
Light & Ergonomic Pipette
NICHIRY0 Le
Digital micro pipette for liquid handling
User’s Manual

Digital Micro Pipette For Liquid Handling
Thank you very much for purchasing NICHIRYO Le.
Please read this manual carefully before using this device.
Safety Precautions
- Please read this manual carefully and have sufficient understanding of the contents and instructions, especially concerning matters of safety, prior to use.
- The notes stated here is for the safety of the user, and for the correct usage of the product.
- Contents marked with
“Danger Level Symbols” are matters that require the user’s utmost attention, not only for using Nichiryo Le properly, but also to prevent users from injuries or death, harm to others, and/or property damage. - After reading this manual, please keep it in a noticeable and accessible place for ‘users of the device’ to refer to at any time.
- Any serious incidents that has occurred in relation to the equipment shall be reported to the manufacturer and to the competent authority of the Member State in which the user and/or the patient is established.
Danger Levels
| Will lead to serious injuries or death. | |
| May lead to severe injuries or death. | |
| May lead to light to moderate injuries, and/or cause property damage. | |
| User information |
Caution on disposal of this product
When disposing the pipette body and tips (including adhering liquid), please comply with the laws and regulations of each country related to disposal, or local ordinance or regulation.
Product overview
1.1 Features
- The newly designed curvature and roundness in shape is ergonomic, and mitigates the user’s fatigue and stress levels from long periods of use.
- Easy to read digital indicator.
- The sample volume can easily be set by simply rotating the push button.
- A wide range of sampling volume can be covered by five models, from 1μL to 1,000μL.
- Patented body construction shields the hand temperature permeating through the body and inner workings of the device, which increases the accuracy of the volume measurements.
- The tip can be removed without direct contact, by simply pressing the tip ejector.
1.2 Standard accessories (Included)
| Accessories | QTY |
| Tip | 3 |
| Grease | 1 |
| User’s Manual | 1 |
When unboxing the package, check that all of the items above are included for the respective model.
1.3 Main illustration

Information on Safety
2.1 Intended Use
Nichiryo Le, used in conjunction with pipette tips recommended by Nichiryo, are designed and constructed for low-contamination transfer of liquids, especially for samples from the human body and for reagents within the scope of an in-vitro diagnostic application in order to allow the in-vitro diagnostic medical device to be used as intended.
Therefore, Nichiryo Le is subjected to the accessories of in-vitro diagnostic medical devices under Regulation (EU) 2017/746. The accessories is treated as in-vitro diagnostic
medical devices in their own right under Regulation (EU) 2017/746. Nichiryo Le are intended for operation by qualified staff.
2.2 Warnings for intended use
DANGER
When handling radioactive substances or infectious substances, always check and confirm the information first, and follow guidelines on their safety procedures.
When using harmful liquids to the human body, be very careful in the handling of the substances.
Never touch or come into direct contact with the used chips.
Never touch filters directly that are contaminated by harmful or toxic substances.
When liquids that are harmful to the human body adheres and/or contamination occurs, use appropriate measures to clean and decontaminate the device before continuing its use.
This product is not intended for use on living organisms.
WARNING
Do not eject the tip with liquid inside of it.
Do not eject the tip towards anybody.
Do not expel or dispense any liquids towards anybody.
Depending on the splashed liquid, there is danger of causing injuries to the human body.
Please protect yourself in accordance with the general procedure of danger prevention, such as wearing protective clothing, protective glasses and gloves.
CAUTION
Do not use the pipette for any other purpose, use only for pipetting and liquid dispensing.
Do not modify the pipette, modification can lead to accidents.
Do not stab the tip into the human body, or eject the tip towards anyone. The tip is very sharp and extremely dangerous.
The filter replacement tool tip is very sharp and can be dangerous. Please handle it with caution.
Since the main body of the pipette becomes extremely hot right after autoclaving and drying. In this state, please do not touch it directly with your hands. It can lead to accidents and burn injury.
Do not use the pipette for any purpose other than pipetting and liquid dispensing, such as stirring liquid with this product. It can lead to loosening of the tip, the tip dropping off, liquid adhesion and contamination to the main unit of the device and accidents and/or injury.
During operation and maintenance, if any worn, missing or broken parts are detected, discontinue use immediately. Order and replace the part or parts, before use.
2.3 Material information
CAUTION
The use of highly reactive chemicals may damage the device. Please acknowledge the following materials that are used, and do not use liquids that will violate them.
Material of external parts
- Polypropylene (PP)
- Polyetherimide (PEI)
- Polyphenylenesulfide (PPS)
- Polycarbonate(PC)
- Nitrile rubber (NBR)
- Stainless steel
Operation/Operating procedure
![]()
Users of the device are required to strictly observe the following in order for the pipette to keep its excellent accuracy, precision and original performance.
Do not expose pipette to direct sunlight when using it, or for 2 hours prior to use, otherwise the pipette may lose its accuracy. Avoid working with pipettes in a high temperature, low temperature, low humidity environment, or when the temperature difference between the environment including the main body of the device and the liquid is large, accuracy and precision may not be guaranteed.
This Pipette can be used in a stable environment between +4°C and +40°C, but the specifications may vary.
Just prior to use, avoid touching the tip or nozzle cylinder as much as possible.
If they are warmed up, accuracy may not be obtained.
Original Nichiryo tips are recommended. Nichiryo Le is calibrated with the original Nichiryo tip, if you use other tips, deviations in original factory settings may occur, and accuracy will not be guaranteed.
Depending on the frequency of use, the pipette should be cleaned and the airtight chamber should be maintained according to the manual.
3.1 Volume setting
- Turn the push button to set the volume indicator to a desired liquid volume.
When setting the liquid volume, set the indicator’s minimum graduation scale to the triangle point marker in the lower part of the volume indicator (Fig. A). Please refer to the volume indicator and minimum graduation unit for each model to set the measurement volume accordingly. The volume indicator numbers are colored in black, or in red, to indicate the position of the decimal point. For 10μL and 20μL models; scale units are in (μL), the integer is indicated in black, and the decimal is indicated in red. For 100μL and 200μL models; the scale units are in (μL), there is only integer, and is indicated in black. For 1000 μL(1mL) model, scale unit is in (mL), the integer is indicated in red, the decimal is indicated in black. - To increase the volume setting, turn the push button till it passes the designated volume setting by at least 1/3 of a rotation of the push button dial, and then dial back to set the designated volume.
- To decrease the volume setting, simply turn it to the designated volume directly.

CAUTION
Do not exceed the specified liquid volume limit, otherwise the pipette may be damaged or deteriorate in its quality.
Never rotate the push button dial more than 1/3 of a turn at maximum volume setting. Damage to the device can occur, but also accuracy/precision may be impired.
3.2 Aspiration of liquid (Forward technique)
- Attach a new tip to the nozzle end.
It is recommended that tips are directly picked up from the rack. Do not twist the pipette when fixing tip on.
Please be sure to mount the tip on the main nozzle securely. Failure to do so may cause the tip to drop off and liquid to splash.
CAUTION
Do not perform pipetting with less liquid than the set volume. If the quantity of liquid is less than the set volume, it may cause the liquid to spray into the main body, and the pipette may be damaged or deteriorate in its quality. - Press down the push button fully to the first stop position “b” (Fig. B) – ①.
- Hold the pipette vertically and immerse the tip 2mm. to 3mm. below the surface of the liquid (Fig. C) – ①.
- To aspirate the set volume of liquid into the tip, release the push button slowly and let the push button go back to the initial position naturally. It takes 1 second to aspirate the liquid. During this operation, stop to wait for the suction process of the liquid to be totally completed, making sure that the liquid is drawn up into the tip with certainty (Fig. C) -②.
- Draw the tip of the pipette carefully vertically upward and away from the liquid surface, then touch the tip to the side of the tube to remove excess droplet adhering to the outside of the tip. (Fig. C) – ③
Do not aspirate when the push button is at ‘position ④’ (Fig. B).
We recommend using the forward technique as the operation method of this device for pipetting. Nichiryo Le has been calibrated with the forward method, and precision may not be obtained when dispensing by any other means.
Always change the tip when using different liquids to avoid cross-contamination.
CAUTION
Please operate the push button slowly and gently.
Sudden release of the push button, can lead to the aspiration of the liquid into the nozzle cylinder; not only precise accuracy will not be obtained, but also the quality of the device will be impaired. Due to the larger base volume measurements of models, 1000μL, there is a higher chance of the above to occur. To eliminate this possible situation that leads to inaccuracy, precision failure or contamination.
When using the pipette, be sure to always attach and use a tip. Failure to do so, will lead to liquid entering the inside of the device’s nozzle cylinder and cause serious malfunctions
Never turn the device sideways or upside down with liquid in the tip. Liquid can enter inside the device’s nozzle cylinder, which can cause
※ contamination and breakdown.
※ Cross-contamination with the entered liquid remaining inside the main body of the device can also occur, when switching liquids thereafter.
3.3 Dispensing the liquid
- Touch the end of the tip against the inside wall of the recipient tube at a slight angle.
- Press the push button down slowly and smoothly to the first stop “position b” (Fig. B)-③. Wait for a second, then press the push button down to the second stop “position c” (Fig. B)-④ to expel the last droplet of liquid from the tip (Fig. C) –④ and ⑤.
- Keep the push button compressed. Remove the last droplet by slightly touching and running the end of the tip up against the inner wall of the tube, then move the tip of the pipette vertically straight up and out of the tube.
- Press the ejector button to detach the tip to dispose (Fig. C)-⑥.
We recommend the tip to be disposed of after each use.
Repeated use may lead to and result in; loss of accuracy, precision, and may lead to contamination/cross-contamination due to adhesion and deposits from prior use.

3.4 Recommendation for accurate pipetting (Technique)
In addition to the previously mentioned operations of pipetting, the following technique maximizes the performance of the pipette.
- Pre-Rinsing the tip
Higher precision can be obtained by performing the pre-rinsing of the tip. When using a fresh pipette tip for the first time and before sampling, it is important to pre-rinse the tip at least two to three times with the target solution before pipetting. Repeat the aspiration and discharge to the position of the 1st stop consecutively for two to three times.
When strict precision is required, this method is recommended for all kinds of liquid handling. Pre-rinsing is a fast and easy way to increase the accuracy. - Handling of High Density Solutions / Viscous Solutions
After aspirating the liquid into the tip, wait for 2 to 3 seconds before removing the tip slowly from the surface of the liquid. When dispensing, wait 2 to 3 seconds at the first stop position before pushing into the second stop position. - Small volume dispensing
Especially for volumes less than 50 μL, please operate the pipette slowly and smoothly. Also, please pay close attention to the effect of evaporation loss, due to temperature and humidity.
Maintenance
4.1 Cleaning
When Nichiryo Le’s exterior is soiled, please use 70% ethanol on a clean soft cloth to wipe it off. Also, if any symptom that is described in the “7. Troubleshooting” section occurs, disassemble and inspect the device (each part), and then check and follow the procedures in the ‘Troubleshooting Table’ to identify and isolate, correct and/or fix the situation or problem.
CAUTION
Use of highly reactive liquids, may damage the device.
After using a highly reactive liquid or/and if contamination occurs, perform the disassembly and cleaning of the device, accordingly to the following method in this manual.
In order to keep and use Nichiryo Le in its best condition, we recommend the user carries out; periodic checks and maintenance, and volume inspection/calibration of the device.
4.2 Disassembling
- Remove the ejector pipe.
While pressing the ejector button, shift the ejector pipe to the right (clockwise turn) and remove it from the ejector shaft (Refer to Fig. D). - Remove the bottom nut.
While holding the nozzle cylinder firmly, turn the bottom nut counterclockwise and detach it from the body. - Remove each part.
Remove and disassemble each part in the nozzle cylinder in the following order, first spring, plunger, first spring holder, second spring holder, O-ring. Once isassembled,
carry out inspection and cleaning of the airtight section. When needed, please replace parts.
Please be careful not to lose any small parts during disassembly.
CAUTION
When removing the nozzle cylinder, the internal parts may spring out and apart from the reaction of the loaded spring inside, be mindful of this point, and take precautions when unscrewing and taking apart the nozzle cylinder.
Depending on the Model, the specification of the O-ring retainer will be different.
4.3 Reassembling
✱ Assembly is done in the exact reverse order of disassembly. (Refer to Fig. E).
- Set the O-ring onto the O-ring retainer.
- With the plunger tip facing upward, attach and assemble each part in the following order, first spring, first spring holder, stroke pipe, second spring, O-ring retainer, O-ring.
Then, insert the assembly into the nozzle cylinder. - The whole assembled nozzle cylinder is then attached onto the main body. Turn the bottom nut clockwise slowly and carefully.
- Attach the ejector pipe. Press the ejector button to expose shaft, attach and rotate the ejector pipe counterclockwise.
After reassembling, perform several tests to inspect the pipette’s function/reliability.
When screwing the nozzle cylinder into/onto the main body, hold the parts vertically as a visual reference, and slowly turn to let the threads bite together correctly. If screwed in an offset way or with force, the O-ring will be unseated, stripping of the threads and/or damage to the casing can occur, all of which, will cause leakage.
4.4 Sterilization
The nozzle cylinder and the ejector pipe can be autoclaved at 121°C for 20 minutes.
Also, ethanol on a soft clean cloth can be used to wipe the outer body.
CAUTION
Only autoclave the nozzle cylinder and the ejector pipe.
Subjecting other parts to the autoclave will lead to deformation and damage.
Do not use UV sterilization.
UV rays will cause deterioration and malfunction to the device
Specifications (Accuracy/Precision)
Table – 1 Maximum Permissive Errors.
| Pipette types (Code) | Volume range (pL) | Measured Volume (pL) | Accuracy (systematic error) (%) | Precision (random error) (%) |
| 10pL (00-NLE-10) | 1-10 | 1 5 10 | ±6.0* ±2.0 ±1.2 | 55.0* 51.6 50.8 |
| 20pL (00-NLE-20) | 2-20 | 2 10 20 | ±5.0* ±2.0 ±1.0 | 53.0* 51.0 50.5 |
| 100pL (00-NLE-100) | 10-100 | 10 50 100 | ±2.0 ±1.2 ±0.8 | 51.0 50.6 50.3 |
| 200pL (00-NLE-200) | 20-200 | 20 100 200 | ±1.2 ±1.0 ±0.8 | 51.0 50.6 50.3 |
| 1000pL (00-NLE-1000) | 100-1000 | 100 500 1000 | ±1.2 ±1.0 ±0.7 | 50.8 50.6 50.3 |
★ Accuracy and precision of 1μL of “10μL model” and 2μL of “20μL model” are greatly affected by the user’s sampling skills, and/or by various factors and conditions.
- Tips used: Nichiryo original tip (BMT2)
- Measurement temperature: Between 20°C to 25°C
- Relative humidity: above 50%
- Measurement medium: distilled water
- Barometric pressure, 101kPa
Volume measurement is in accordance with ISO 8655-6.
Volume Measurement
- In order to avoid influence from temperature differences, ready the pipettes for inspection, the distilled water, the balance and tips 2 to 3 hours before use, in the
environ where the measurement is to be conducted to attain temperature equilibrium.
※ The measurement room should be in a controlled temperature between 20°C to 25°C, and the measurement should be held where there is no direct influence from wind blowing from an air-conditioner, heater or fan.Please use the Nichiryo Original BMT 2 Tip Series (volume compatible ones), and be sure to install it on the pipette from the rack. - Using distilled water as the sample, aspirate and dispense the volume to be calculated inside the weighing vessel on the balance. Please use a vessel with a lid for the
weighing vessel inside the balance. Also, include a small amount of distilled water in the vessel, prior to adjusting the balance and measurement. - Read the mass (mg) measured with the balance, and then convert it with the “Z correction Factor for Distilled Water[table2]” to obtain the dispensed measured volume (μL).

- Add together the 10 volumes delivered and divide the sum by 10 to provide the mean volume.
Calculate the systematic error es [%] with the equation below.
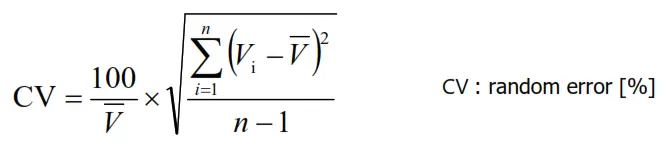
- Calculate the random error CV [%] with the equation below. Where n is the number of measurements, in this case n=10 .

Table-2 Z correction factor for distilled water
| Temperature (°C) | Air Pressure (kPa) | |||
| 95 | 100 | 101. | 105 | |
| 20.0 | 1. | 1. | 1. | 1. |
| 21. | 1. | 1. | 1.0030 | 1.0030 |
| 21.0 | 1.0030 | 1. | 1. | 1. |
| 22. | 1. | 1. | 1. | 1. |
| 22.0 | 1. | 1. | 1. | 1. |
| 23. | 1. | 1. | 1. | 1. |
| 23.0 | 1. | 1. | 1. | 1. |
| 24. | 1. | 1. | 1. | 1. |
| 24.0 | 1. | 1. | 1. | 1. |
| 25. | 1. | 1. | 1. | 1. |
| 25.0 | 1. | 1.0040 | 1.0040 | 1.0040 |
Troubleshooting
| Symptom | Possible cause | Remedy |
| Pipette fails to aspirate liquid. | Buildup of matter/substance on the inside of the cylinder wall. | Clean or replace the nozzle cylinder. |
| The nozzle cylinder is loose. | Securely, tighten up the nozzle cylinder. | |
| The 0-ring is worn. | Replace the 0-ring. | |
| Extracted liquid leaks from the tip. | The 0-ring is worn. | Replace the 0-ring. |
| Grease(lubricant) in the airtight section is depleted. | Grease the plunger and 0-ring. | |
| Noticeable wear to the nozzle cylinder. | Replace the nozzle cylinder. | |
| The plunger is damaged or rusty. | Replace the plunger. | |
| The tip is loosely attached. | Reattach the same loosened tip, or with a new one firmly. | |
| Push button moves stiffly. | Grease (lubricant) in the airtight section is depleted. | Grease the plunger and 0-ring. |
| The liquid has aspirated and leaked inside the nozzle cylinder. | Disassemble the lower parts and clean or replace the part(s) with new one(s). | |
| Plunger surface is dirty or foreign matter has adhered to it. | Disassemble the lower part and clean or replace the plunger. |
When the pipette cannot be fixed after examining and conducting the above mentioned procedure, immediately stop using the pipette and ask us or our agent to repair it.
Before bring the pipette for repair, be sure to check whether it has been contaminated with microbes, and/or harmful or toxic substance.
Replacement parts list
8.1 Consumables
- Tip (Autoclavable)
| Code Volume range (pL) Color Applicable models QtY | ||||
| 00-BMT2-SSW | 0.5-10 | Clear | 10pL | 1000 |
| 00-BMT2-SG | 2-200 | Clear | 20/100/200pL | 1000 |
| 00-BMT2-LG | 100-1000 | Clear | 1000pL | 1000 |
- Racked tip (Autoclavable)
| Code Volume range(pL) Color Applicable models QtY | ||||
| 00-BMT2-SSVVR | 0.5-10 | Clear | 10pL | 960 (96pcs x 10 cases) |
| 00-BMT2-SGR | 2-200 | Clear | 20/100/200pL | 960 (96pcs x 10 cases) |
| 00-BMT2-LGR | 100-1000 | Clear | 1000pL | 960 (96pcs x 10 cases) |
8.2 Spare parts list
| Description | 10pL | 20pL | 100pL | 200pL | 1000pL | |
| 1 | Nozzle cylinder | NPE-024A | NPE-024B | NPE-024C | NPE-024D | NPE-024E |
| 2 | Bottom nut | NPE-030 Same for all volume sizes. | ||||
| 3 | Ejector pipe | NPE-025A | NPE-025B | NPE-025B | NPE-025B | NPE-025C |
| 4 | Plunger | NPE-017A | NPE-017B | NPE-017C | NPE-017D | NPE-017E |
| 5 | First spring | NPE-017A | NPE-017B | NPE-017C | NPE-017C | NPE-017D |
| 6 | First spring holder | NPE-020A | NPE-020A | NPE-020A | NPE-020A | NPE-020B |
| 7 | Stroke pipe | NPE-018A | NPE-018A | NPE-018A | NPE-018A | NPE-018B |
| 8 | Second spring | NPE-023A | NPE-023A | NPE-023A | NPE-023A | NPE-023B |
| 9 | 0-ring retainer | NPE-021A | NPE-021B | NPE-021C | NPE-021D | NPE-021E |
| 10 | 0-ring | NPE-022A | NPE-022B | NPE-022C | NPE-022D | NPE-022E |
| 11 | Grease | N3-0711A -Same for all volume sizes. | ||||
As listed above, replacement parts are specifically designed for each volume size, please indicate the volume size of your device, when placing your order.
Please note that the specifications of the accessories may be changed without notice.
Always check our website for the latest specifications and information.
※Copying/Reprinting the manual in whole or in part without permission, is prohibited by law.
Memo
Inspection and Calibration Statement
The enclosed pipette was tested and calibrated under closely controlled environmental conditions to ensure that it meets published calibration specifications. The precision and accuracy results obtained for this pipette are provided on the enclosed calibration certificate. Because temperature and humidity conditions affect the calibration results of liquid measurement devices, your pipette should be calibrated under conditions of use. The calibration results obtained in your laboratory may vary from our results, due to differences in the environmental testing conditions.
Information on repair or servicing, when contacting your local distributor.
Authorized Representative:
Emergo Europe B.V.
Prinsessegracht 20
2514 AP, The Hague The Netherlands
Manufacturer:
NICHIRYO CO., LTD.
Head office & Factory
2760-1 Nishikata, Koshigaya-Shi, Saitama 343-0822, Japan
TEL: +81-48-989-1301 FAX: +81-3-6273-7944
Tokyo office (Sales Division)
PMO Kandaiwamoto-cho Ⅱ 4F, 2-2-4 Iwamoto-cho Chiyoda-ku,
Tokyo 101-0032 Japan
TEL: +81-3-5829-4539 FAX: +81-3-5829-4504
URL: http://www.nichiryo.co.jp/
E-mail: [email protected]
SB-NLE001ER 2022/4/15

















