessories | QTY |
| Tip | 12 |
| Grease | 1 |
| User’s Manual | 1 |
When unboxing the package, check that all of the items above are included for the respective model.
Main illustration

Information on Safety
Intended Use
Nichipet EXII MULTI, used in conjunction with pipette tips recommended by Nichiryo, are designed and constructed for low-contamination transfer of liquids, especially for samples from the human body and for reagents within the scope of an in-vitro diagnostic application in order to allow the in-vitro diagnostic medical device to be used as intended. Therefore, Nichipet EXII MULTI is subjected to the accessories of in-vitro diagnostic medical devices under Regulation (EU) 2017/746. The accessories is treated as in vitro diagnostic medical devices in their own right under Regulation (EU) 2017/746. Nichipet EXII MULTI are intended for operation by qualified staff.
Warnings for intended use
DANGER
- When handling radioactive substances or infectious substances, always check and confirm the information first, and follow guidelines on their safety procedures.
- When using harmful liquids to the human body, be very careful in the handling of the substances.
- Never touch or come into direct contact with the used chips.
- Never touch filters directly that are contaminated by harmful or toxic substances.
- When liquids that are harmful to the human body adheres and/or contamination occurs, use appropriate measures to clean and decontaminate the device before continuing its use.
- This product is not intended for use on living organisms.
W AR NI NG
- Do not eject the tip with liquid inside of it.
- Do not eject the tip towards anybody.
- Do not expel or dispense any liquids towards anybody.
- Depending on the splashed liquid, there is danger of causing injuries to the human body.
- Please protect yourself in accordance with the general procedure of danger prevention, such as wearing protective clothing, protective glasses and gloves
- Do not eject the tip with liquid inside of it.
- Do not eject the tip towards anybody.
- Do not expel or dispense any liquids towards anybody.
- Depending on the splashed liquid, there is danger of causing injuries to the human body.
- Please protect yourself in accordance with the general procedure of danger prevention, such as wearing protective clothing, protective glasses and gloves.
CAUTION
- Do not use the pipette for any other purpose, use only for pipetting and liquid dispensing.
- Do not modify the pipette, modification can lead to accidents.
- Do not stab the tip into the human body, or eject the tip towards anyone.
- The tip is very sharp and extremely dangerous.
- The filter replacement tool tip is very sharp and can be dangerous.
- Please handle it with caution.
- Since the main body of the pipette becomes extremely hot right after autoclaving and drying.
- In this state, please do not touch it directly with your hands. It can lead to accidents and burn injury.
- Do not use the pipette for any purpose other than pipetting and liquid dispensing, such as stirring liquid with this product.
- It can lead to loosening of the tip, the tip dropping off, liquid adhesion and contamination to the main unit of the device and accidents and/or injury.
- During operation and maintenance, if any worn, missing or broken parts are detected, discontinue use immediately.
- Order and replace the part or parts, before use.
Material information
The use of highly reactive chemicals may damage the device. Please acknowledge the following materials that are used, and do not use liquids that will violate them. Material of external parts
- Polypropylene (PP)
- Polyetherimide (PEI)
- Modified Poly phenyl ether (m-PPE)
- Poly ether ether ketone (PEEK)
- Poly Vinylidene Di Fluoride (PVDF)
- Nitrile Butadiene Rubber (NBR)
- Fluororubber (FKM)
- Stainless steel
- Aluminum alloy
- Alumina
Operation/Operating procedure
Users of the device are required to strictly observe the following in order for the pipette to keep its excellent accuracy, precision and original performance.
- Do not expose pipette to direct sunlight when using it, or for 2 hours prior to use, otherwise the pipette may lose its accuracy.
- Avoid working with pipettes in a high temperature, low temperature, low humidity environment, or when the temperature difference between the environment including the main body of the device and the liquid is large, accuracy and precision may not be guaranteed.
- This Pipette can be used in a stable environment between +4°C and +40°C, but the specifications may vary.
- Just prior to use, avoid touching the tip or nozzle cylinder as much as possible. If they are warmed up, accuracy may not be obtained.
- Original Nichiryo tips are recommended. Nichipet EXII MULTI is calibrated with the original Nichiryo tip, if you use other tips, deviations in original factory settings may occur, and accuracy will not be guaranteed.
- Depending on the frequency of use, the pipette should be cleaned and the airtight chamber.
Volume setting
- Turn the lock lever to the unlocking direction to loosen it .
- Turn the push button to set the volume indicator to a desired liquid volume.
- When setting the liquid volume, set the indicator’s minimum graduation scale to the triangle point marker in the lower part of the volume indicator.
- Please refer to the volume indicator and the minimum graduation unit for each model to set the measurement volume accordingly.
- The volume indicator numbers are colored in black, or in red, to indicate the position of the decimal point.
- Black indicates the integer, red indicates the decimal.
- Scale units are in (μL).
- To increase the volume setting, turn the push button till it passes the designated volume setting by at least half a rotation of the push button dial, and then dial back to set the designated volume.
- To decrease the volume setting, simply turn it to the designated volume directly.
- After setting the liquid volume, turn the lock lever to the locking position to lock it.
- Do not exceed the specified liquid volume limit, otherwise the pipette may be damaged or deteriorate in its quality.

Volume indicator

Aspiration of liquid Forward technique
Attach a new tip to the nozzle end. It is recommended that tips are directly picked up from the rack. Do not twist the pipette when fixing tip on. Please be sure to mount the tip on the main nozzle securely. Failure to do so may cause the tip to drop off and liquid to splash.
CAUTION
Do not perform pipetting with less liquid than the set volume. If the quantity of liquid is less than the set volume, it may cause the liquid to spray into the main body, and the pipette may be damaged or deteriorate in its quality. Press down the push button fully to the first stop position b. Hold the pipette vertically and immerse the tip 2mm. to 3mm. below the surface of the liquid. To aspirate the set volume of liquid into the tip, release the push button slowly and let the push button go back to the initial position naturally. It takes 1 second to aspirate the liquid. During this operation, stop to wait for the suction process of the liquid to be totally completed, making sure that the liquid is drawn up into the tip with certainty. Draw the tip of the pipette carefully vertically upward and away from the liquid surface, then touch the tip to the side of the tube to remove excess droplet adhering to the outside of the tip.

Do not aspirate when the push button is at position 4. We recommend using the forward technique as the operation method of this device for pipetting. Nichipet EXII MULTI has been calibrated with the forward method, and precision may not be obtained when dispensing by any other means. Always change the tip when using different liquids to avoid cross-contamination.
CAUTION
Please operate the push button slowly and gently. Sudden release of the push button, can lead to the aspiration of the liquid into the nozzle cylinder; not only precise accuracy will not be obtained, but also the quality of the device will be impaired. When using the pipette, be sure to always attach and use a tip. Failure to do so, will lead to liquid entering the inside of the device’s nozzle cylinder and cause serious malfunctions. Never turn the device sideways or upside down with liquid in the tip. Liquid can enter inside the device’s nozzle cylinder, which can cause contamination and breakdown. Cross-contamination with the entered liquid remaining inside the main body and/or nozzle cylinder of the device can also occur, when switching liquids thereafter.
Dispensing the liquid
- Touch the end of the tip against the inside wall of the recipient tube at a slight angle.
- Press the push button down slowly and smoothly to the first stop position b.
Wait for a second, then press the push button down to the second stop position c to expel the last droplet of liquid from the tip 4 and 5. - Press the ejector button to detach the tip to dispose.
- We recommend the tip to be disposed of after each use.
- Repeated use may lead to and result in loss of accuracy, precision, and may lead to contamination/cross-contamination due to adhesion and deposits from prior use.
Recommendation for accurate pipetting (Technique)
In addition to the previously mentioned operations of pipetting, the following technique maximizes the performance of the pipette.
Pre-Rinsing the tip
Higher precision can be obtained by performing the pre-rinsing of the tip. When using a fresh pipette tip for the first time and before sampling, it is important to pre-rinse the tip at least two to three times with the target solution before pipetting. Repeat the aspiration and discharge to the position of the 1st stop consecutively for two to three times When strict precision is required, this method is recommended for all kinds of liquid handling. Pre-rinsing is a fast and easy way to increase the accuracy.
Handling of High Density Solutions / Viscous Solutions
After aspirating the liquid into the tip, wait for 2 to 3 seconds before removing the tip slowly from the surface of the liquid. When dispensing, wait 2 to 3 seconds at the first stop position before pushing into the second stop position.
Small volume dispensing
Especially for volumes less than 50μL, please operate the pipette slowly and smoothly. Also, please pay close attention to the effect of evaporation loss, due to temperature and humidity.

Maintenance
Cleaning
When Nichipet EXII MULTI’s exterior is soiled, please use 70% ethanol on a clean soft cloth to wipe it off.
Also, if any symptom that is described in the. Troubleshooting occurs, disassemble and inspect the device (each part), and then check and follow the procedures in the Use of highly reactive liquids, may damage the device.
After using a highly reactive liquid or/and if contamination occurs, perform the disassembly and cleaning of the device. In order to keep and use Nichipet EXII MULTI in its best condition, we recommend the user carries out; periodic checks and maintenance, and volume inspection/calibration of the device.
Disassembling
- Unscrew and remove the E-casing screws on both sides.
- Detach and remove E casing B.
- Unclamp and remove the Case Pin U’ on both sides using a flat-tip precision screwdriver.
- Pull out the nozzle case unit.
- Please be careful not to lose any small parts during disassembly.
Reassembling
When needed, apply a thin layer of greases on the indicated area of the plunger. Align and partially insert the plunger unit into the nozzle case unit. Gently adjust the plungers back and forth, left and right and around while easing them into the nozzle case unit, as to guide, settle and set the plungers into the nozzle case unit properly. Clamp the Case Pin U on both sides. Attach the E-casing B back on, and secure it with the E-casing screws on both sides After reassembling, perform several tests to inspect the pipette’s function/reliability.





Autoclaving
The whole pipette is autoclavable. Carry out the autoclaving process at 121°C for 20 minutes. When autoclaving, always leave the lock mechanism loosened, and always check and be sure to set the volume indicator to the Maximum Volume of the pipette’s volume range. This moves the plunger back/in Start the autoclaving process. After autoclaving is done, please promptly dry out the pipette with the following procedure. Due to high temperature and high pressure use in autoclave sterilization, it is very dangerous. Please operate equipment according to safety guidelines and standards. When autoclaving, do not stack items on top of each other, do not place the nozzle downward, or lean the device diagonally against anything, as this will apply load and stress to the heated structure. Always autoclave the pipette with the nozzle facing upward and standing.
Although the pipette is made of autoclave compatible material, due to the high temperature and pressure used in the sterilizer, there is a risk that heated parts subjected to load and stress to deform. Do not autoclave at temperatures above 121°C There is a risk of causing damage.
Drying the pipette
As the same as autoclaving the device, unlock and loosen the lock lever when drying. Dry it with a blower type constant temperature dryer, and confirm that it is completely dried out. Immediately after autoclaving and drying, the pipette and parts are extremely hot, so please do not touch them directly with your hands. When autoclaving, there is a possibility of damage, and performance may be affected, due to other items that are in the autoclave at the same time, and/or by substances that may be present in the water that is being used in the autoclave. Assembling the pipette in a heated or warm condition after drying, can lead to damage, such as stripping of the threads. Please let it cool down first. Also, if used in a heated or warm condition, accuracy will not be obtained. When putting the device in the dryer, please place it in such a way that no load is applied to the nozzle. The nozzle may be deformed and damaged, and/or precision and accuracy may not be obtained. Accuracy and precision may change with the autoclaving conditions, and also with many other various factors. We recommend testing the accuracy and precision after autoclaving, and at other times when needed.
Specifications Accuracy/Precision
| Pipette types (Code) | Volume range | Measured volume (μL) | Accuracy (systematic error) AC (%) | Precision (random error) CV(%) | |
| 8V | 1 | ±8.0 | ≦5.0 | ||
| (00-NPM-8V) | 1 – 10 | ||||
| 5 | ±4.0 | ≦2.0 | |||
| 12V | (μL) | ||||
| 10 | ±2.0 | ≦1.0 | |||
| (00-NPM-12V) | |||||
| 8S | 10 | ±3.0 | ≦2.0 | ||
| (00-NPM-8S) | 10 – 100 | ||||
| 50 | ±1.0 | ≦0.8 | |||
| 12S | (μL) | ||||
| 100 | ±0.8 | ≦0.3 | |||
| (00-NPM-12S) | |||||
| 8L | 20 | ±3.0 | ≦0.6 | ||
| (00-NPM-8L) | 20 – 200 | ||||
| 100 | ±1.0 | ≦0.4 | |||
| 12L | (μL) | ||||
| 200 | ±0.9 | ≦0.3 | |||
| (00-NPM-12L) | |||||
| 8K | 30 | ±3.0 | ≦1.0 | ||
| (00-NPM-8K) | 30 – 300 | ||||
| 150 | ±1.0 | ≦0.5 | |||
| 12K | (μL) | ||||
| 300 | ±0.6 | ≦0.3 | |||
| (00-NPM-12K) |
- Tips used: Nichiryo original tip (BMT2)
- Measurement temperature: Between 20°C to 25°C
- Relative humidity: above 50%
- Measurement medium: distilled water
- Barometric pressure, 101kPa
- Volume measurement is in accordance with ISO 8655-6
Calibration Adjustments
Please have adequate foreknowledge to responsibly perform all operations. We cannot guarantee, accuracy/precision, or trouble in pipetting operation, after the user has arbitrarily performed any adjustments after factory settings. We thank you in advance for your understanding. Perform the volume adjustment and volume inspection in the following method.
Volume adjustment method
To perform a good and reliable calibration for all the models of pipettes in this manual, conduct the adjustment at minimum volume setting first, and then conduct the maximum volume setting adjustment. Please perform the volume check of the maximum volume after the minimum volume accuracy falls within the standard.
Volume adjustment procedure
- While holding down the ejector button, turn the lock lever counterclockwise to make the adjustment section visible. The adjustment section aligns and turns together with the lock lever.
- Rotate the push button until the hex socket set screw is fully exposed. Adjusted to 75 ~ 85% of nominal volume will give access to the screw.
- Use the hex key (1.5mm) to loosen the hex socket set screw with approximately one turn. There is another hex socket set screw 180 degrees on the opposite side. Please gain access and loosen both screws
- Rotate the push button with the hex key inserted into the hex socket set screw.
- Calibration Guideline for the adjustment.
- When the adjustment is completed, tighten both of the hex socket set screws, return the lock lever to the lock position, and perform the volume inspection; refer to 6.2.
- Repeat the above procedures until the pipette is calibrated within the specified accuracy.
- An accuracy test should be made at the specified minimum and maximum volume of each pipette.

| 1 scale mark | 2 scale marks | 5 scale marks | 10 scale marks | |
| 8VP/12VP | 0.0079 | 0.0158 | 0.0395 | 0.079 |
| 8SP/12SP | 0.040 | 0.079 | 0.198 | 0.397 |
| 8LP/12LP | 0.127 | 0.253 | 0.633 | 1.26 |
| 8KP/12KP | 0.479 | 0.958 | 2.40 | 4.79 |
The numerical values (volume) above are for reference only. For actual measurement, please use a balance which is properly calibrated.
Volume Measurement/Inspection Procedure
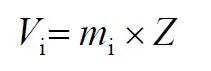
In order to avoid influence from temperature differences, ready the pipettes for inspection, the distilled water, the balance and tips 2 to 3 hours before use, in the environ where the measurement is to be conducted to attain temperature equilibrium. The measurement room should be in a controlled temperature between 20°C to 25°C, and the measurement should be held where there is no direct influence from wind blowing from an air-conditioner, heater or fan. Please use the Nichiryo Original BMT 2 Tip Series volume compatible ones, and be sure to install it on the pipette from the rack. Using distilled water as the sample, aspirate and dispense the volume to be calculated inside the weighing vessel on the balance. Please use a vessel with a lid for the weighing vessel inside the balance. Also, include a small amount of distilled water in the vessel, prior to adjusting the balance and measurement. Read the mass (mg) measured with the balance, and then convert it with the Z correction Factor for Distilled Water to obtain the dispensed measured volume (μL).

- V i : Volume
- m i: Measured mass
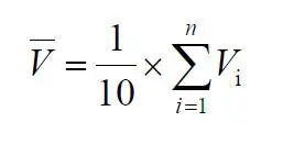
Add together the 10 volumes delivered and divide the sum by 10 to provide the mean volume.
V : Mean volume
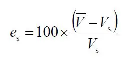
Calculate the systematic error es [%] with the equation below.
e, v: systematic error [%] : selected volume
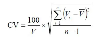
Calculate the random error CV [%] with the equation below. Where n is the number of measurements, in this case n=10.
CV : random error [%]
Z correction factor for distilled water
| Temperature (°C) | Air Pressure (kPa) | |||
| 95 | 100 | 101.3 | 105 | |
| 20.0 | 1.0028 | 1.0028 | 1.0029 | 1.0029 |
| 20.5 | 1.0029 | 1.0029 | 1.0030 | 1.0030 |
| 21.0 | 1.0030 | 1.0031 | 1.0031 | 1.0031 |
| 21.5 | 1.0031 | 1.0032 | 1.0032 | 1.0032 |
| 22.0 | 1.0032 | 1.0033 | 1.0033 | 1.0033 |
| 22.5 | 1.0033 | 1.0034 | 1.0034 | 1.0034 |
| 23.0 | 1.0034 | 1.0035 | 1.0035 | 1.0036 |
| 23.5 | 1.0036 | 1.0036 | 1.0036 | 1.0037 |
| 24.0 | 1.0037 | 1.0037 | 1.0038 | 1.0038 |
| 24.5 | 1.0038 | 1.0039 | 1.0039 | 1.0039 |
| 25.0 | 1.0039 | 1.0040 | 1.0040 | 1.0040 |
Troubleshooting
When the pipette cannot be fixed after examining and conducting the above mentioned procedure, immediately stop using the pipette and ask us or our agent to repair it. Before bring the pipette for repair, be sure to check whether it has been contaminated with microbes, and/or harmful or toxic substance.
Replacement parts list
Consumables
| Code 00-BMT2-UT | Volume range (μL) 0.1-10 | Color Clear | Applicable models 8V/12V | Q’ty 1000 |
| 00-BMT2-SG | 2-200 | Clear | 8S/12S/8L/12L | 1000 |
| 00-BMT2-K | 30-300 | Clear | 8K/12K | 1000 |
Tip Autoclavable
Racked tip Autoclavable
| Code 00-BMT2-UT | Volume range (μL) 0.1-10 | Color Clear | Applicable models 8V/12V | Q’ty
960 (96pcs x 10 cases) |
| 00-BMT2-SG | 2-200 | Clear | 8S/12S/8L/12L | 960 (96pcs x 10 cases) |
| 00-BMT2-K | 30-300 | Clear | 8K/12K | 960 (96pcs x 10 cases) |
Spare parts list
| Code Part name Contents Pipette types | ||||
| 1 | 00-NPM-000100V | E-casing B set for 8V | E-casing B for 8V x 1 | 8V |
| Screw for E-casing x 2 | ||||
| 2 | 00-NPM-000100S | E-casing B set for 8S | E-casing B for 8 x 1 | 8S |
| Screw for E-casing x 2 | ||||
| 3 | 00-NPM-000100L | E-casing B set for 8L | E-casing B for 8 x 1 | 8L |
| Screw for E-casing x 2 | ||||
| 4 | 00-NPM-000100K | E-casing B set for 8K | E-casing B for 8 x 1 | 8K |
| Screw for E-casing x 2 | ||||
| 5 | 00-NPM-000101V | E-casing B set for 12V | E-casing B for 12 x 1 | 12V |
| Screw for E-casing x 2 | ||||
| 6 | 00-NPM-000101S | E-casing B set for 12S | E-casing B for 12 x 1 | 12S |
| Screw for E-casing x 2 | ||||
| 7 | 00-NPM-000101L | E-casing B set for 12L | E-casing B for 12 x 1 | 12L |
| Screw for E-casing x 2 | ||||
| 8 | 00-NPM-000101K | E-casing B set for 12K | E-casing B for 12 x 1 | 12K |
| Screw for E-casing x 2 | ||||
| 9 | 00-NPM-0001200 | Case pin U set | Case pin U x 2 pcs | ALL |
| 10 | 00-NPM-3400000 | Grease | Grease x 1 | ALL |
Please note that the specifications of the accessories may be changed without notice. Always check our website for the latest specifications and information. Copying/Reprinting the manual in whole or in part without permission, is prohibited by law.

Recommendation for accurate pipetting (Technique)

















