LENNOX EHO600 Electric Heat Instruction Manual

Shipping and Packing List
Package 1 of 1 contains:
1- Electric heat assembly
1- Electric heat control assembly (C1EHO kits only)
1- Door frame (non-hinged units only)
1- Door (non-hinged units only)
3- Harnesses
1- Bag assembly containing:
3- Harnesses
2- Wiring diagram stickers (qty. 1 in E1EHO kits)
25- Screws
1- Terminal block
1- Door knob (non-hinged units only)
2- Hinges (non-hinged units only)
1- Spring latch (non-hinged units only)
Inspect package upon receiving. If damage is found, contact last carrier immediately.
F4 Fuse Block
Fuse block assembly (F4) is furnished in all cooling and heat pump units. Assembly is required in single point power installations only.
TB2 Terminal Block
TB2 is furnished with electric heat. TB2 is required in units equipped with S48 (80A) disconnect switches. TB2 is also required when a unit does NOT contain a CB10 circuit breaker or S48 (150A) disconnect switch. Make sure the CB10 has lugs on top to distribute power.
Electric Heat Control Module
The electric heat control module kit is provided in this kit.
The kit is required on units not equipped with a Unit Controller control.
Application
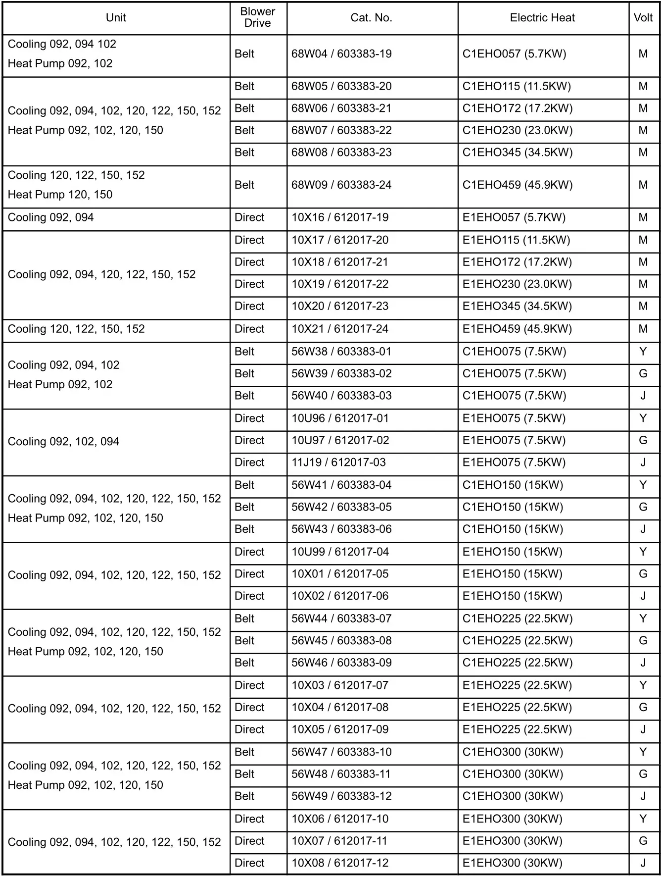
Electric heat sections are used as primary heaters for packaged cooling units and as a secondary heat source for packaged heat pump units. See table 1 for match-ups.
Requirements
The EHO series heaters are CSA and ETL design certified.
Installation of electric heaters must conform with standards of the National Fire Protection Association (NFPA) “Standard for Installation of Air Conditioning and Ventilation Systems NFPA No. 90A;” “Standard for the Installation of Residence Type Warm Air Heating and Air Conditioning Systems NFPA No. 90B;” in Canada, CSA C22.1 Canadian Electrical Code — Part I and all applicable CSA requirements; manufacturer’s installation instructions and local municipal building codes. Heaters are approved for clearances to combustible materials as listed on heater rating plate.
Accessibility and service clearances must take precedence over fire protection clearances. All wiring must conform with local building codes and the current National Electric Code (NEC) ANSI-C1 and in Canada, CSA C22.1 Canadian Electrical Code —Part I and the applicable CSA requirements.
Install Electric Heat Assembly
- Disconnect all power to unit.
- Remove unit heat access panel. Remove screws and discard rectangular vestibule cover(s).
- Insert electric element heat assembly into rectangular vestibule opening and secure assembly using screws provided. See figure 1.
- Single disconnect installationsInstall separately ordered TB2, CB10, or S48 (150A) using screws provided. See figure 2 for location.
- KC/KH Unit Only – Replace the unit TB2 with the TB2 provided in this kit. Install separately ordered CB10 or S48 (150A) using screws provided. See figure 2 for location.
Note – Kit is not required on units equipped with a Unit Controller.
Note – Install electric heat door assembly after electric heat assembly and wiring is complete.
TABLE 1



FIGURE 1
Electrical Connections
Wiring must conform to local codes and NEC/CEC. Refer closely to wiring diagram in this instruction and the following information: If electric heat assembly is being installed in an existing unit, a change in power supply wiring and disconnect switch may be required. Remove the original supply wires or disconnect at power source. Refer to heater nameplate for minimum circuit ampacity and maximum fuse size.
- Review heater installed nameplate for MCA values and enlarge power entry knockouts as needed. Refer to figure 8 for field wiring. For wiring between F4 and TB2 or CB10, use the harness provided in this kit. Likewise, for wiring between TB2 or CB10 and TB3, use the harness provided in this kit. For low voltage wiring connections, refer to unit installation instruction.
- Make 24 volt harness jack/plug connections as follows. LC Units – Connect electric heat jack J7 to electric heat plug P7. See figure 4. KC/KH Units – Connect electric heat jack J7 to electric heat plug P7. Connect P2 plug to main cooling harness jack J2. See figure 5.
- Select wiring diagram with appropriate unit model number and affix to unit in location shown in figure 6.
FIGURE 3

FIGURE 4

FIGURE 5

FIGURE 6
Install Door Assembly – Non-Hinged Only
- Secure door frame on inside of filter access and heating/blower access mullions. Use existing screws. See figure 7.
- Install hinges on electric heat door.
- Install knob on electric heat door.
- Install spring latch to door frame with #8 screws (provided).
- Secure electric heat door hinges onto door frame. Make sure door opens to the right. Make sure door opens and closes properly; adjust hinges if necessary.

FIGURE 7
Blower Speed Requirements
Electric heater applications require specific blower air volumes. Refer to blower tables in the unit installation instruction for start-up.
Set Unit Controller
Set the Unit Controller using one of the following menus. M2, M3, or M4 is printed near the bottom of the Unit Controller by the SBUS connector on M2 and M3 controllers and by the seven-segment display on M4 units. Refer to the Unit Controller manual provided with each rooftop unit.
M2 Unit Controller
Use this menu to enable the appropriate number of electric heat stages.
SETTINGS > INSTALL > ELECTRIC HEAT STAGES
M3 Unit Controller
The Unit Controller configuration I.D. must be set to identify that electric heat has been installed.
Note – The number of electric heat stages do not have to be entered with version 08 and later.
- Use the Unit Controller keypad to enter the following menu:
MAIN MENU > SETUP > INSTALL - Press SAVE until CONFIGURATION ID 2 appears. Change the 9th digit to “Y” for yes.
- Press SAVE. The Unit Controller is now set up to operate electric heat.
M4 Unit Controller
Use the following menu in the mobile app to enable electric heat.
RTU MENU > SETUP > INSTALL
Select configuration I.D. 2 and change (9) Field Electric Heat to Y (Installed).
Unit Start-Up (Heating Cycle)
Set room thermostat for proper heat or auto operation if switching subbase is used. Close disconnect switch and position heat setpoint lever above room temperature. Refer to unit installation instructions for additional information on start-up operations and adjustments.
Heating supply air CFM may be adjusted from the default value. Use the installation instruction provided with each unit and refer to Supply Air Inverter Start−Up and Direct Drive Variable Blower Start-Up sections.
Heating Operation
Cooling Units:
Single Stage (5.7, 7.5, 11.5, 15kW)
A W1 thermostat demand will energize the first stage of electric heat.
Two Stage (17.2, 22.5, 23, 30, 34.5, 45, 45.9, 60kW) A W1 thermostat demand will energize the first stage of electric heat. A W2 thermostat demand will energize the second stage of electric heat after a 30-second delay.
Heat Pump Units:
A W1 thermostat demand will energize both compressors in heating mode (reversing valves are not energized). A W2 thermostat demand will energize the first stage of electric heat in addition to compressors operating in heat pump mode. For 22.5 through 30KW electric heat, the second stage of electric heat will be energized after a 30-second delay

FIGURE 8



















