Instruction Manual
NTN PORTABLE VIBROSCOPE
Model No.: DAT-HV0002
NTN Corporation
Revision history
| Revision | Date | Content of revision | |
| First edition | December 13, 2019 | ||
- Apple, and the logos of Apple, iPad, and iTunes, are the trademarks of Apple Inc. registered in the United States and other countries.
- App Store is a service mark of Apple Inc.
- iOS is a trademark or a registered trademark of Cisco in the United States and other countries.
- “Wi-Fi” is a registered trademark of Wi-Fi Alliance.
- Other trademarks, trade names, company names, and each product name belong to each owner.
Introduction
Thank you indeed for purchasing the NTN PORTABLE VIBROSCOPE (referred to as “this device” afterward) this time. Please read this Instruction Manual well to use this device correctly before you use it. Moreover, please keep this Instruction Manual carefully in order to refer to it at any time if necessary.
1.1 Outline and features of this device
- This device is a simple type vibroscope*1 excellent in portability and operability.
- By selecting*2 a bearing parts number from the list and creating the measurement point,
FFT analysis *3 and the judgment of the measured vibration data can be performed. - The FFT analysis result can be displayed on the tablet equipped with the iOS you have.
- The measured and analyzed results are saved in the tablet*4 and can be converted into CSV format.
The CSV data can be imported to a PC that you have by way of iTunes.
*1: The calibration function is not provided in this device.
*2: The customer can add the bearing parts number which has not been registered yet in the list.
*3: The inspected result is a reference and does not guarantee the state of the bearing.
*4: The volume of data that can be saved changes depending on the capacity of your tablet.
1.2 Necessary equipment
A tablet equipped with iOS is necessary to use this device. The tablet is not attached to this device, and you have to prepare it. Because the internet line is used when the dedicated application (referred to as “application” afterward) is installed into the tablet, a communication contract with the telecommunication enterpriser is necessary. The customer must bear the communication charge. Please confirm “2.2 Operating environment” for the details of the operating environment of each piece of equipment.
1.3 Sales and restrictions in use
This device conforms to the legal regulation of Japan and other countries, and the applicable countries are described on the nameplate of this device and the packing box. When this device is used in countries other than the described countries, our company cannot assume any responsibility at all.
1.4 SSID
This device has an individual SSID allotted to each device. SSID described on the nameplate on the back of this device needs to be selected from the Wi-Fi setting of the application to perform the connection process. In addition, please check the SSID seal attached when you purchased this product or the seal labeled on the side of the packing box to confirm the SSID.
1.5 Install and update software
It is necessary to install the dedicated application into the tablet before you use this device. Please install the application in accordance with “4.1 Preparation of application” Moreover, please get the application of the latest version in accordance with a similar procedure.
1.6 Disclaimers
- For the operation of the related systems such as the software and hardware of this device, scrupulous care is taken. However, our company doesn’t guarantee at all that there is neither a misprint nor a bug in the program, that there is no error in the bearing data, or that there is no inconvenience that does not conform to the usage purpose of users. Moreover, there is a possibility that an error is caused in the measurement result due to the difference in the measuring method.
- The results of measurements such as the OA value, the FFT analysis result, and the judgment result obtained by using this device do not guarantee the state of the measured bearing or things and do not guarantee the provision of specialized advice on the individual case. The customer should make the final judgment concerning the state of the bearing, with the reference to the measurement results with this device.
- The criterion value for FFT measurement judgment with which the bearing damage judgment is performed should be set by the customer based on the experiences of the customer etc. The validity of the value is not guaranteed by our company at all. Moreover, our company doesn’t assume responsibility for any damage and the disadvantage, etc., that occur because of the improper setting of the FFT measurement judgment criterion value.
- The application used with this device is operated on the operating environment described in the Instruction Manual, but the operation is not guaranteed for all the tablets, etc. Our company doesn’t guarantee that the application can be operated on any tablet etc. customer uses.
- The measurement data etc. saved in the tablet customer uses has a possibility of disappearing without previous notice due to convenience in the system operation or inevitable trouble etc. Our company does not guarantee at all against any damage or disadvantage etc. caused by it. Moreover, our company doesn’t owe the obligation for restoration of the data that has disappeared.
- Our company doesn’t guarantee the measurement result when the measurement is performed by the usage which does not follow the procedure described in the Instruction Manual. Moreover, our company doesn’t guarantee against the breakdown, etc. that occurs when the device is not used or kept as described in the Instruction Manual.
- This device complies with IP65 protective class for dustproof and waterproof property, but our company doesn’t guarantee against the breakdown, etc. that occurs when this device is used or kept in a very bad environment such as a place where a lot of dust always exists or where the device is exposed to the moisture.
- Regarding the contents of the system such as software and hardware for this device and the Instruction Manual, the appearance and specification, etc. of this device might be changed without previous notice in order to respond to the technical advancement and the improvement. Our company doesn’t assume at all the responsibility of damage and the disadvantage etc. caused by the change.
- For our convenience, it is likely to stop or discontinue completely the service of the upgrade etc. for the application. Our company doesn’t assume at all the responsibility of the damage and the disadvantage etc. caused by the stop, discontinuance or the end, etc.
Before using this device
2.1 Safety precautions
Please always follow the content of this Instruction Manual. This device is manufactured based on a design that considers the customer’s safety, but please use it after understanding the following notes very well.
Please always follow using conditions such as temperature, humidity, etc. described in the Instruction Manual when you use this device. By using this device under the condition of high temperature, high humidity, and in the hot sun, there is a possibility of causing breakdown, damage, etc. of this device.
This device is precision equipment. Please don’t throw and drop it.
Please use a specified battery. Please follow notes when you change or use the battery, and use with attention to safety.
2.1.1 Notes
The condition of workers who handle this device is as follows.
- The content of this Instruction Manual can be understood before use and can be executed.
- Safety precautions are understood well.
2.1.2 About the alarm display
In this Instruction Manual, what should be observed during usage of this device is divided into “Danger” and “Attention” according to the level of risk severity and displayed? However, there are some which do not have the applicable level. Notes for the possibility of influencing the function/performance or causing a breakdown are also described. Please confirm them.
Table 2.1 About alarm display
| Describes the “content of imminent danger to death or serious injury assumed to happen” when the device is mishandled. | |
| Describes the “content of danger to injury or damage to the property assumed to happen” when the device is mishandled. | |
| The sign having a left slash inside the circle reflects the content of “Prohibition” which should not be done. | |
| The sign shown by the blue circle reflects the content of “Instruction of compulsion” which should be done without fail. |
2.1.3 To use this product safely
Table 2.2 Instruction on safety (Warning)
| |
| A person who has a pacemaker shall not use or approach this device. The pacemaker might malfunction because this device and tablet generate the electric wave. |
| This device complies with the IP65 protective class, but it shall not be used in places exposed to strong jet liquid, near the combustibles, and in the corrosive or flammable atmosphere. There is a possibility of causing an electric shock, fire, or breakdown. |
| Do not touch this device with a wet hand. There is a possibility of causing a breakdown or serious accident. |
| When charging with the USB cable, do not put a heavy thing on the cable. There is a possibility of causing an electric shock, fire, or breakdown. |
| When this device is used with the strap attached, take care for it not to roll in the rotating portion. There is a possibility of causing a breakdown or serious accident. |
| The thing to be measured is hot in some cases. Confirm the temperature of the thing to be measured with a thermometer etc. before measurement. |
Table 2.3 Instruction on safety (Caution)
| Do not disassemble or remodel this device. There is a possibility of causing the breakdown. If this device is disassembled or remodeled, it becomes not be covered by the warranty. | |
| Do not use or keep this device in an environment where the temperature or humidity is high or low (Outside of the atmospheric temperature range of +5℃ to +50℃ and humidity range of 30% to 90%). There is a possibility that this device doesn’t work normally. | |
| Use two chargeable batteries of size AAA (Ni-MH battery) for this device. Moreover, do not use mixed batteries of old/new ones or different types. There is a possibility of causing the breakdown. | |
| Do not give a high impact to this device or the magnet, or do not drop them. There is a possibility of causing the breakdown. | |
| When this device gets dirty, wipe off it with a dry cloth, etc. Do not use water and organic solvent to wipe off the dirt. There is a possibility of causing the breakdown. | |
| Do not give unreasonable force to the connecting portion of the USB connector. The connecting portion may be damaged, which causes a fire or a malfunction. | |
| The usable battery for this device is a chargeable battery of size AAA. Do not use a primary battery. Moreover, a usable chargeable battery is a Ni-MH battery. Do not use a lithium-ion battery. When you change the batteries, check the direction of the batteries and insert them with the correct +/- poles. If these are inserted in the wrong direction, there is a possibility of causing the breakdown, transformation by heat, or explosion. | |
| Close the USB waterproof cap surely so that there is no clearance. There is a possibility of the breakdown due to the invasion of water, oil, or dust. | |
| Detach the battery from the measuring instrument when you do not use this device for a long time. The measuring instrument might be damaged by the battery liquid leakage etc. Moreover, the battery is kept in the device for a long time, so there is a possibility not to charge by using a circuit on the device. When the battery can not be charged by keeping it in the device, use a battery charger for the Ni-MH battery. | |
2.2 Operating environment
Please confirm the following tables for the operating environments of this device and tablet.
Table 2.4 NTN PORTABLE VIBROSCOPE
| Item | Operating specification | |
| Power supply | 2 chargeable batteries of size AAA (Ni-MH battery) | |
| Operating temperature | +5°C to +50°C | |
| Operating humidity | 30% to 90% (no dewfall) | |
| Operating environment condition | Indoor use : | When you use this device outside, it must be kept out of the wind and rain, the sun. There is a possibility of causing the breakdown and damage. |
| Operating height : | 2,000m or less | |
| Pollution level : | Pollution level 3 (General factory) | |
| Overvoltage category : | OVC I | |
Table 2.5 Tablet
| Item | Operating specification |
| OS | iOS12.0 or later |
| Display | 12.9/11/10.5/9.7/7.9 inch |
※It is not to guarantee the operation of all tablets equipped with iOS.
2.3 Components
The packing box contains this device, the magnet, the USB cable 1 piece for each, Quick Instruction Manual, Inspection Report, Warranty 1 sheet for each, and 2 chargeable batteries of size AAA.



Please inquire to our company if anything is missing.
Handling of this device
3.1 Name of each part of this device

Table 3.1 Color and state of LED display lighting
| Red | Lighting | Error generated |
| Blinking | Wi-Fi waiting | |
| Green | Lighting | Wi-Fi connection established (Data is not sent yet) |
| Blinking | Wi-Fi connection established (Data is being sent) | |
| Red | Alternate blinking | During charging |
| Orange |
3.2 How to put in and detach the chargeable battery
| Use 2 chargeable batteries of size AAA (Ni-MH battery) for this device. Moreover, do not use mixed batteries of old/new ones or different types. There is a possibility of causing the breakdown. | |
| Insert the battery into this device with correct + – poles. | |
| Detach the battery of the measuring instrument when you do not use this device for a long time. The measuring instrument might be damaged by the battery liquid leakage etc. |
The battery box upper lid is detached by removing screws at 4 positions while the power supply is turned off. Then remove the screws at 2 positions and detach the battery box’s middle lid. Insert the 2 chargeable batteries of size AAA with taking care of the direction of +- poles. After inserting the batteries, insert the packing to secure each lid firmly.
When detaching the battery, remove the screws at 4 positions and detach the battery box upper lid while turning off the power supply. Moreover, remove the screws at 2 positions and detach the battery box middle lid to detach 2 chargeable batteries of size AAA. When this device is not used for a long time, keep it from detaching the battery.
3.3 Input of device sensitivity and selection of the unit of acceleration
This device needs to be used after inputting the sensitivity described on the inspection report from the “Wi-Fi” button on the menu screen of the application to correct measurement error. Unit of acceleration also needs to be selected on the same screen before measurement.
3.4 Rotational speed and direction of rotation
This device may not be able to perform FFT analysis when the rotational speed of the bearing is extremely low or extremely high from the characteristic reason. Moreover, this device is applicable only for the bearing with inner ring rotation for the detection of abnormality and the abnormality judgment cannot be performed for the bearing with outer ring rotation.
3.5 Measuring method
Please note the following points when you set up this device. Improper set-up is the cause of correct measurement being impossible
3.5.1 Measurement condition
The vibration value and the bearing vibration frequency change depending on the use condition of the bearing. For observing the change with time, please measure it under the same condition (bearing load, rotational speed, etc.) each time.
3.5.2 Measurement at the same position
The vibration has the direction of generation and it might be attenuated or amplified depending on the measurement position. Therefore, when observing the change with time, please measure it by fixing the device at the same position each time.

3.5.3 Contact resonance
Please use the attached magnet for fixing this device. While the contact pin can be used to measure easily, the measured vibration is amplified or attenuated from the actual value, depending on the frequency, and therefore high measurement accuracy cannot be obtained. Moreover, when the equipment to be measured has a screw hole of M6xP1, the set bolt (length: about 10 mm) is used to fix the device such that the end face of acceleration pick-up and the surface of the equipment to be measured come to close contact with each other, then the higher accuracy of the measurement is possible.

3.5.4 About measuring position
Please fix this device to the place where any part does not exist that possibly attenuates or amplifies the vibration such as preload spring or ball bush between this device and the bearing to be measured, or where the number of parts is as small as possible.

3.5.5 About mounting face
Please mount this device on the plane unless it is unavoidable. If it is mounted on a curved face, the measurement accuracy decreases. In the case where the mounting face is uneven, the measurement value is not stable. Therefore, please mount this device on the face which is as even as possible.

Operation for measurement
The measurement can be performed by operating the application display screen on the tablet
4.1 Preparation of application
Here, the method that sets up the application is explained on the assumption that the customer has Apple ID. The flow of installing the application is as follows.
- Connect the iPad to the Internet.
- Activate App Store on the iPad.
- After the activation, tap the icon for search and input “NTN” in the search window. After the search, some candidate applications are displayed and tap the “Get” button of “NTN PORTABLE VIBROSCOPE” (upper figure of Figure 4.1) to download/install it.
- After the installation ends, the icon of “NTN PORTABLE VIBROSCOPE” is displayed on the iPad screen.
- If the icon is tapped and the screen of the lower figure in Figure 4.1 is displayed, the installation is completed.

4.2 Wi-Fi connection setting
Because it is necessary that the Wi-Fi connection between the iPad and this device has been established before the measurement is performed, turn on the power of this device and tap the “Wi-Fi” button at the lower left on the application home screen. Moreover, a Wi-Fi connection can also be established by tapping the “Wi-Fi” button at the upper left on the screens of ” Measure without Meas. Point ” and “Measure with Meas. Point”.

Move to the Wi-Fi setting screen and tap “System”. As the confirmation window appears, select the “OK.”

Select “Wi-Fi” from the system setting screen.

Select the network of this device that is activated from the displayed network. SSID that begins with “NTN” is the network ID of this device. After selection, return to the Wi-Fi setting screen and confirm that the connection status changes to “Connected”, and tap the “Done” button.

4.3 Setting
When the measured data is judged or saved, it is necessary to register the measurement point information. Moreover, when judging the bearing not registered in the database, a special bearing or another company’s bearing, etc., it is necessary to register the bearing parameter beforehand.
From the “setting” botton, measurement point information and bearing information can be registered and edited newly. When the following “4.5 Measure with measurement point” is performed, the input of measurement point information and bearing information is indispensable. The bearing parts number to be measured, rotational speed, judgment criterion value, FFT measurement result, OA measurement result, judgment result, history management, etc. are all managed by the measurement point name set in the measurement point information.

4.3.1 Edit measurement point
When tapping the “setting” button on the home screen, the menus of “Edit Meas. Point” and “Edit bearing spec.” are displayed, then select “Edit Meas. Point”

- New registration of measurement point
Tap the “Edit” button on the screen of “List of Meas. Point”.

Tap the “+” button on the upper left of the screen.

After adding the required number of measurement points, tap the “Done” button.

To register information on the added measurement point, tap the measurement point name and edit the content.

- Adopting plant name, equipment name, measurement position, etc. as the measurement point name makes the history management easy.
- Select the bearing parts number without fail. It is impossible to measure if it is not selected.
- Input the value as accurately as possible for the rotational speed. Otherwise, the measured vibration frequency of the bearing may be shifted and the judgment of the FFT measurement may become impossible.
- Select maximum frequency referencing Table 4.1 as the guide. Table 4.1 FFT judgment
Low (1k) 300min-¹ or less Standard (5k) 300 to 20000min-¹ High (20k) 20000min-¹ or more - FFT judgment criterion value should be based on 1.000m/s² and it is changed in accordance with the equipment situation.
- Select the envelope ON or OFF in accordance with the measurement condition.
Select envelope “ON” for vibration measurement of bearings and gears etc., and envelope “OFF” for the measurement of unbalance, etc.
After the necessary information is input, tap “OK”. A new measurement point is registered.
When “Bearing” on the edit measurement point screen is tapped, the list is displayed as shown in Figure 4.13.
By inputting figures/characters into the “
Search” window, the search can be narrowed.
Tap the bearing parts number to be measured from the displayed bearing parts numbers and select it.

(2) Editing of the registered measurement point
Information on the measurement point that has already been registered can be edited. The edit screen is displayed when the measurement point to be edited is selected from the list of measurement points, then correct it as needed and tap “OK.”
Moreover, “Select bearing number” on the upper right of the screen sorts the measurement point name in the order of bearing parts numbers and displays.

(2) Copy of measurement points
By pressing and holding the measurement point name to be copied, Delete, Edit, and Copy menus are displayed and the information on the measurement point which has been registered can be copied.

4.3.2 Edit bearing specification
When a bearing parts number other than ones that have been registered beforehand is to be registered, it is used. When tapping the “setting” button on the home screen, menus of “Edit Meas. Point” and “Edit bearing spec.” are displayed, then select ” Edit bearing spec.”

Tap “Edit” on the screen of the bearing number list.

Tap “+” on the upper left of the screen.

After adding the required number of bearing parts numbers, tap “Done”.

To register the information to the added bearing parts number, tap the bearing parts number to edit the content.

As the bearing information, input the bearing number and either of bearing parameters or coefficients. When bearing parameters are input, tap “Calculate each coeff.” and obtain the coefficients without fail. After inputting, tap “OK”. When selecting the bearing parts number at the edit measurement point, the bearing number which is registered here is displayed.
4.4 Measure without measurement point
This is a mode that operates as a general vibration measuring instrument. Judgment other than ISO-10816, history display, and measurement data saving cannot be performed, but the vibration measurement can be performed easily without setting of measurement point information.
- Tap “Measure without Meas. Point” from the home screen of the application.

- Confirm that the “Wi-Fi” button on the upper left of the Measure without Meas. The point screen is green (connected). When the “Wi-Fi” button is red (not connected), tap the “Wi-Fi” button first to display the Wi-Fi setting screen and establish the connection. (Refer to “4.2 Wi-Fi connection setting” for the connection method.)

- Select Envelope ON-OFF, maximum frequency, and the ISO-10816 judgment criterion, and tap the “Start Meas.” button at the upper right.

- When the measurement is completed, the judgment result of ISO-10816 is displayed.

- When tapping “FFT” on the result screen of Measure without Meas. The point, FFT spectrum is displayed. When tapping the frequency button at the bottom of the screen, the frequency range of the graph can be specified.

- When tapping “Time Waveform” at the upper right, the time waveform is displayed.

- Both of FFT spectrum and time waveform, after tapping the cursor 1 or cursor 2 at the bottom of the graph and swiping them on the graph, the cross cursor moves. By releasing the finger from the screen, the position is established. The displayed cursor coordinates are the coordinates of the cross intersection of cursors 1 and 2 and the difference. The waveform graph can be expanded or reduced by pinch-out or pinch-in. Moreover, a horizontal axis can be scrolled with a horizontal swipe.

4.5 Measure with measurement point
This is a mode in which tendency management can be done by setting measurement point information. Judgment with the set judgment criterion, judgment of ISO-10816, save of measurement result, and history display can be performed.
The judgment results of the FFT measurement and the OA measurement are the reference result of judging measurements based on the judgment criterion value set by the customer and does not guarantee the objective state of the bearing to be measured.
(1) Tap “Measure with Meas. Point” from the home screen of the application.
(2) The target measurement point name is selected from the screen of Select Meas. Point.
(3) The condition is selected and it is confirmed that the “Wi-Fi” button on the upper left of Measure with Meas. The point screen is green (connected). When the “Wi-Fi” button is red (not connected), tap the “Wi-Fi” button first to move to the Wi-Fi setting screen, and after establishing the connection, the measurement is started. (Refer to “4.2 Wi-Fi connection setting” for the connection method.)
(4) Tap the “Start Meas.” button on the upper right of the screen of Measure with Meas. Point.
(5) When the measurement is completed, the acceleration and its frequency of the top 10 of the FTT analysis result, as well as the judgment result based on the set judgment criterion value, assumed damaged position, OA measurement result value, and the judgment result based on the set judgment criterion value, ISO-10816 judgment result are displayed.
Table 4.2 FFT judgment
| Condition | Judgment |
| 80% or less of the judgment criterion value | Good |
| Exceeding 80% and 100% or less of the judgment criterion value | Caution |
| Exceeding the judgment criterion value | Warning |
Table 4.3 OA judgment
| Condition | Judgment |
| Less than the judgment criterion value | The measurement value is displayed in blue. |
| Exceeding the judgment criterion value | The measurement value is displayed in red. |
Table 4.4 ISO-10816 judgment
| Judgment |
| Good |
| Acceptable |
| Caution |
| Warning |
(6) When the “FFT” button on the bottom left of the measurement result screen is tapped, the FFT spectrum is displayed. When the frequency button at the bottom of the graph is tapped, the frequency range of the graph can be specified. When “Time Waveform” on the upper right of the screen is tapped, the time waveform is displayed.
(7) By using the bottom left button on the graph, the raw waveform of the waveform after envelope processing can be selected.

(8) When saving the data, “Save” at the bottom right of the measurement result screen is tapped.
(9) If there is a saving history of data for the selected measurement point on the screen of Measure with Meas. The point, “FFT Trend”, “OA Trend”, and “FFT cf.” at bottom of the screen become active and the display of the history is possible.
(10) By using FFT Trend, the tendency management of the acceleration that corresponds to the damage frequency of the inner ring, outer ring, and rolling elements of the bearing can be performed.
(11) The tendency management of the acceleration, speed, and displacement of the vibration can be performed by using the OA Trend.
(12) FFT cf. displays FFT spectrums of the past 3 times with overlapping them.
(13) Both of FFT spectrum and time waveform, after tapping cursors 1 and 2 at the bottom of the graph, swiping them on the graph moves the cross cursor, and by releasing the finger, the position is established. The displayed cursor coordinates are the coordinates of the cross intersection of cursors 1 and 2 and the difference. The waveform graph can be expanded or reduced by pinch-out or pinch-in. Moreover, by swiping in the horizontal direction, the scroll on the horizontal axis can be performed.
4.6 History
Tapping “History” on the home screen of the application shows the selection screen of the measurement point, and the saved measurement data can be read.

By selecting the measurement point name, the measurement data is displayed in the list in the order of saving date and time. By tapping the desired measurement date and time, the measurement result screen is displayed. The operation after the screen is displayed is the same as “4.5 Measure with Meas. Point”.

By pressing and holding the specific measurement point name on the Select Meas. Point screen, the graphs of FFT Trend and OA Trend can be displayed.

4.7 CSV output of measurement data
The measurement data of each measurement point can be converted into CSV format.
- Tap the “History” on the home screen of the application.
- Press and hold the measurement point name desired to output from the displayed list, and the “Export to CSV” button is displayed.

- Tap the displayed “Export to CSV” button.
When the following screen is displayed, the CSV file has been output in the iPad memory.

4.8 Changing method of vertical axis maximum value of graph
The maximum value of the vertical axis on the graph displayed on the tablet can be changed.
- When tapping the scale of the vertical axis on the graph, the screen where Ymax can be input appears.

- Besides the time waveform graph, a similar change is possible even for the FFT graph and the trend graph.
4.9 Notes input function on measured data screen
The notes can be input into the measured data screen.
- Because there is a notes column at the bottom of the table where the measurement result is displayed, an arbitrary character can be input by tapping its column.
- Irrespective of the number of characters, they can be input either with half-width or full-width forms without limitation.

4.10 Delete measurement data on specific date and time
Saved measurement data on a specific date and time can be deleted.
After tapping the “History” button and selecting the measurement point name, the deletion screen is displayed by pressing and holding a specific measurement date and time.

4.11 Import data into PC
The measurement data saved on the tablet can be imported into a PC by using iTunes. Here, it is explained on the assumption that iTunes has been installed on the PC you have.
- Connect the PC and the tablet with a cable. (The customer must prepare Apple genuine cable.)
- Activate iTunes on the PC.
- When the connected tablet is recognized, the following screen is displayed. Then, tap the icon of the device that is displayed under the menu bar.

- Next, select “Apps” from the setting on the left of the screen.

- When selecting “NTN PORTABLE VIBROSCOPE” from the application on the displayed file sharing screen, the document screen is displayed.

- The measured data that is output as a CSV file from the application is in the folder of the measurement point name on the displayed document screen. Then, the window to select a location for saving the file is opened by selecting the folder and pressing “Save to…”. The measured data is imported by selecting the desired location for saving the file.
- After the import of the measured data is completed, close iTunes, and detach the tablet and the cable.
*Do not delete the following files and folders absolutely because all measurement history is deleted.
*Refer to the operation method of iTunes of Apple, Inc. for the backup and the restoration of the tablet.
Specification
5.1 Outside dimensions
The external dimensions are described in the figure below. (mm)

5.2 Main specifications
The main specifications of this device are described as follows
Table 5.1 Main specifications
| NTN PORTABLE VIBROSCOPE | |||
| Measurement portion | Interface | Wireless LAN: IEEE802.11b/g, Wi-Fi conforming | |
| Wireless communication mode | Infrastructure mode | ||
| Wi-Fi certification | CE (Europe) / MIC (Japan) | ||
| Installed memory capacity | 4Mbit x 16bank | ||
| Used power supply | 2 chargeable batteries of size AAA | ||
| Operating temperature range | +5 to +50°C (Guaranteed only with attached battery) | ||
| Operating humidity range | 30 to 90% (No dewfall) | ||
| Environment-proof | IP65 | ||
| Power consumption | About 150mA, possible to use for about 6 hours by a full charge | ||
| Battery charging | USB connection (Full charging time: About 7 hours) | ||
| Wireless distance | 10m (No obstacle) | ||
| Data processing portion | Sampling frequency | 25.6kHz / 12.8kHz / 2.56kHz | |
| AD resolution | 16bit | ||
| Number of samples | 32768 (maximum) | ||
| Frequency band | Acceleration (OA, PEAK) | 10-10kHz | |
| Speed (OA, PEAK) | 10-1kHz | ||
| Displacement (OA, PEAK) | 10-150Hz | ||
| Antialiasing filter | 10kHz | ||
| Window function | Hanning | ||
| Acceleration sensor portion | Sensitivity | 2.0 mV/(ni/s2) (standard) | |
| Weight | 145g | ||
| Size | 41x87x36 mm | ||
| Resonance frequency | Piezo-electric sensor: 15kHz or more | ||
| Response frequency range | 10Hz to 10kHz (±3dB) | ||
| Preamp | Differential type charge amplifier: 1mV/1pC | ||
| Maximum measurement acceleration | 500m/s2 | ||
| Maximum permissible acceleration | 500m/s2 (Except dropping impact) | ||
| Maximum output voltage | ±2.5V | ||
5.3 Bearing parameters and bearing vibration frequency
5.3.1 Bearing parameters
The bearing parameters which need to calculate the vibrational frequency of the bearing are rolling element pitch circle dp (mm) of bearing, diameter Dw (mm) of rolling element, number Z (pcs) * of rolling elements, contact angle α (°) of bearing. The positions for the dimension of main bearing parameters are as follows.
*It is the number of rolling elements for each row for the double row bearings.

5.3.2 Calculating formulas of bearing vibration frequency
The calculating formulas of the bearing vibration frequency are shown below. ni is the rotational speed (min-¹) of the inner ring.
Table 5.2 Calculating formulas of bearing vibration frequency
Unit: Hz
| Calculation item | Sign | Calculating formula (inner ring rotation) |
| The rotational speed of the inner ring | ![]() | |
| The rotational speed of the outer ring | ![]() | |
| The rotational speed of the retainer | ![]() | |
| The rotational speed of the retainer in relation to the inner ring | ![]() | |
| The rotational speed of the retainer in relation to the outer ring | ![]() | |
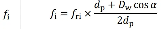
| Passing frequency of rolling element in relation to the inner ring, BPFI (Vibration frequency due to inner ring flaw) | ![]() | |
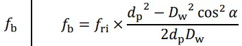
| Passing frequency of rolling element in relation to the outer ring, BPFO (Vibration frequency due to outer ring flaw) | ![]() | |
| Rotation frequency of rolling element, BSF/2 (Vibration frequency due to rolling element flaw) | ![]() | |
*The frequency observed due to a flaw in the rolling element is twice the rotation frequency of the rolling element.
*The bearing vibration frequency for the bearing inner ring rotation can be calculated with the bearing technological calculation tool on our homepage, excluding some bearings.
5.3.3 NTN bearing registered in the application
The bearing parameters which is necessary for the abnormality judgment of the bearing are registered in the application. The bearing parts numbers (as a guide) registered in the application are as follows. When selecting the bearing to be measured, if you do not know the bearing parts number to be registered, please inquire to our company. In addition, if there is a special bearing made by our company that is not registered in the application, please inquire to our company.
Examples of bearing parts numbers that are registered in the application
A) General radial bearings are described in Ball and Roller Bearings catalog and the bore diameter number is from 00 to 40.
B) Angular contact ball bearings (except some) and cylindrical roller bearings (except some) are described in the Precision Rolling Bearings catalog.
C) General rolling bearing unit described in Bearing Units catalog.
D) Old standard bearings made by our company (1212K, 5206, LH-22222B, etc.)
Regulatory compliance information
6.1 USA – Federal Communications Commission (FCC)
FCC ID: 2AVEZHV0002
This device complies with Part 15 of the FCC Rules. Operation is subject to the following two conditions:
- this device may not cause harmful interference, and (2) this device must accept any interference received, including interference that may cause undesired operation.
This equipment has been tested and found to comply with the limits for a Class A digital device, pursuant to part 15 of the FCC Rules. These limits are designed to provide reasonable protection against harmful interference when the equipment is operated in a commercial environment. This equipment generates, uses, and can radiate radio frequency energy and, if not installed and used in accordance with the instruction manual, may cause harmful interference to radio communications. Operation of this equipment in a residential area is likely to cause harmful interference in which case the user will be required to correct the interference at his own expense.
The changes or modifications not expressly approved by NTN Corporation could void the user’s authority to operate the equipment.
6.2 Canada – Innovation, Science and Economic Development Canada (ISED)
IC: 25934-HV0002
Model: DAT-HV0002
CAN ICES-003(A)/NMB-003(A)
This device contains license-exempt transmitter(s)/receiver(s) that comply with Innovation, Science, and Economic Development Canada’s license-exempt RSS(s). Operation is subject to the following two conditions:
- This device may not cause interference.
- This device must accept any interference, including interference that may cause undesired operation of the device.
6.3 Caution for exposure to Radio Frequency (RF) radiation
This device must be installed to provide a separation distance of at least 20 cm from all persons and must not be co-located or operating in conjunction with any other antenna or transmitter.
After-sales service
7.1 NTN PORTABLE VIBROSCOPE product warranty
Warranty and free repair provision consent form
| Model No. | DAT-HV0002 | |
| SSID (Attach a seal) | ||
| Warranty period | 1 year from the date of purchase | |
| Date of purchase | ||
| Customer information | Name | |
| Address | 〒 | |
| Phone number | ||
| Distributor information | Distributor | |
| Address | 〒 | |
| Phone number | ||
NTN Corporation
〒550-0003
1-3-17 Kyomachibori, Nishi Ward, Osaka City, Osaka Prefecture
TEL: 06 (6443) 5001
URL: http://www.ntn.co.jp
Guarantee conditions
Please contact the distributor you purchased this product for after-sales service and breakdown.
NTN repairs this product for free for 1 year from the date of purchase by filling in the necessary information in the “Warranty and free repair provision consent form” and submitting it to us if this product is a breakdown by using in accordance with notes such as instruction manual. If there are some blanks or inaccurate contents in the “Warranty and free repair provision consent form”, it might repair for a fee or might be impossible to guarantee even during the warranty period. Please have a person in charge of sales in the distributor fill in distributor information and stamp the shipping date from the distributor at the time of purchase because the customer needs to certify the date of purchase.
Please send our distributor repair product with sufficient packing and document which describes repair position. In addition, the customer needs to pay the freight charge.
Free repair provision
- NTN repairs this product for free in accordance with this provision if this product is a breakdown during the warranty period by using it normally in accordance with an instruction manual. When you request a free repair, please contact the distributor you purchased this product.
- NTN basically repairs this product for a fee even during the warranty period in the following case.
However, there are cases in which we can not receive repair depending on the situation, we deliver replacement instead of repair.
A) Breakdown and damage generated due to disassembly, remodeling, and by not using in accordance with a note in the instruction manual.
B) Breakdown and damage generated due to relocation, transportation, drop, etc. of this product after purchase.
C) Breakdown and damage generated due to permanent installation in-vehicle, machine, etc.
D) Not submit warranty or there are some blanks, inaccurate contents.
E) Transcription of contents and wording for date of purchase, customer information, distributor information in warranty.
F) Exchange of consumable parts and maintenance.
G) Trouble of this product generated due to trouble except for this product.
H) Appearance defects generated due to aging such as fading of paint, wear with use, etc. - This warranty is valid only in Japan.
- This warranty is not reissued. Please keep it in a safe place.
- This warranty provides assurance of free repair of this product during the warranty period based on the free repair provision. We receive repair for a fee after the warranty period and please contact the distributor you purchased this product. However, it might be impossible to receive requests for repair because it is difficult to obtain repair parts, etc.
*Personal information customer filled in might be used for free repair during the warranty period.
7.2 Inquiries
Please inform the following office about an inquiry and technological consultation concerning the product.
Sales Engineering Representative for technological consultation
| Tokyo | Nagoya | Osaka |
| TEL: 03(6713)3624 FAX: 03(6713)3682 | TEL: 052(222)3347 FAX: 052(222)3341 | TEL: 06(6449)6715 FAX: 06(6448)7296 |
NTN Sales Japan Corporation
| Tokyo Branch | TEL: 03(5780)7903 FAX: 03(5780)7899 | 〒108-0075 2-16-2 Konan, Minato Ward, Tokyo (on the 24th floor of Taiyo Life Insurance Company, Shinagawa Building) |
| Hokkaido Branch | TEL: 011(822)8820 FAX: 011(822)8835 | 〒003-0809 2-2-37 Kikusuikyujo, Shiroishi Ward, Sapporo City, Hokkaido |
| Tohoku Branch | TEL: 022(262)6201 FAX: 022(262)6205 | 〒980-0014 1-12-30 Honcho, Aoba Ward, Sendai City, Miyagi Prefecture (on the 7th floor of Taiyo Life Insurance Company, Sendai Station North Building) |
| Sagamihara Branch | TEL: 042(757)1011 FAX: 042(758)2150 | 〒252-0239 3-14-7 Chuo, Chuo Ward, Sagamihara City, Kanagawa Prefecture (on 2nd floor of Central Building) |
| Numazu Sales Office | TEL: 055(962)7573 FAX: 055(951)6427 | 〒410-0801 3-8-23 Otemachi, Numazu City, Shizuoka Prefecture (on the 3rd floor of the Nissei Star Building) |
| Nakanihon Branch | TEL: 052(222)3328 FAX: 052(222)3341 | 〒460-0003 2-3-4 Nishiki, Naka Ward, Nagoya City, Aichi Prefecture (on the 11th floor of Nagoya Nishiki Front Tower) |
| Hamamatsu Sales Office | TEL: 053(454)2800 FAX: 053(454)2589 | 〒430-0928 110-5 Itayamachi, Naka Ward, Hamamatsu City, Shizuoka Prefecture (on the 7th floor of Hamamatsu Daiichi Seimei Nittsu Building) |
| Osaka Branch | TEL: 06(6449)6706 FAX: 06(6448)7296 | 〒550-0003 1-3-17 Kyomachibori, Nishi Ward, Osaka City, Osaka Prefecture |
| Hokuriku Sales Office | TEL: 053(454)2800 FAX: 053(454)2589 | 〒920-0031 1-1-35 Hirooka, Kanazawa City, Ishikawa Prefecture (in Room 402 of Kanazawa 2nd Building) |
| Mizushima Sales Office | TEL: 06(6449)6706 FAX: 06(6448)7296 | 〒710-0057 2-4-6 Showa, Kurashiki City, Okayama Prefecture (on the 3rd floor of Kurashiki Arc Square) |
| Hiroshima Branch | TEL: 076(263)8673 FAX: 076(263)8628 | 〒732-0824 1-2-19 Matobacho, Minami Ward, Hiroshima City, Hiroshima Prefecture (on the 7th floor of Arbus Hiroshima) |
| Kyushu Branch | TEL: 092-292-3806 FAX: 092-292-3808 | 〒802-0003 1-2-5 Hakataekimae, Hakata Ward, Fukuoka City, Fukuoka Prefecture (on 11th floor of Kamiyohakata Building) |
| Kitakyushu Sales Office | TEL: 093(513)3188 FAX: 093(513)3190 | 〒802-0003 1-1-7 Komemachi, Kokurakita Ward, Kitakyushu City, Fukuoka Prefecture (on 7th floor of Kokuraekimae Okuda Building) |
Corporation
〒550-0003
1-3-17 Kyomachibori, Nishi Ward, Osaka City, Osaka Prefecture
TEL: 06 (6443) 5001 URL: http://www.ntn.co.jp
© NTN Corporation 2019
Prepared: September 30, 2019 (First Edition)












*Refer to the operation method of iTunes of Apple, Inc. for the backup and the restoration of the tablet.























