
Thank you very much for purchasing Nichipet Premium LT. Please read this manual carefully before using this device.
Safety Precautions
- Please read this manual carefully and have sufficient understanding of the contents and instructions, especially concerning matters of safety, prior to use.
- The notes stated here is for the safety of the user, and for the correct usage of the product.
- Contents marked with “Danger Level Symbols” are matters that require the user’s utmost attention, not only for using Nichipet Premium LT properly, but also to prevent users from injuries or death, harm to others, and/or property damage.
- After reading this manual, please keep it in a noticeable and accessible place for ‘users of the device’ to refer to at any time.
- Any serious incidents that has occurred in relation to the equipment shall be reported to the manufacturer and to the competent authority of the Member State in which the user and/or the patient is established.
Danger Levels
| DANGER | Will lead to serious injuries or death. |
| WARNING | May lead to severe injuries or death. |
| CAUTION | May lead to light to moderate injuries, and/or cause property damage. |
| NOTE | User information |
Caution on disposal of this product
When disposing the pipette body and tips (including adhering liquid), please comply with the laws and regulations of each country related to disposal, or local ordinance or regulation.
Product Overview
Features
- Nichipet Premium LT is fully autoclavable at the condition of 121°C for 20 minutes.
- Nichipet Premium LT is made of UV resistant materials, thus it can be used in a clean bench environment.
- Enhance UV resistance has been applied, but the surface of the pipette body might be deteriorated by long time UV irradiation. It does not affect the accuracy and precision.
- The newly designed curvature and roundness in shape is ergonomic, and mitigates the user’s fatigue and stress levels from long periods of use.
- Easy to read digital indicator.
- The sample volume can easily be set by simply rotating the push button.
- Setting the sample volume can easily be locked on with the one-touch lock mechanism.
- A wide range of sampling volume can be covered by six models, from 0.1μL to 1,000μL.
- Patented body construction shields the hand temperature permeating through the body and inner workings of the device, which increases the accuracy of the volume measurements.
- Since highly durable PTFE (Fluoroplastic) is used in the product, long lasting accuracy and precision is maintained.
- A thin nozzle tip can be easily inserted, and can reach the bottom of universal test tubes (110mm in depth) for aspiration and dispensing of liquid.
- The tip can be removed without direct contact, by simply pressing the tip ejector.
- The Easy-Calibration function provides smooth and easy adjustment with the included adjustment tool.
Standard accessories (Included)
| Accessories | QTY |
| Tip | 3 |
| Grease | 1 |
| Adjustment tool | 1 |
| User’s Manual | 1 |
When unboxing the package, check that all of the items above are included for the respective model.
Main illustration
Information on Safety
Intended Use
Nichipet Premium LT, used in conjunction with pipette tips recommended by Nichiryo, are designed and constructed for low-contamination transfer of liquids, especially for samples from the human body and for reagents within the scope of an in-vitro diagnostic application in order to allow the in-vitro diagnostic medical device to be used as intended. Therefore, Nichipet Premium LT is subjected to the accessories of in-vitro diagnostic medical devices under Regulation (EU) 2017/746. The accessories is treated as in vitro diagnostic medical devices in their own right under Regulation (EU) 2017/746. Nichipet Premium LT are intended for operation by qualified staff.
Warnings for intended use
DANGER
- When handling radioactive substances or infectious substances, always check and confirm the information first, and follow guidelines on their safety procedures.
- When using harmful liquids to the human body, be very careful in the handling of the substances.
- Never touch or come into direct contact with the used chips.
- Never touch filters directly that are contaminated by harmful or toxic substances.
- When liquids that are harmful to the human body adheres and/or contamination occurs, use appropriate measures to clean and decontaminate the device before continuing its use.
- This product is not intended for use on living organisms.
WARNING
- Do not eject the tip with liquid inside of it.
- Do not eject the tip towards anybody.
- Do not expel or dispense any liquids towards anybody.
- Depending on the splashed liquid, there is danger of causing injuries to the human body.
- Please protect yourself in accordance with the general procedure of danger prevention, such as wearing protective clothing, protective glasses and gloves.
CAUTION
- Do not use the pipette for any other purpose, use only for pipetting and liquid dispensing.
- Do not modify the pipette, modification can lead to accidents.
- Do not stab the tip into the human body, or eject the tip towards anyone. The tip is very sharp and extremely dangerous.
- Since the main body of the pipette becomes extremely hot right after autoclaving and drying. In this state, please do not touch it directly with your hands. It can lead to accidents and burn injury.
- Do not use the pipette for any purpose other than pipetting and liquid dispensing, such as stirring liquid with this product. It can lead to loosening of the tip, the tip dropping off, liquid adhesion and contamination to the main unit of the device and accidents and/or injury.
- During operation and maintenance, if any worn, missing or broken parts are detected, discontinue use immediately. Order and replace the part or parts, before use.
Material information
CAUTION
The use of highly reactive chemicals may damage the device. Please acknowledge the following materials that are used, and do not use liquids that will violate them.
Material of external parts
- Polypropylene (PP)
- Polyetherimide (PEI)
- modified- Polyphenylene ether (m-PPE)
- Polyetheretherketone (PEEK)
- Fluororubber (FKM)
- Stainless steel
- Aluminum alloy
- Alumina
Operation/Operating procedure
- Users of the device are required to strictly observe the following in order for the pipette to keep its excellent accuracy, precision and original performance.
- Do not expose pipette to direct sunlight when using it, or for 2 hours prior to use, otherwise, the pipette may lose its accuracy. Avoid working with pipettes in a high-temperature, low-temperature, low-humidity environment, or when the temperature difference between the environment including the main body of the device and the liquid is large, accuracy and precision may not be guaranteed.
- This Pipette can be used in a stable environment between +4°C and +40°C, but the specifications may vary.
- Just prior to use, avoid touching the tip or nozzle cylinder as much as possible. If they are warmed up, accuracy may not be obtained.
- Original Nichiryo tips are recommended. Nichipet Premium LT is calibrated with the original Nichiryo tip(Premium Tip ), if you use other tips, deviations in original factory settings may occur, and accuracy will not be guaranteed.
- Depending on the frequency of use, the pipette should be cleaned and the airtight chamber should be maintained according to the manual.
Volume setting
- Turn the lock lever to the unlocking direction to loosen it (Fig. A).
- urn the push button to set the volume indicator to a desired liquid volume. When setting the liquid volume, set the indicator’s minimum graduation scale to the triangle point marker in the lower part of the volume indicator (Fig. B). Please refer to the volume indicator and the minimum graduation unit for each model to set the measurement volume accordingly. The volume indicator numbers are colored in black, or in red, to indicate the position of the decimal point. Black indicates the integer, red indicates the decimal. Scale units are in (μL).
- To increase the volume setting, turn the push button till it passes the designated volume setting by at least half a rotation of the push button dial, and then dial back to set the designated volume.
- To decrease the volume setting, simply turn it to the designated volume directly.
- After setting the liquid volume, turn the lock lever to the locking position to lock it (Fig. A).
CAUTION
Do not exceed the specified liquid volume limit, otherwise the pipette may be damaged or deteriorate in its quality.
Aspiration of liquid (Forward technique)
- Attach a new tip to the nozzle end.
- It is recommended that tips are directly picked up from the rack. Do not twist the pipette when fixing tip on.
- Please be sure to mount the tip on the main nozzle securely. Failure to do so may cause the tip to drop off and liquid to splash.
CAUTION - Do not perform pipetting with less liquid than the set volume. If the quantity of liquid is less than the set volume, it may cause the liquid to spray into the main body, and the pipette may be damaged or deteriorate in its quality
- Press down the push button fully to the first stop position “b” (Fig. C) – ①.
- Hold the pipette vertically and immerse the tip 2mm. to 3mm. below the surface of the liquid (Fig. D) – ①.
- To aspirate the set volume of liquid into the tip, release the push button slowly and let the push button go back to the initial position naturally. It takes 1 second to aspirate the liquid. During this operation, stop to wait for the suction process of the liquid to be totally completed, making sure that the liquid is drawn up into the tip with certainty (Fig. D) -②.
- Draw the tip of the pipette carefully vertically upward and away from the liquid surface, then touch the tip to the side of the tube to remove excess droplet adhering to the outside of the tip (Fig. D) – ③.

NOTE
- Do not aspirate when the push button is at ‘position ④’ (Fig. C).
- We recommend using the forward technique as the operation method of this device for pipetting. Nichipet Premium LT has been calibrated with the forward method, and precision may not be obtained when dispensing by any other means.
- Always change the tip when using different liquids to avoid cross-contamination.
CAUTION
- Please operate the push button slowly and gently. Sudden release of the push button, can lead to the aspiration of the liquid into the nozzle cylinder; not only precise accuracy will not be obtained, but also the quality of the device will be impaired. Due to the larger base volume measurements of models, 1000μL, there is a higher chance of the above to occur.
- When using the pipette, be sure to always attach and use a tip. Failure to do so, will lead to liquid entering the inside of the device’s nozzle cylinder and cause serious malfunctions
- Never turn the device sideways or upside down with liquid in the tip. Liquid can enter inside the device’s nozzle cylinder, which can cause ※contamination and breakdown.
Dispensing the liquid
- Touch the end of the tip against the inside wall of the recipient tube at a slight angle.
- Press the push button down slowly and smoothly to the first stop “position b”. Wait for a second, then press the push button down to the second stop “position c” to expel the last droplet of liquid from the tip (Fig. D) – 4 and 5.
- Keep the push button compressed. Remove the last droplet by slightly touching and running the end of the tip up against the inner wall of the tube, then move the tip of the pipette vertically straight up and out of the tube.
- Press the ejector button to detach the tip to dispose (Fig. D) – 6.
- We recommend the tip to be disposed of after each use. Repeated use may lead to and result in; loss of accuracy, precision, and may lead to contamination/cross-contamination due to adhesion and deposits from prior use.

Recommendation for accurate pipetting (Technique) In addition to the previously mentioned operations of pipetting, the following technique maximizes the performance of the pipette.
- Pre-Rinsing the tip
Higher precision can be obtained by performing the pre-rinsing of the tip. When using a fresh pipette tip for the first time and before sampling, it is important to pre-rinse the tip at least two to three times with the target solution before pipetting. Repeat the aspiration and discharge to the position of the 1st stop consecutively for two to three times (Fig. E) – b.
When strict precision is required, this method is recommended for all kinds of liquid handling. Pre-rinsing is a fast and easy way to increase the accuracy. - Handling of High-Density Solutions / Viscous Solutions After aspirating the liquid into the tip, wait for 2 to 3 seconds before removing the tip slowly from the surface of the liquid. When dispensing, wait 2 to 3 seconds at the first stop position before pushing into the second stop position (Fig. E) – c.
3) Small-volume dispensing
Especially for volumes less than 50μL, please operate the pipette slowly and smoothly. Also, please pay close attention to the effect of evaporation loss, due to temperature and humidity.
Maintenance
Cleaning
When Nichipet Premium LT’s exterior is soiled, please use 70% ethanol on a clean soft cloth to wipe it off. Also, if any symptom that is described in the “7. Troubleshooting” section occurs, disassemble and inspect the device (each part), and then check and follow the procedures in the ‘Troubleshooting Table’ to identify and isolate, correct and/or fix the situation or problem.
CAUTION
- Use of highly reactive liquids, may damage the device. After using a highly reactive liquid or/and if contamination occurs, perform the disassembly and cleaning of the device, accordingly to the following method in this manual.
- In order to keep and use Nichipet Premium LT in its best condition, we recommend the user carries out; periodic checks and maintenance, and volume inspection/calibration of the device.
Disassembling
- Turn counterclockwise to loosen and remove the ejector setting screw.
(6 Models) – 2μL to 1000μL (Fig. F) – (1-1) - Models ranging from 2μL to 1000μL (Fig. F) – (1-2)
The nozzle cylinder(outer threading) screws into the main body.
The circled Numbers in (Fig. F) corresponds to Parts Numbers in the replacement parts list.
CAUTION- When removing the nozzle cylinder, the internal parts may spring out and apart from the reaction of the loaded spring inside, be mindful of this point, and take precautions when unscrewing and taking apart the nozzle cylinder.
- Disassemble the internal parts as shown in; (Fig. H1) for Models: 2μL,10μL, (Fig. H2) for Models: 20μL, and (Fig.H3) 100μL and 200μL.
- For Models: 2μL and 10μL, remove the plunger, 1st spring, O-ring retainer in the correct and stated order. The O-ring and the seal ring cannot be detached. They are press-fitted and built into the structure as an integral part of the nozzle cylinder. Please take out only the 1st spring and the O-ring retainer.
- For Models: 20μL, remove the plunger, 1st spring, 1st spring holder, seal spring, O-ring retainer in the correct and stated order. The O-ring and the seal ring cannot be detached. They are press-fitted and built into the structure as an integral part of the nozzle cylinder. Please take out only the 1st spring,1st spring holder, seal spring and the O-ring retainer.
- For Models: 100μL, 200μL and 1000 μL, remove the plunger, 1st spring, 1st spring holder, seal spring, O-ring retainer and O-ring in the correct and stated order. Please be careful not to lose any small parts during disassembly.
NOTE
- Depending on the Model, the specification of the O-ring retainer will be different.
Reassembling
- If lubrication is required, apply grease to the plunger and O-ring.
- Please refer to: 4.4 Lubrication (Greasing the plunger and the nozzle cylinder.)
- Reassembling the nozzle cylinder
- For Models: 2μL, 10μL, put the plunger set into the first spring and set the combined parts into the O-ring retainer, then add the seal ring and O-ring in the stated order. Insert the whole assembly into the nozzle cylinder and screw it into the main body.
- For Models: 20μL, put the plunger set into the first spring and set the combined parts into the first spring holder, then add the seal spring in the stated order. Insert the whole assembly into the nozzle cylinder and screw it into the main body.
Circled Numbers in (Fig. F) corresponds to Parts Numbers in the replacement parts list. - There are very rare instances in which the O-ring and seal ring may come off during disassembly of the 2μL, 10μL and 20μL models, hence we have shown the respective parts detached and separated on (Fig. H1) and (Fig. H2). Assembling the seal ring and the O-ring in the reverse/opposite order will lead to; loss of accuracy and precision, not being able to aspirate the liquid and/or leakages. Please always check the presence of the O-ring and the seal ring during disassembly and assembly.
- For models: 100μL and 200μL (Fig. H2), 1000μL (Fig. H3) Put the plunger set into the first spring and set the combined parts into the first spring holder, then add the seal spring, O-ring retainer and the O-ring in the stated order. Insert the whole assembly into the nozzle cylinder and screw it into the main body.
- When screwing the nozzle cylinder into/onto the main body, hold the parts vertically as a visual reference, and slowly turn to let the threads bite together correctly. If screwed in an offset way or with force, the O-ring will be unseated, stripping of the threads and/or damage to the casing can occur, all of which, will cause leakage.
- Fitting the ejector pipe to the main body.
- Models: 2μL, 10μL (Fig. H1), 20μL(Fig.H2),100μL and 200μL (Fig. H3), 1000μL (Fig. H4)
Press the ejector button down with your thumb to help meet and align with the position to secure, insert the ejector pipe onto the body and secure it with the ejector setting screw. If resistance is felt when ejecting, jiggle the ejector pipe back and forth very slightly, to give it better alignment, response and action (Fig. J).
After reassembling, perform several tests to inspect the pipette’s function/reliability.
Lubrication/Greasing
- For the 2μL, 10μL and 20μL models, remove the old grease from the plunger. For the 100μL, 200μL and 1000μL models, remove the old grease from the plunger and O-ring.
- Please apply a thin layer of the supplied grease, from the tip of the plunger to about 40mm up (Fig. G – the part shown in gray)
CAUTION
- Always used the supplied grease. Using other than the supplied grease may lead to damage of the device, and will not be covered by the warranty.

- We recommend the lubrication/greasing of the device, at least once every six months.

Circled Numbers in (Fig. H1) corresponds to Parts Numbers in the replacement parts list.
Circled Numbers in (Fig. H2) corresponds to Parts Numbers in the replacement parts list.

Circled Numbers in (Fig. H3) corresponds to Parts Numbers in the replacement parts list.
Circled Numbers in (Fig. H4) corresponds to Parts Numbers in the replacement parts list.
Autoclaving
The whole pipette is autoclavable. Carry out the autoclaving process at 121°C for 20 minutes, following the procedure below.
- When autoclaving, always leave the lock mechanism loosened, and always check and be sure to set the volume indicator to the ‘Maximum Volume’ of the pipette’s volume range. (This moves the plunger back/in.)
- Start the autoclaving process. After autoclaving is done, please promptly dry out the pipette with the following procedure.
WARNING
- Due to high temperature and high pressure use in autoclave sterilization, it is very dangerous. Please operate equipment according to safety guidelines and standards.
CAUTION
- When autoclaving, do not stack items on top of each other, do not place the nozzle downward, or lean the device diagonally against anything, as this will apply load and stress to the heated structure. Always autoclave the pipette with the nozzle facing upward and standing. Although the pipette is made of autoclave compatible material, due to the high temperature and pressure used in the sterilizer, there is a risk that heated parts subjected to load and stress to deform.
- Do not autoclave at temperatures above 121°C (There is a risk of causing damage.)
Drying the pipette
- As the same as autoclaving the device, unlock and loosen the lock lever when drying.
- Remove the ejector pipe following the procedure in 4.2 Disassembling (Fig. F).
- Turn the nozzle cylinder counterclockwise by two and a half turns to just loosen it.
- Dry it with a blower type constant temperature dryer, and confirm that it is completely dried out.
- After drying, wait until the main unit has returned to room temperature, tighten the nozzle cylinder, and reattach the ejector pipe back into/onto the main body.
CAUTION
- Immediately after autoclaving and drying, the pipette and parts are extremely hot, so please do not touch them directly with your hands.
- When autoclaving, there is a possibility of damage, and performance may be affected, due to other items that are in the autoclave at the same time, and/or by substances that may be present in the water that is being used in the autoclave.
- Assembling the pipette in a heated or warm condition after drying, can lead to damage, such as stripping of the threads. Please let it cool down first. Also, if used in a heated or warm condition, accuracy will not be obtained.
Specifications (Accuracy/Precision)
Table-1 Maximum Permissive Errors.
| Models (Code) | Volume range | Volume (μL) | Accuracy (systematic error) AC (%) | Precision (random error) CV(%) |
| 2μL (00-NLT-2) | 0.1-2 (μL) | 0.2 | ±12.0★ | ≤6.0★ |
| 1 | ±5.0 | ≤2.5 | ||
| 2 | ±3.0 | ≤1.0 | ||
| 10μL (00-NLT-10) | 0.5-10 (μL) | 1 | ±4.0 | ≤3.0 |
| 5 | ±1.0 | ≤1.0 | ||
| 10 | ±1.0 | ≤0.5 | ||
| 20μL (00-NLT-20) | 2-20 (μL) | 2 | ±5.0 | ≤3.0 |
| 10 | ±1.0 | ≤1.0 | ||
| 20 | ±1.0 | ≤0.4 | ||
| 100μL (00-NLT-100) | 10-100 (μL) | 10 | ±2.0 | ≤1.0 |
| 50 | ±1.0 | ≤0.3 | ||
| 100 | ±0.8 | ≤0.3 | ||
| 200μL (00-NLT-200) | 20-200 (μL) | 20 | ±1.0 | ≤0.5 |
| 100 | ±0.8 | ≤0.3 | ||
| 200 | ±0.8 | ≤0.2 | ||
| 1000μL (00-NLT-1000) | 100-1000 (μL) | 100 | ±1.0 | ≤0.5 |
| 500 | ±0.8 | ≤0.3 | ||
| 1000 | ±0.7 | ≤0.2 |
Accuracy and precision of 0.2μL or less of “2μL model” are greatly affected by the user’s sampling skills, and/or by various factors and conditions.
- Tips used: Premium Tip (BMT2)
- Measurement temperature: Between 20°C to 25°C
- Relative humidity: above 50%
- Measurement medium: distilled water
- Barometric pressure, 101kPa
Volume measurement is in accordance with ISO 8655-6.
Calibration (Adjustments)
Please have adequate foreknowledge to responsibly perform all operations. We cannot guarantee, accuracy/precision, or trouble in pipetting operation, after the user has arbitrarily performed any adjustments after factory settings. We thank you in advance for your understanding. Perform the volume adjustment and volume inspection in the following method.
Volume adjustment method
To perform a good and reliable calibration for all the models of pipettes in this manual, conduct the adjustment at minimum volume setting first, and then conduct the maximum volume setting adjustment. Please perform the volume check of the maximum volume after the minimum volume accuracy falls within the standard accuracy on [Table 1].
Volume adjustment procedure
- Loosen and unlock the lock mechanism.
- Insert the adjustment tool’s prongs into the two grooves (Fig. L①).
- Hold the unit in one hand and make sure the adjustment tool is fixed in (Fig. L②).
- Rotate clockwise to increase the dispensing volume, and counterclockwise to decrease the dispensing volume.
- Please refer to [Table 2] for the required fine adjustment of the volume.

Circled Numbers in (Fig. L) correspond to Parts Numbers in the replacement parts list.
Table-2 Calibration guideline
| Models | 1 scale mark | 2 scale marks | 5 scale marks | 10 scale marks |
| 2μL | 0.0015 | 0.0029 | 0.0073 | 0.0145 |
| 10μL | 0.0077 | 0.0154 | 0.0385 | 0.0769 |
| 20μL | 0.012 | 0.025 | 0.062 | 0.125 |
| 100μL | 0.078 | 0.156 | 0.390 | 0.780 |
| 200μL | 0.13 | 0.25 | 0.63 | 1.26 |
| 1000μL | 0.79 | 1.58 | 3.96 | 7.91 |
The numerical values (volume) above are for reference only. For actual measurement, please use a balance which is properly calibrated.
Volume Measurement/Inspection Procedure
- In order to avoid influence from temperature differences, ready the pipettes for inspection, the distilled water, the balance and tips 2 to 3 hours before use, in the environment where the measurement is to be conducted to attain temperature equilibrium.
※ The measurement room should be in a controlled temperature between 20°C to 25°C, and the measurement should be held where there is no direct influence from wind blowing from an air-conditioner, heater or fan. Please use the Nichiryo Original Premium Tip Series (volume compatible ones), and be sure to install it on the pipette from the rack. - Using distilled water as the sample, aspirate and dispense the volume to be calculated inside the weighing vessel on the balance. Please use a vessel with a lid for the weighing vessel inside the balance. Also, include a small amount of distilled water in the vessel, prior to adjusting the balance and measurement.
- Read the mass (mg) measured with the balance, and then convert it with the “Z correction Factor for Distilled Water[table3]” to obtain the dispensed measured volume (μL).
Vi= mi X Z- Vi: Volume
- mi: Measured mass
- Z: Z correction factor
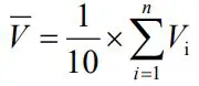
- Add together the 10 volumes delivered and divide the sum by 10 to provide the mean volume.

- V: Mean volume
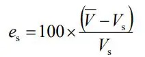
- Calculate the systematic error es [%] with the equation below.

- e s: systematic error [%]
- V s: selected volume
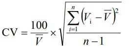
- Calculate the random error CV [%] with the equation below. Where n is the number of measurements, in this case n=10.

- CV : random error [%]
Table-3 Z correction factor for distilled water
| Temperature (°C) | Air Pressure (kPa) | |||
| 95 | 100 | 101.3 | 105 | |
| 20.0 | 1.0028 | 1.0028 | 1.0029 | 1.0029 |
| 20.5 | 1.0029 | 1.0029 | 1.0030 | 1.0030 |
| 21.0 | 1.0030 | 1.0031 | 1.0031 | 1.0031 |
| 21.5 | 1.0031 | 1.0032 | 1.0032 | 1.0032 |
| 22.0 | 1.0032 | 1.0033 | 1.0033 | 1.0033 |
| 22.5 | 1.0033 | 1.0034 | 1.0034 | 1.0034 |
| 23.0 | 1.0034 | 1.0035 | 1.0035 | 1.0036 |
| 23.5 | 1.0036 | 1.0036 | 1.0036 | 1.0037 |
| 24.0 | 1.0037 | 1.0037 | 1.0038 | 1.0038 |
| 24.5 | 1.0038 | 1.0039 | 1.0039 | 1.0039 |
| 25.0 | 1.0039 | 1.0040 | 1.0040 | 1.0040 |
Troubleshooting
| Symptom | Possible cause | Remedy |
| Tip cannot be ejected. | The nozzle cylinder is loose | Securely, tighten up the nozzle cylinder. |
|
Pipette fails to aspirate liquid. | Buildup of matter/substance on the inside of the cylinder wall. | Clean or replace the nozzle cylinder. |
| The nozzle cylinder is loose | Securely, tighten up the nozzle cylinder. | |
| Seal ring set are assembled in reverse order. (2, 10, 20μL models only) | Reset the seal ring and O-ring in correct order. Refer to; “Disassembling/Reassembling”. | |
| The seal ring and/or O-ring set is worn. (For 2, 10, 20μL models only). | Replace the O-ring set. For 2μL, 10μL, 20μL model, replace the nozzle cylinder set. | |
| Grease on plunger set and/or O-ring is gone. | Apply grease by following the instruction on this manual. | |
|
Extracted liquid leaks from the tip. | The seal ring and/or O-ring set is worn. (For 2, 10, 20μL models only). | Replace the O-ring set. For 2μL, 10μL, 20μL model, replace the nozzle cylinder set. |
| The nozzle cylinder is loose | Securely, tighten up the nozzle cylinder. | |
| Noticeable wear to the nozzle cylinder. | Replace the nozzle cylinder. | |
| The plunger is damaged or rusty. | Replace the plunger set. | |
| The tip is loosely attached. | Reattach the same loosened tip, or with a new one firmly. | |
| Grease on plunger set and/or O-ring is gone. | Apply grease by following the instruction on this manual. | |
|
Push button moves stiffly. |
The liquid has aspirated and leaked inside the nozzle cylinder. | If the push button does not work well after dispensing, or it is sticking to the body, disassemble the pipette and wash/clean every part (or wipe down every part with a soft cloth). If some parts get rusty or corroded inside the body, replace the part(s) with new one(s). |
| Grease on plunger set and/or O-ring is gone. | Apply grease by following the instruction on this manual. |
- When the pipette cannot be fixed after examining and conducting the above mentioned procedure, immediately stop using the pipette and ask us or our agent to repair it. Before bring the pipette for repair, be sure to check whether it has been contaminated with microbes, and/or harmful or toxic substances.
Replacement parts list
Consumables
- Premium Tip (Bulk tip, Autoclavable)
Code Volume range (μL) Color Applicable models Q’ty 00-BMT2-UT 0.1-10 Clear 2μL 1000 00-BMT2-SSW 0.5-10 Clear 10μL 1000 00-BMT2-SG 2-200 Clear 20/100/200μL 1000 00-BMT2-LG 100-1000 Clear 1000μL 1000 ● Premium Tip (Racked tip, Autoclavable) Code Volume range (μL) Color Applicable models Q’ty 00-BMT2-UTWR 0.1-10 Clear 2μL 960 (96pcs x 10 cases) 00-BMT2-SSWR 0.5-10 Clear 10μL 960 (96pcs x 10 cases) 00-BMT2-SGR 2-200 Clear 20/100/200μL 960 (96pcs x 10 cases) 00-BMT2-LGR 100-1000 Clear 1000μL 960 (96pcs x 10 cases)
Spare parts list
| Code | Description | Content | Type in volume | |
| ① | 00-NLT-0100002 | Plunger set 2μL | Plunger head/plunger | 2μL |
| ① | 00-NLT-0100010 | Plunger set 10μL | Plunger head/plunger | 10μL |
| ① | 00-NLT-0100020 | Plunger set 20μL | Plunger head/plunger | 20μL |
| ① | 00-NLT-0100100 | Plunger set 100μL | Plunger head/plunger | 100μL |
| ① | 00-NLT-0100200 | Plunger set 200μL | Plunger head/plunger | 200μL |
| ① | 00-NLT-0101000 | Plunger set 1000μL | Plunger head/plunger | 1000μL |
| ② | 00-NLT-0200002 | First spring 2μL | —— | 2μL |
| ② | 00-NLT-0200010 | First spring 10μL | —— | 10μL |
| ② | 00-NLT-0200020 | First spring 20μL | —— | 20μL |
| ② | 00-NLT-0200100 | First spring 100μL | —— | 100μL |
| ② | 00-NLT-0200200 | First spring 200μL | —— | 200μL |
| ② | 00-NLT-0201000 | First spring 1000μL | —— | 1000μL |
| Code Description Content Type in volume | ||||
| ③ | 00-NLT-2300020 | 1st springholder 20μL | —— | 20μL |
| ③ | 00-NLT-2300100 | 1st springholder100μL | —— | 100μL |
| ③ | 00-NLT-2300200 | 1st springholder 200μL | —— | 200μL |
| ③ | 00-NLT-2301000 | 1st springholder1000μL | —— | 1000μL |
| ④ | 00-NLT-2200020 | Seal spring 20μL | —— | 20μL |
| ④ | 00-NLT-2200100 | Seal spring 100μL | —— | 100μL |
| ④ | 00-NLT-2200200 | Seal spring 200μL | —— | 200μL |
| ④ | 00-NLT-2201000 | Seal spring 1000μL | —— | 1000μL |
| ⑤ | 00-NLT-0400002 | Nozzle cylinder set 2μL | O-ring/seal ring/O-ring retainer/nozzle cylinder | 2μL |
| ⑤ | 00-NLT-0400010 | Nozzle cylinder set 10μL | O-ring/seal ring/O-ring retainer/nozzle cylinder | 10μL |
| ⑤ | 00-NLT-0400020 | Nozzle cylinder set 20μL | O-ring/seal ring/O-ring retainer/nozzle cylinder | 20μL |
| ⑤ | 00-NLT-0400100 | Nozzle cylinder 100μL | —— | 100μL |
| ⑤ | 00-NLT-0400200 | Nozzle cylinder 200μL | —— | 200μL |
| ⑤ | 00-NLT-0401000 | Nozzle cylinder 1000μL | —— | 1000μL |
| ⑥ | 00-NLT-0500100 | O-ring set 100μL | O-ring/O-ring retainer | 100μL |
| ⑥ | 00-NLT-0500200 | O-ring set 200μL | O-ring/O-ring retainer | 200μL |
| ⑥ | 00-NLT-0501000 | O-ring set 1000μL | O-ring/O-ring retainer | 1000μL |
| ⑦ | 00-NLT-0900010 | Ejector pipe A | —— | 2/10μL |
| ⑦ | 00-NLT-0900200 | Ejector pipe B | —— | 20/100/200μL |
| ⑦ | 00-NLT- 09001000 | Ejector pipe C | —— | 1000μL |
| ⑧ | 00-NLT-0801000 | Ejector setting screw set | Setting screw/spring washer/washer | 2/10/20/100/ 200/1000μL |
| ⑨ | 00-NLT-1600000 | Volume adjustment tool | —— | All |
| ⑩ | 00-NLT-3400000 | Grease | —— | All |
Please note that the specifications of the accessories may be changed without notice. Always check our website for the latest specifications and information.
※Copying/Reprinting the manual in whole or in part without permission, is prohibited by law.
Inspection and Calibration Statement
The enclosed pipette was tested and calibrated under closely controlled environmental conditions to ensure that it meets published calibration specifications. The precision and accuracy results obtained for this pipette are provided on the enclosed calibration certificate. Because temperature and humidity conditions affect the calibration results of liquid measurement devices, your pipette should be calibrated under conditions of use. The calibration results obtained in your laboratory may vary from our results, due to differences in the environmental testing conditions.
Information on repair or servicing, when contacting your local distributor.
Authorized Representative:
Emergo Europe B.V.
Prinsessegracht 20
2514 AP, The Hague The Netherlands
Manufacturer:
Head office & Factory
2760-1 Nishikata, Koshigaya-Shi, Saitama 343-0822, Japan
TEL: +81-48-989-1301 FAX: +81-3-5829-4504
Tokyo office (Sales Division)
PMO Kandaiwamoto-cho Ⅱ 4F, 2-2-4 Iwamoto-cho, Chiyoda-ku,
Tokyo 101-0032, Japan
TEL: +81-3-5829-4539 FAX: +81-3-5829-4504
URL: http://www.nichiryo.co.jp/
E-mail: [email protected]




























