LINK-MI SX-SMX44 4×4 Seamless HDMI Matrix & 2×2 Video Wall Controller

Dear Customer
Thank you for purchasing this product. For optimum performance and safety, please read these instructions carefully before connecting, operating or adjusting this product. Please keep this manual for future reference.
The Matrix offers solutions for digital entertainment center, HDTV retail and show site, HDTV, STB, DVD and projector factory, noise, space and security concerns, data center control, information distribution, conference room presentation, school and corporate training environments.
Features
- Any one of the 4 sources to any one of the 4 displays.
- Seamless switching ensures no switching delay and pictures loss during transitions, the switching speed is less than 40 millisecond.
- Support 2×2 video wall mode.
- Any one of the four outputs can be turned off independently.
- Each port support both HDMI and DVI inputs.
- Support high definiton resolutions, including: 1080p@60Hz@36 b/pixels, 1080i, 720p and other standard video formats.
- With panel button, Remote Control, RS232 Control, IP Control to select the source.
- 1U rack design ,easy installment.
- DC 12V 3A power supply.
- Unit size:L438XW220XH44 mm.
NOTICE
Our company reserves the right to make changes in the hardware, packaging and any accompanying documentation without prior written notice.
SPECIFICATIONS
| Operating Temperature Range | 0 to +35°C (32 to +95°F) |
| Operating Humidity Range | 5 to 90 % RH (no condensation) |
| Input Video Signal | 0.5-1.0 volts p-p |
| Input DDC Signal | 5 volts p-p (TTL) |
| Video Format Supported | DTV/HDTV: 1080P/1080i/720P/ 576P/480P/576i/480i |
| Audio Format Supported | LPCM |
| Input ports | 4xHDMI(standard Type A connector) |
| Output ports | 4xHDMI(standard Type A connector) |
| Matrix mode | 4×4 Seamless switching |
| Video wall mode | 2×2 video wall |
| Power consumption | 24watts(Maximun) |
| Dimension (mm) | L438XW220XH44 mm |
| Weight | 2800g |
PACKING CONTENTS
- 4×4 Matrix x1pcs
- Remote Controller x1pcs
- CD ROM (user manual) x1pcs
- Power Adapter 12V3A x1pcs
- Mounting Ears x1pair
- IR Cable x1pcs
PANEL DESCRIPTIONS

- Power on/off.
- These LED indicates the status of each output selection.
- IR receive window.
- Input button IN1~4: choose the desired input port from ports 1~4.
- Output button OUT1~4: choose the desired output port from ports 1~4.
- ALL: Press this button to set all the outputs to display with the same input. First press the “ALL” button then press an input number to confirm the selection.
- OFF button: first press “OFF”, then press the corresponding output number or “ALL” to turn off and turn on the video output.
- Matrix mode key and led: the machine will work in matrix mode.
- Video Wall mode key and led: the machine will work in video wall mode
- Lock button: lock and unlock the function of all the keys, the led will turn red when lock enabled.

- LAN port.
- RS232 port.
- HDMI input port.
- HDMI output port.
- Power input: 12V 3A
CONNECTING AND OPERATING
- Connect source devices to input ports of the matrix
- Connect HDMI output port to TV or other HDMI sink devices.
- Optional: connect RS232 cable from PC RS232 port .
- Optional: connect an Ethernet cable from the TCP/IP port on the matrix to a local area network.
- Connect 12V/3A POWER supply to DC power socket.
- Power on the matrix ,HDMI sources and displays.
Typical Application


Control via remote

- Power on/off.
- Matrix mode button.
- Video wall mode button.
- Output button: Output 1/Output 2/Output 3/ Output 4.
- PTP button:
- Output 1 display input 1,
- Output 2 display input 2,
- Output 3 display input 3,
- Output 4 display input 4.
- Click “X” to close the output port.
For example, click “X” and “output 1” to close output 1, Click “X” and “All” to close all the outputs. - Input button: Input 1/Input 2/Input 3/Input 4.
- Select the input sources under video wall mode.
- Border setting under video wall mode.
Control via RS232
Switch setting

- Matrix mode: select the input port for output 1~4.
- Video wall mode: all the four output will show the different part of the same input source.
- ON: Factory defaults setting is all output is on, the button is green. Click “out1, out2, out3, out4”, it will turn off, the button will turn red.
- Update: update the working status of the matrix.
Resolution and border setting

Border setting is only effective when working in video wall mode.
① Reset: Click “RESET” to reset to default border setting.

IP setting
Click OK button to set IP address for LAN control (for example: 192.168.1.111).

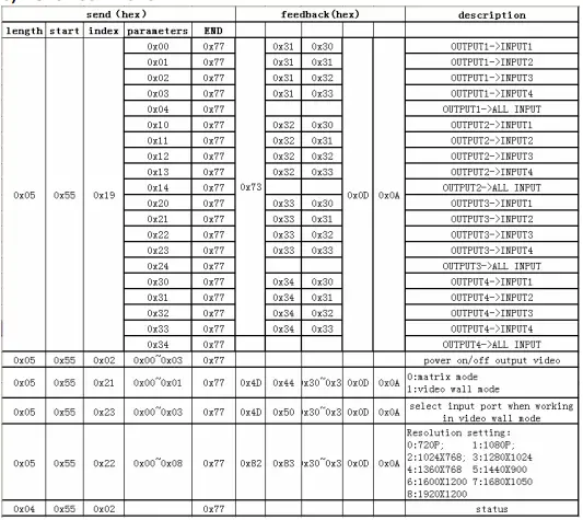
Control command format
If user want to write his own control software, below are data format and baud rate setting. Com port setting:
| Baud Rate: | 9600 bps |
| Data bits: | 8 bits |
| Parity: | None |
| Stop bits: | 1 bit |
| Flow control: | None |
RS232 command

Web password reset
The command length is 4 bytes.
- rpw+ ‘↙’ “rpw” is the key word , ‘↙’ is carriage return.
- When you send the Web password reset command to the matrix, if succeed, it will feedback “rpw”, and the web password will be set as “0000000000”.
IP Control
Note: Use the RJ45 cable to connect with PC, or use RJ45 cable to connect to the Ethernet router.
- Double click Netfinder.exe. Click “Search” button to get the device’s IP address.

- Click “Web Browser” button. A web browser will be shown. The default password is “0000000000”, input the password and login. The device controller page will be displayed.

MAINTENANCE
Clean this unit with a soft, dry cloth. Never use alcohol, paint thinner of benzine to clean this unit.
PRODUCT SERVICE
- Damage requiring service:The unit should be serviced by qualified service personnel if:(a) The DC power supply cord or AC adaptor has been damaged;
(b) Objects or liquids have gotten into the unit;
(c) The unit has been exposed to rain;
(d) The unit does not operate normally or exhibits a marked change in performance; The unit has been dropped or the cabinet damaged. - Servicing Personnel: Do not attempt to service the unit beyond that described in these operating instructions.Refer all other servicing to authorized servicing personnel.
- Replacement parts: When parts need replacing ensure the servicer uses parts specified by the manufacturer or parts that have the same characteristics as the original parts. Unauthorized substitutes may result in fire, electric shock, or other Hazards.
- Safety check: After repairs or service, ask the servicer to perform safety checks to confirm that the unit is in proper working condition.
WARRANTY
If your product does not work properly because of a defect in materials or workmanship, our Company (referred to as “the warrantor” ) will, for the length of the period indicated as below, (Parts(2)Year, Labor(90) Days) which starts with the date of original purchase (“Limited Warranty period”), at its option either
- repair your product with new or refurbished parts, or
- replace it with a new of a refurbished product. The decision to repair or replace will be made by the warrantor.
- During the “Labor” Limited Warranty period there will be no charge for labor.
- During the “Parts” warranty period, there will be no charge for parts. You must mail-in your product during the
- warranty period. This Limited Warranty is extended only to the original purchaser and only covers product purchased as new. A purchase receipt or other proof of original purchase date is required for Limited Warranty service.
MAIL-IN SERVICE
When shipping the unit carefully pack and send it prepaid, adequately insured and preferably in the original carton. Include a letter detailing the complaint and provide a day time phone and/or email address where you can be reached.
LIMITED WARRANTY LIMITS AND EXCLUSIONS
- This Limited Warranty ONLY COVERS failures due to defects in materials or workmanship, and DOES NOT COVER normal wear and tear or cosmetic damage.
The Limited Warranty ALSO DOES NOT COVER damages which occurred in shipment,
or failures which are caused by products not supplied by warrantor, or failures which result from accidents, misuse, abuse, neglect, mishandling, misapplication, alteration, faulty installation, set-up adjustments, misadjustment of consumer controls, improper maintenance, power line surge, lightning damage, modification, or service by anyone other than a Factory Service center or other Authorized Servicer, or damage that is attributable to acts of God. - THERE ARE NO EXPRESS WARRANTIES EXCEPT AS LISTED UNDER “LIMITED WARRANTY COVERAGE”. THE WARRANTOR IS NOT LIABLE FOR INCIDENTAL OR CONSEQUENTIAL DAMAGES RESULTING FROM THE USE OF THIS PRODUCT, OR ARISING OUT OF ANY BREACH OF THIS WARRNTY. (As examples, this excludes damages for lost time, cost of having someone remove or re-install an installed unit if applicable,
travel to and from the service, loss of or damage to media or images, data or other recorded content. The items listed are not exclusive, but are for illustration only.) - PARTS AND SERVICE, WHICH ARE NOT COVERED BY THIS LIMITED WARRANTY, ARE YOUR RESPONSIBILITY.





















