MW MEAN WELL 200W PWM Output Driver User Manual



Features
- Constant Voltage PWM style output with user changeable frequency up to 4KHz compliant lEEE1789-2015 and EU Ecodesign SVM requirement
- Min.dimming level 0.01%
- Plastic housing with class ll design
- Standby power consumption<0.5W
- Support KNX Data Secure
- No need KNX-DALl gateway
- Typical lifetime>50000 hours
- 5 years warranty
Applications
- LED strip lighting
- lndoor LED lighting
- LED decorative lighting
- LED architecture lighting
- Type “HL” for use in class l, division 2 hazardous (classified)
- Cove lighting
Description
PWM-200KN series is a 200W AC/DC LED driver featuring the constant voltage mode with PWM style output, which is able to maintain the colour temperature and the brightness homogeneity when driving all kinds of LED strips and constant voltage LED bulbs.The built-in KNX interface is to avoid using the complicated KNX-DALl gateway and equipped with KNX Data Secure. KNX Data Secure offers protection against manipulation in building auto mation and can be configured in the ETS project.
PWM-200KN operates from 100~305VAC and offers models with output voltage between 12V & 48V. Thanks to the high efficiency up to 94%, with the fanless design, the entire series is able to operate for -40°C ~ +85°C case temperature under free air convection.
The minimal dimming level low to 0.01% is suitable for low light level applications e.g. cinema. The output frequency is changeable up to 4KHz complaint lEEE1789-2015 no risk requirement and EU Ecodesign stroboscopic visibility measure(SVM) concern due to light fickering. requirement providing a great solution for health concern due to light fickering.
Model Encoding

Type | Function | Note |
| KN | KNX control technology | ln stock |
SPECIFICATIONS
MODEL | PWM-200-12 | PWM-200-24 | PWM-200-36 | PWM-200-48 | |
| OUTPUT | DC VOLTAGE | 12V | 24V | 36V | 48V |
| RATED CURRENT | 15A | 8.3A | 5.55A | 4.17A | |
| RATED POWER | 180W | 199.2W | 199.8W | 200.1W | |
| DIMMING RANGE | 0 ~ 100% | ||||
| PWM FREQUENCY (Typ.) | 200~4000Hz user changable via ETS | ||||
| SETUP, RISE TIME Note.2 | 500ms, 80ms/230VAC, 1200ms, 80ms/115VAC | ||||
| HOLD UP TIME (Typ.) | 10ms/230VAC or 115VAC | ||||
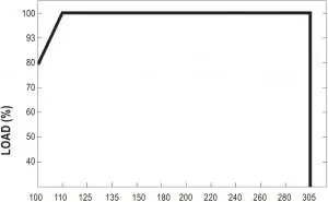
| INPUT | VOLTAGE RANGE Note.3 | 100 ~ 305VAC 142 ~ 431VDC (Please refer to “STATIC CHARACTERISTIC” section) | |||
| FREQUENCY RANGE | 47 ~ 63Hz | ||||
| POWER FACTOR (Typ.) | PF>0.97/115VAC, PF>0.96/230VAC, PF>0.94/277VAC @ full load (Please refer to “POWER FACTOR (PF) CHARACTERISTIC” section) | ||||
| TOTAL HARMONIC DISTORTION | THD<20%(@load≧60%/115VAC, 230VAC; @load≧75%/277VAC) (Please refer to “TOTAL HARMONIC DISTORTION” section) | ||||
| EFFICIENCY (Typ.) | 92% | 93% | 94% | 94% | |
| AC CURRENT (Typ.) | 2.2A / 115VAC 1.1A / 230VAC 0.9A / 277VAC | ||||
| INRUSH CURRENT (Typ.) | COLD START 65A(twidth=550μs measured at 50% Ipeak) at 230VAC; Per NEMA 410 | ||||
| MAX. NO. of PSUs on 16A CIRCUIT BREAKER | 3 units (circuit breaker of type B) / 5 units (circuit breaker of type C) at 230VAC | ||||
| LEAKAGE CURRENT | <0.75mA / 277VAC | ||||
| STANDBY POWER CONSUMPTION | standby power consumption<0.5W when dimming off | ||||
| PROTECTION | OVERLOAD | 108 ~ 135% rated output power | |||
| Hiccup mode or Constant current limiting, recovers automatically after fault condition is removed | |||||
| SHORT CIRCUIT | Shut down o/p voltage, re-power on to recover | ||||
| OVER VOLTAGE | 13 ~ 18V | 27 ~ 34V | 41 ~ 49V | 53 ~ 65V | |
| Shut down o/p voltage, re-power on to recover after fault condition is removed | |||||
| OVER TEMPERATURE | Shut down o/p voltage, re-power on to recover after fault condition is removed | ||||
| ENVIRONMENT | WORKING TEMP. | Tcase=-40 ~ +85℃ (Please refer to “ OUTPUT LOAD vs TEMPERATURE” section) | |||
| MAX. CASE TEMP. | Tcase=+85℃ | ||||
| WORKING HUMIDITY | 20 ~ 95% RH non-condensing | ||||
| STORAGE TEMP., HUMIDITY | -40 ~ +80℃, 10 ~ 95% RH | ||||
| TEMP. COEFFICIENT | ±0.03%/℃ (0 ~ 50℃) | ||||
| VIBRATION | 10 ~ 500Hz, 5G 12min./1cycle, period for 72min. each along X, Y, Z axes | ||||
| SAFETY & EMC | SAFETY STANDARDS Note.5 | UL8750( type ”HL” ), CSA C22.2 No. 250.13-12; ENEC BS EN/EN61347-1, BS EN/EN61347-2-13,BS EN/EN62384 independent, EAC TP TC 004,GB19510.1,GB19510.14 approved; Design refer to BS EN/EN60335-1, According to BS EN/EN61347-2-13 appendix J suitable for emergency installations. | |||
| KNX STANDARDS | Certified protocol | ||||
| WITHSTAND VOLTAGE | I/P-O/P: 3.75KVAC | ||||
| ISOLATION RESISTANCE | I/P-O/P: 100M Ohms / 500VDC / 25℃/ 70% RH | ||||
| EMC EMISSION Note.6 | Compliance to BS EN/EN55015, BS EN/EN61000-3-2 Class C (@load≧60%) ; BS EN/EN61000-3-3,GB17743 and GB17625.1,EAC TP TC 020 | ||||
| EMC IMMUNITY | Compliance to BS EN/EN61000-4-2,3,4,5,6,8,11; BS EN/EN61547, light industry level (surge immunity, Line-Line 2KV),EAC TP TC 020 | ||||
| OTHERS | MTBF | 553.6 K hrs min. Telcordia SR-332 (Bellcore) ; 170 K hrs min. MIL-HDBK-217F (25℃) | |||
| DIMENSION | 195*68*39.5mm (L*W*H) | ||||
| PACKING | 1.03Kg; 12pcs/13.4Kg/0.71CUFT | ||||
| NOTE |
| ||||
DIMMING OPERATION

Dimming principle for PWM style output
- Dimming is achieved by varying the duty cycle of the output current.

KNXInterface
- Apply KNX signal between KNX+ and KNX-.
The application program(database) can be downloaded via Online Catalogs from ETS or via http://www.meanwell.com/productCatalog.aspx
Parametrization options | Description |
| Switch functions |
|
| Dimming |
|
| Brightness value |
|
| More parameters can be found in the ETS application database and instruction manual | |
| The device is equipped with KNX Data Secure. KNX Data Secure offers protection against manipulation in building automation and can be configured in the ETS project. Detailed specialist knowledge is required. A device certificate, which is attached to the device, is required for the first configuration. After configuration and ready for runtime (daily) operation, it is recommended to remove the certificate from the device and to store it securely. For details, please refer to the instruction manual. MEAN WELL Device Certificate | |
OUTPUT LOAD TEMPERATURE

AMBIENT TEMPERATURE,Ta (ºC)

Tcase (ºC)
STATIC CHARACTERISTIC

INPUT VOLTAGE (V) 60Hz
POWER FACTOR PF CHARACTERISTIC

LOAD
TOTAL HARMONIC DISTORTION (THD)
48V Model, Tcase at 75℃

Load
EFFICIENCY LOAD
PWM KN -200 series possess superior working efficiency that up to 94% can
be reached in field applications.
※ 48V Model, Tcase at 75℃

Load
LIFE TIME

Block Diagram

Mechanical Specification

Recommend Mounting Direction

Installation Manual
Connection for KN-type

Cautions
- Before commencing any installation or maintenance work, please disconnect the power supply from the Ensure that it cannot be re-connected inadvertently!
- Keep proper ventilation around the unit and do not stack any object on Also a 10-15 cm clearance must be kept when the adjacent device is a heat source.
- Mounting orientations other than standard orientation or operate under high ambient temperature may increase the internal component temperature and will require a de-rating in output
- Current rating of an approved primary /secondary cable should be greater than or equal to that of the Please refer to its specification.
- For LED drivers with waterproof connectors, verify that the linkage between the unit and the lighting fixture is tight so that water cannot intrude into the
- Tc is identified on the product label. Please make sure that temperature of Tc point will not exceed limit.
- DO NOT connect “KNX- to -V”.
- The power supply is considered as a component that will be operated in combination with final Since EMC performance will be affected by the complete installation, the final equipment manufacturers must re-qualify EMC Directive on the complete installation again.
- For more information about installation, Please refer to: http://www.meanwell.com/manual.html for details.




















