BRAND Transferpette-8/-12 Multichannel Pipette

Introduction
The standard DIN EN ISO 8655 describes both the design and the testing of the piston operated pipette Transferpette®-8/-12. The following Testing Instructions describe how to apply the ISO standard in practice. The DKD guidelines DKD-R 8-1 are also followed.
We recommend a testing of the piston operated pipette every 3-12 months. This interval may be adjusted to individual requirements. For example, when working very frequently or when using aggressive media, the instrument should be tested more frequently.
These Instructions may be used as a basis for the supervision of testing devices DIN EN ISO 9001, DIN EN ISO 10012 and DIN EN ISO/IEC 17025.
Owing to its 8 respectively 12 channels, the Transferpette®-8/-12 can carry out 8 resp. 12 pipetting’s in one action. However, this advantage results in an increased effort required in testing. In order to test 8 resp. 12 channels, it is necessary to carry out according to ISO 8655 even 240 resp. 360 weighing’s, to obtain meaningful results. Therefore, it may take quite a long time to test the multichannel pipettes.
For this reason, the BRAND Calibration Service is particularly attractive, offering an optimized and conforming to standards testing and evaluation of the Transferpette®-8/-12 according to ISO 8655 (see chapter 7). We recommend to use this service to save you time and expense in testing the Transferpette®-8/-12.
Please contact your supplier for details.
Preparation for testing and visual examination
Instrument identification
- Read instrument type and nominal capacity.
⇒ Enter in Test Record (1). - Read Serial Number (embossed at the handle).
⇒ Enter number in Test Record (1). - Read customer’s identification, if present.
⇒ Enter number in Test Record (1).
Minimal configuration of the Transferpette®-8/-12
- Transferpette®-8/-12
⇒ Use only manufacturer’s original parts. - Pipette tips
⇒ Use only appropriate tips. For best results, use original pipette tips from BRAND.
Cleaning
Recommendation: adjust instrument bevor cleaning (found).
- Clean the pipette shafts.
⇒ No media residues!
⇒ Wipe off with soft cloth. - V-rings resp. O-rings damaged?
⇒ No media residues!
⇒ V-rings resp. O-rings can be replaced
(see Operating Manual) - Clean the exterior sufficiently.
⇒ Wipe with a moist cloth (water or diluted soapy solution). Slight soiling is permissible. - Has remaining liquid penetrated into the instrument?
⇒ Disassemble and clean the instrument
⇒ see Operating Manual
Visual examination
(damage, leaking)
- n Housing
- ⇒ General damages?
- V-rings resp. O-rings
- ⇒ Scratches on the surface? Deformations? Damages?
- Tip ejector
⇒ Scratches or soiling on the surface? - Piston
⇒ Scratches or soiling on the surface? - Seal
⇒ Enter result in Test Record (2).
Possible faults and resulting measures:
| Fault | Possible causes | Measures |
| Scratches on the pipette shaft tip resp. O‑rings; pipette tip no longer tight | n Mechanical damage n Wear | Þ Replace V‑rings resp. O‑rings see Operating Manual |
| Instrument is difficult to move and/ or leaks | n Seal/ piston soiled or damaged | Þ Obtain spare parts; see Operating Manual. |
Functional test
- Mount new pipette tip.
- Set the nominal volume.
- Take up testing liquid.
⇒ Aspiration of the liquid not possible or very slow. See notes in the table below. - Testing with the BRAND PLT leak testing unit.
Or hold the filled pipette vertically for approx. 10 seconds and observe if a drop forms at the pipette tip.
⇒ If „Error“ appears: Follow the instructions in the following table.
⇒ If a drop forms: See notes in the table below. - Release testing liquid. ⇒ Hold pipette tips against wall of vessel and wipe off against the wall.
⇒ The pipetting lever must move smoothly and jerk-free.
⇒ Enter findings in Test Record (3). - Eject the tip.
Possible faults and resulting measures: (for measures to rectify other faults please see Instruction Manuals)
| Fault | Possible causes | Measures |
| Aspiration not possible or very slow | n Pipette shaft or pipette shaft tip are blocked | Þ Clean the instrument; see Operating Manual. |
| „Error“ when testing with PLT unit or drop forming at the pipette tip |
|
|
Equipment required for testing
- Recipient vessel filled with deionized or distilled
⇒ Match temperature of water and room to 0,5 °C accuracy. water. (e.g., Erlenmeyer flask) (according ISO 3696, Prevent cooling of the water in the container due to at least quality 3). evaporation. - Weighing vessel filled with some water.
⇒ Bottom must be covered at least. In case of testing (e.g., Erlenmeyer flask). volumes < 100 μl, protect against evaporation (see 3.2) - Balance, recommended specifications:
| Selected volume of apparatus under test | Resolution mg | Repeatability and linearity mg | Standard uncertainty of measurement µl |
| 1 µl < V < 10 µl | 0,001 | 0,002 | 0,002 |
| 10 µl < V < 100 µl | 0,01 | 0,02 | 0,02 |
| 100 µl < V < 300 µl | 0,1 | 0,2 | 0,2 |
| a For practical purposes, the nominal volume may be used to choose the balance. | |||
- Thermometer with a measuring error of maximum
⇒ ± 0,2 °C - Hygrometer: Considering the measuring tolerance of the hygrometer a relative atmospheric humidity of at least 40% – 60 % should be reached.
- Place the Trans ferpette®-8/-12 including accessories
⇒ Allow instrument to adjust to room temperature. into the testing room for at least 2 hours (unpacked). - Room: no drafts, only slight temperature fluctuations over time and between locations.
For Transferpette®-8/-12 with nominal volume < 50 μl
- Recipient vessel filled with deionised or distiled ⇒ Match temperature of water and room to 0,5 °C accuracy. water. (e.g., Erlenmeyer flask) (according ISO 3696, Prevent cooling of the water in the container due to at least quality 3). evaporation.
- Disposable micro pipettes intraEND 100 μl;
⇒ Supplier: BRAND GMBH + CO KG Pipette holder. Postfach 11 55 97861 Wertheim
⇒ Ordering information: IntraEND 100 μl Cat. No. 7091 44 Pipette holder Cat. No. 7086 05 - Micro-weighing ⇒ Ordering information: Micro-weighing Cat. No. 708470
- Balance, recommended specifications
⇒ see table above - Thermometer with a measuring error of maximum
⇒ ± 0,2 °C - Hygrometer: Considering the measuring tolerance of the hygrometer a relative atmospheric humidity of at least 40% – 60 % should be reached.
- Place the Transferpette®-8/-12 including accessories
⇒ Allow instrument to adjust to room temperature. into the testing room for at least 2 hours (unpacked). - Room: no drafts, only slight temperature fluctuations over time and between locations.
Traceability of test results to national standards
Through the use of calibrated testing devices (balance and thermometer), the requirement of DIN EN ISO 9001, DIN EN ISO 10012 and DIN EN ISO/IEC 17025 to refer the test to the national standard is fulfilled. The calibration of the balance e.g. can be carried out either by Dark’s calibration or official certification of the balance, or by calibrating the balance with appropriate weights that are traced to the national standard. The calibration of the thermometer, hygrometer and barometer can also be carried out by Dark’s calibration or official certification, or by a comparison with thermometers that are traced to the national standard (under defined conditions).
Gravimetric test (Calibration)
For mechanical and electronic Transferpette®-8/-12 with nominal volume > 50 µl
- Set the nominal volume at 10 % or 20%.
- Determine temperature of the deionized water for testing.
⇒ Enter temperature into Test Record (4). - Place the weighing vessel (filled with some deionized water) on the balance and tare the balance.
- Mount a new pipette tip to one channel. Condition the instrument: Take up and release deionized water five times.
⇒ Conditioning increases accuracy of the test. - Take up deionized water from the recipient. ⇒ Press pipetting lever to first stop (not necessary with Transferpette® electronic).
⇒ Immerse pipette tip for 200 μl to 1000 μl instruments approx. 2 – 3 mm into the liquid, with 5 ml and 10 ml instruments 3 – 6 mm.
⇒ Release pipetting lever of mechanical Transferpette®-8/-12 steadily. In case of Transferpette®-8/-12 electronic press pipetting key to aspirate liquid.
⇒ Leave tip immersed in the deionized water for approx. 1 second. - Remove weighing vessel from the balance. ⇒ Omitted if special pipette calibration balance is used.
- Release testing liquid into weighing vessel. ⇒ Lean pipette tip against wall of vessel at an angle about 30° – 45°.
⇒ Press pipetting lever of mechanical pipette at steady speed to its first stop and keep it there. In case of electronic Transferpette®-8/-12 press and hold the pipetting key.
⇒ Press to second stop to empty pipette tip completely. (with Transferpette® electronic this function is performed automatically).
⇒ Wipe off pipette tip against wall of vessel (approx. 10 mm).
⇒ Release pipetting lever of mechanical Transferpette® steadily. Release pipetting lever of electronic Transferpette®. - Place weighing vessel on the balance. Read value. ⇒ Enter weighing value into Test Record (5).
- Re-tare the balance.
- Repeat steps 5 to 9 ten times for each separate channel (recommendation: at least tree times).
⇒ Enter weighing values into Test Record (5). This will result in a minimum of 24 weighing values (8-channel) resp. 36 values (12-channel). - Along the same lines, carry out the above procedure by pipetting 50 % and 100 % of the nominal volume. Always start at 4.
⇒ Only for variable type and electronic instruments!
⇒ Enter weighing values into Test Record (5), resulting in a minimum total of 72 weighing values (8-channel) resp. 108 weighing values (12-channel).
For mechanical and electronic Transferpette®-8/-12 with nominal volume < 50 µl
Note:
With pipettes of a nominal volume < 50 µl, the error limits are usually smaller than 0.5 µl. Due to this small error limit, the evaporation of water during the test procedure has a relatively large influence on the result. Therefore, the testing of pipettes of this size requires a test procedure which largely prevents evaporation. If a special pipette calibration balance with a so-called evaporation trap is used, the process described in 4.1 can be used. For this purpose, BRAND has specially developed the following test procedure. The weighing vessels used are a disposable micropipette or a micro-weighing container which virtually eliminate evaporation.
- Set the nominal volume at 10 % or 20%.
- Determine temperature of the deionized water for testing.
⇒ Enter temperature into Test Record (4). - Mount a disposable micropipette on the pipette holder. Place it resp. micro-weighing container upon the balance and tare.
- Mount a new pipette tip to one channel. Condition the instrument:
Take up and release deionized water five times.
⇒ Conditioning increases accuracy of the test. - Take up deionized water from the recipient. ⇒ Press pipetting lever to first stop. (not necessary with Transferpette®-8/-12 electronic).
⇒ Immerse pipette tip approx. 2 – 3 mm into the liquid.
⇒ Release pipetting lever of mechanical Transferpette®-8/-12 steadily. In case of Transferpette®-8/-12 electronic press pipetting key to aspirate liquid.
⇒ Leave tip immersed in the deionized water for approx. 1 second.
⇒ Wipe off pipette tip against wall of vessel. - Remove disposable micropipette resp. micro-weighing container from the balance.
⇒ The pipette holder facilitates handling! - Release deionized water into the disposable micropipette resp. micro-weighing container.
⇒ Push the disposable micropipette upon the pipette tip as far as it will go resp. insert pipette tip into the cone of microweighing container.
⇒ Press pipetting lever of mechanical pipette at steady speed to its first stop and keep it there. In case of electronic Transferpette® press and hold the pipetting key.
⇒ Press to second stop to empty pipette tip completely (with Transferpette® electronic this function is performed automatically). An air bubble will form inside the disposable micropipette.
⇒ Keep pipetting lever at second stop while pulling the disposable micropipette resp. micro-weighing container off the pipette tip.
⇒ Release pipetting lever of mechanical Transferpette®‑8/‑12 steadily. Release pipetting lever of Transferpette®‑8/‑12 electronic. - Place the disposable micropipette resp. micro-weighing container on the balance. Read value.
⇒ Enter weighing value into Test Record (5). - Re-tare the balance with a new disposable micropipette resp. micro-weighing container.
- Repeat steps 5 to 9 ten times for each separate channel. (recommendation: at least tree times).
⇒ Enter weighing values into Test Record (5). This will result in a minimum of 24 weighing values (8-channel) resp. 36 values (12- channel). - Along the same lines, pipette 50 % and 100 % of the nominal volume. Always start at 4.
⇒ Only for variable type and electronic instruments!
⇒ Enter weighing values into Test Record (5), resulting in a minimum total of 72 weighing values (8-channel) resp. 108 weighing values (12-channel).
Evaluation of gravimetric test results
The values obtained by weighing during the gravimetric test are only the mass values of the dispensed volume without correction of air buoyancy. In order to obtain the actual volume, an adjustment calculation to account for water density and air buoyancy must be carried out. To facilitate your calculations and evaluations, we recommend the use of the Windows-compatible calibration software EASYCAL™ from BRAND.
The following calculations must be carried out separately for each channel:
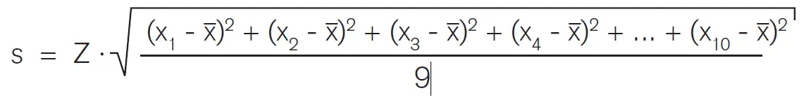
- Mean weighing values of a channel:
(Example for ten weighing values)
- Mean volume of a channel:
⇒ For factor Z, see Table 1.
⇒ Enter value into Test Record (5.) - Standard deviation volume of a channel:
⇒ For factor Z, see Table 1.
⇒ Enter value into Test Record - Accuracy of a channel:
⇒Enter value into Test Record (5.) - Coefficient of variation of a channel:
⇒Enter value into Test Record (5.)
Comparison actual/nominal values per channel::
- Use the error limits of Table 2 and 3, or define your individual error limits.
⇒Enter value into Test Record (5.)
Result:
If calculated values A [%] and CV [%] are smaller than or equal to the error limits, the instrument is in good working order.
If the calculated values are larger than the error limits:
- Verify if the above instructions have been carefully followed step by step.
- Observe the suggestions under “Troubleshooting” in the Operating Manual.
- Calibrate the Transferpette®-8/-12, Transferpette®-8/-12 electronic, Transferpette® S -8/-12 as described in the Operating Manual (recalibration is only possible with recent models).
If these measures are not successful, we offer you the possibility to have your instruments calibrated by the BRAND Calibration Service (see page 13).
Possible volumetric faults and resulting measures:
| Fault | Possible causes | Measures | |
| Volume too small | Pipette tips not mounted properly. Faulty seals or pistons V‑rings resp. O‑rings damaged Pipette shaft tips no longer tightly mounted |
| |
| Volume too large | Pipetting lever pressed too far. |
| |
| Other causes | Instrument calibrated wrongly Temperature adjustment between instrument, room and water temperature not completed |
| |
Table 1:
Excerpt from DIN EN ISO 8655, Part 6. Table refers to 1013 hPa
Validity range from 950 hPa to 1040 hPa.
Table 2:
Excerpt from DIN EN ISO 8655, Part 2.
| Nominal volume | µl | 1 | 2 | 5 | 10 | 20 | 50 | 100 | 200 | 500 |
| A £ ± | % | 10 | 8 | 5 | 2.4 | 2.0 | 2.0 | 1.6 | 1.6 | 1.6 |
| CV £ | % | 10 | 4 | 3 | 1.6 | 1.0 | 0.8 | 0.6 | 0.6 | 0.6 |
Values from Operating Manual Transferpette®-8/-12 (mechanical):
Values from Operating Manual Transferpette®-8/-12 electronic:
Values from Operating Manual Transferpette® S -8/-12 (mechanical):

For calibration, the error limits to be observed by the operator must be individually defined by the user. For this purpose, the following methods can be applied:
- If required by the application and if the optimized conditions for measuring are present, the stated error limits can also be expected in the case of used volumetric instruments in good working order.
- In analogy to the German regulations for official testing, it is also admissible to apply the limits which are typical for practice. These practice limits correspond to double the limits for official testing. In this case, the values found in Table 3 should be doubled.
- The user may also define his own individual error limits corresponding to his particular application, and apply these error limits for the calibration of his instrument.
The above procedures fulfil the requirements of DIN EN ISO 9001, DIN EN ISO 10012 and DIN EN ISO/IEC 17025
Test Record for Volumetric Instruments (EX)
- Instrument:
- Transferpette®-8/-12
- Transferpette®-8/-12 electronic
- Transferpette® S -8/-12
Type:- 8-channel
- 12-channel
- Other type
Nominal capacity:
Serial number:
Customers identification:
- Damage:
- None
- Type of damage:
- Damage repaired
- Functional defects:
- None
- Type of functional defect:
- Functional defect repaired
- Water temperature: °C
Balance:
Thermometer:
Air pressure:
Relative atmospheric humidity (at least 35%):.
Corrective factor Z: - Evaluation and results of gravimetric test
Testing volume: 10 %μl



Declaration on the Absence of Health Hazards
We intend to give our staff a maximum of protection from health hazards caused by contaminated instruments. We therefore ask for your understanding that we cannot carry out any calibration / repair unless this declaration is submitted completed and signed.
Re: Instrument Consignment dated / Re: Delivery Note No.
The Undersigned hereby declares:
- That the instruments have been carefully cleaned and decontaminated before shipment.
- That the instruments pose no danger through bacteriological, chemical, radiological or viral contamination.
- To be authorized to make declarations on behalf of the Institution represented.
- For calibrating service only: minor repairs of a value up to € 25,- + VAT will be carried out and invoiced without further queries (cross out if not applicable).
Company / Laboratory (Stamp)
- Name
- Position
- Date, Signature
Tel. / Fax / E-Mail
- In case of Return for Repair, please provide us with the following supplementary information:
- Detected defect
- Media which the instrument has been used with:
Calibration Service from BRAND
BRAND offers a full service including calibration and adjustment of Brand- and foreign instruments as well as maintenance and repair if necessary – only for BRAND- instruments. This saves money and adds the benefit of an independent review organisation for the calibration of the instruments.
Range of instruments covered
- Piston-operated pipettes (single- and multichannel)
- Bottletop dispensers
- Piston burettes (bottle-top burettes)
- Repetitive pipettes
Testing according to DIN EN ISO 8655
At BRAND, a team of qualified staff, working in temperature and humidity controlled rooms and using the state-of-the-art balances and calibration software, calibrates Liquid Handling instruments, regardless of their make, according to ISO 8655. Instruments with adjustable volumes such as HandyStep® electronic, Transferpette®, Transferpette® S, Transferpette® elec-tronic, Transferpette®-8/-12, Transferpette®-8/-12 electronic, Transferpette® S -8/-12, Transferpettor, Dispensette®, Bürette Digital or Titrette® are tested at nominal volume, and at 50 %, 10 % or 20 % of nominal volume.
To document the results, a detailed Test Report is compiled which fully complies with all relevant regulations.
The BRAND Calibration Service provides:
- Calibration of Liquid Handling instruments, regardless of their make
- Detailed calibration certificate
- Return of instrument within a few working days
- Cost-efficient handling
EASYCAL™ Software – advanced calibration technology
For liquid handling instruments and glass or plastic volumetric instruments
EASYCAL™ simplifies the tedious task of calibrating liquid handling instru-ments and glass or plastic volumetric instruments to DIN EN ISO 9001, DIN EN ISO 10012, DIN EN ISO/IEC 17025 and GLP standards. The procedures are outlined step-by-step, and all calculations are performed automatically. Reports are generated to document the calibration. All you need is an analytical balance, a PC Windows® 98/2000, NT (SP6), XP, Vista, 7, printer (optional) and EASYCAL™ software.
- Suitable for instruments from all manufacturers.
- Specifications of many instruments preloaded.
- Testing according to ISO 4787, ISO 8655, etc.
Data Entry
- Connect PC and balance (optional), then start the EASYCAL™ software.
- 40 common balances are preprogrammed for ease of installation.
Documentation – clearly arranged
The calibration certificate contains all important test data on one page, including a graphic representation of test results.
DAkkS-Calibration Service for Volumetric Instruments at BRAND
DAkkS – Deutsche Akkreditierungsstelle GmbH and DKD
The German Calibration Service (DKD) was founded in 1977 as a joint task of state and economy and constitutes the link between the measuring equipment in industrial and research laboratories, testing institutions and authorities and the national standards of the PTB (the German Institute of Physics and Metrology). It effectively supplements the existing verification system which serves above all the purposes of consumer protection. Based on the legal requirements the DKD Accreditation was successively transformed to the DAkkS Accreditation (Deutsche Accredit- tie rungs tele GmbH), starting from 2010. BRAND has been accredited by the DAkkS since Apr. 23, 2013, with the certificate number D-K-18572-01-00.
DAkkS-Calibration Certificate and Calibration Symbol
The DAkkS-Calibration Certificate documents officially on a high level the traceability of measuring results to national and inter-national standards and to international SI-units, as required by standards as DIN EN ISO 9001 and DIN EN ISO/IEC 17025 for monitoring of measuring devices.
DAkkS-Calibration Certificates are issued when calibrations of an accredited laboratory are requested, when high level calibrations are necessary, when national and international standards are demanded and when reference instruments have to be calibrated.
DAkkS – A member in the International Accreditation Network
DAkkS is a member of the International Laboratory Accreditation Cooperation (ILAC), the highest level international insti-tution for laboratory calibration, and is a signatory to the MRA – Mutual Recognition Agreements.
The accreditation bodies that are signatories to the ILAC mutual recognition agreements (MRAs) recognize their mutual equivalence, and the equivalence of the calibration certificates issued by those same signatories. Likewise, signatories are obliged generally to promote and recommend recognition of the calibration certificates of other signatories (excluding factory calibration certificates).
The DAkkS is a member of the EA (European Co-operation for Accreditation), which again is a member of the ILAC
(International Laboratory Accreditation Cooperation). A multilateral agreement assures obligatory recognition of the DAkkS calibration certificate in a variety of countries.
DAkkS-Calibration Laboratory at BRAND
In 1998 a calibration laboratory for volumetric instruments at BRAND has been accredited by the German Calibration Service according to DIN EN ISO/ IEC 17 025. Our calibration laboratory is therefore authorized to issue DAkkS-Calibration Certifi-cates (in several languages) for the volumetric instruments listed below. Furthermore we offer adjustment and – for BRAND Liquid Handling instruments – repair and maintenance.
For ordering information on DAkkS-Calibration Certificates for volumetric instruments please consult our General Catalog.
Volumetric instruments for which BRAND issues DAkkS Calibration Certifi cates
BRAND calibrates the following volumetric instruments (new or already in use and regardless of their make):
- Piston-operated pipettes, from 0.1 µl to 10 ml
- Multichannel piston-operated pipettes, from 0.1 µl to 300 µl
- Piston-operated burettes, from 5 µl to 200 ml
- Dispensers, Dilutors, from 5 µl to 200 ml
- Volumetric instruments of glass, calibrated to contain (TC, In) from 1 µl to 10000 ml
- Volumetric instruments of glass, calibrated to deliver (TD, Ex) from 100 µl to 100 ml
- Volumetric instruments of plastic, calibrated to contain (TC, In) from 1 ml to 2000 ml
- Volumetric instruments of plastic, calibrated to deliver (TD, Ex) from 1 ml to 100 ml
- Density bottles of glass, from 1 cm3 to 100 cm3


⇒ For factor Z, see Table 1.
⇒ For factor Z, see Table 1.
⇒Enter value into Test Record (5.)
⇒Enter value into Test Record (5.)

















