
Instruction Guide for Evo DIY COP Kit
This is an instruction guide to assemble your coil on plug setup for a Mitsubishi Evolution 4 – 9. This is a step by step guide for your personal use. An instructional video is also available at www.jdcustomsusa.com. JD Customs USA is not responsible for any accidental damages that may occur during the assembly or use of this kit.
Tools needed:
- Crimping tool
- Wire Cutters
- Wire stripping tool
- Measuring tape
- Heat Gun/Hair Dryer
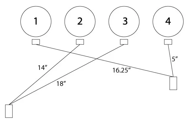
- Cut three of the following wire lengths: (3) 5″ & (3) 16.25″. You should have a total of 6 wires when finished. Group this set together.
- Cut one more set (3 wires each) of 14″ & 18″. Group this set together. Do not mix the two wire sets together.

- Strip 1/4″ from one end and 1/2″ from the other for each wire. Be careful to not mix up the two different groups of wires.
- Twist the 1/2″ end of the 5″ & 16.25″ wires together and repeat two more times until all 5″ & 16.25″ wires are joined at one end as seen below.

- Repeat step number 4 for the 14″ & 18″ wires.
- Crimp a pin for the Evo male connector to the end of each joined wire. The pin will need to be crimped so that no edges are sticking out, which will keep it from fully snapping into place inside the connector. Make sure to make a tight connection and pull on the pin before inserting it into the connector. Your wires should look something like this:

- Slide one rubber insulator on the set of two wires coming out of the Evo connector to insulate the male connectors before inserting an insulator on each single wire to insulate the Denso connector. Do this before attaching the Denso pins to the ends.

- Crimp Denso pins to the end of each wire. There should be 12 total including both sets of wires. Do not plug them into the connectors yet.
Individually insert the three joined 5″ and 16.25″ wires with pin into a single Evo male connector. Repeat with the 14″ & 18″ wires on the other Evo connector. Make sure the pin is crimped in a way that allows it to insert into the connector without resistance or it will not snap into place. Sometimes this takes a few tries since you are putting two wires into one connector. You should hear a click when the pins snap into place. Give the wires a good tug to make sure they are secure before moving onto the next step. The pins should be the same length when looking into the end of the connector. If one is shorter than the others, you do not have it snapped in, and it will result in a misfire.
- Cut the wire sheath in sizes to cover the wire starting with the shortest wires first.
- Group the shorter and longer wires together coming from the Evo male connector and pull them to one side of the connector to separate them from each other.
- Starting with the set of shorter wires, insert the “+12V” wire into the proper length wire sheath along with the heat shrink and connect it to the Denso connector “+12V” port (see pin guide below).

- Insert the “Ground” wire into the wire sheath and connect it to the Denso connector “Ground” port.
- Insert the “Pulse” wire into the wire sheath and connect it to the Denso connector “Pulse” port.
- Follow steps 11-14 with the other connectors to complete your wire harness. You can use a 2″ piece of wire and another Denso pin with insulator to make a plug for the unused ports (#2) in the Denso connector. This will keep water from getting inside the open port.
- (You can skip this step if your kit came with coils) Clean the top of each coil with rubbing alcohol and a paper towel and let it dry before attaching the JDC logo. Simply peel the sticker and apply it to the center of the coil. Press firmly or rub with your fingernail until all the bubbles are gone.
- Mount your coil packs to the mounting plate with the provided mounting hardware and connect the harness to the coils according to the wiring diagram under step # 1. The provided washers should go between the coil packs and mounting plate in order to make the coils mount flush to the plate.
- Mount your Coil on Plug setup to the valve cover using the two provided hex head bolts and washers and plug in the harness to both Evo connectors. The provided rubber seals can be installed below the mounting plate (between the mounting plate and valve cover) for a water tight seal.
- IMPORTANT! Make sure you swap the provided 15A fuse in the fuse box on the driver side under the dash. The ignition puts out more power than the factory 10A fuse can handle and it will eventually blow and your car will not start if it does. It is located from the driver seat by your left knee in the interior fuse box, top left, red fuse, #1 position.
- Enjoy the smoother idle and more power from your home-made COP kit from JD Customs USA!!
Please upload a picture and tag us! We love to see our products in action! Also make sure to tell your friends where to purchase their Evo DIY COP kit! We appreciate your business!
Don’t forget to leave a review and follow us!
(423) 665-9616
www.Jdcustomsusa.com
Instagram: JD_Customs_USA
Facebook: jdcustomsusa




Individually insert the three joined 5″ and 16.25″ wires with pin into a single Evo male connector. Repeat with the 14″ & 18″ wires on the other Evo connector. Make sure the pin is crimped in a way that allows it to insert into the connector without resistance or it will not snap into place. Sometimes this takes a few tries since you are putting two wires into one connector. You should hear a click when the pins snap into place. Give the wires a good tug to make sure they are secure before moving onto the next step. The pins should be the same length when looking into the end of the connector. If one is shorter than the others, you do not have it snapped in, and it will result in a misfire.


















