JET 9510 Double Regulating Valve Instruction Manual

How to use the JET 9510 Double Regulating Valve (Installation, Operating, and Maintenance Instructions)
GENERAL INFORMATION
JET 9510 valves are designed to be installed on heating and cooling systems. They allow a correct balance between the different branches of a hydraulic heating/cooling system to be obtained. These valves can be used to:
- Regulate the flow, by modifying the position of the throttling disk, by rotating the handwheel (there are 40 different positions, as shown by the figures on the handwheel).
- Stop the flow at any time and, when reopened, to recover the same previous setting of the handwheel using the “Memory Stop” function (see VALVE SETTING paragraph).
- JET 9510 valves are intended to be used for non-hazardous liquids only. These include liquids in the Group 2 fluid classification as defined by the Pressure Equipment
- Directive (Dir. 2014/68/EU). This, together with the Pressure/Temperature rating shown overleaf (Table 1), places the JET 9510 valves in the SEP category, for which the CE logo is not required.
PRESSURE AND TEMPERATURE RATINGS
- Table 1 (*) = Only for below zero water temperatures where antifreeze fluids have been added.
- **) = Only for water temperatures over 100°C where anti-boiling fluids have been added.
- The operative conditions shown above are intended for non-shock operating
conditions: water hammer, impacts, stress loads, corrosive or erosive external environmental elements, and fluids with abrasive properties should be avoided.
INSTALLATION
JET 9510 valves ½” and ¾” have threaded female end connections (ISO 228/1). JET 9510 valves from 1” to 2” have threaded female end connections (ISO 7/1 Rp).
It is important that the flow direction matches the direction of the arrow indicated on the body of the valve. In order to obtain the best performance, it is advisable to install the JET 9510 valves as follows:
- Use pipework of the same nominal size as the valve.
- Have a minimum straight pipe length (equal to 5x Pipework Diameter) at the inlet (10x when installed at the outlet of a pump) and a length of 2x Pipework Diameter at the outlet.
- Avoid using any material to connect the pipes that may obstruct part of the flow around the valve. Please ensure there are no burrs present on the pipe ends themselves that protrude inside the bore and obstruct part of the flow (it’s advisable to flush the system before installation or after subsequent maintenance on the system).
- The valves should be installed in such a way so that the pipeline does not subject the valve to any torsion, bending or tension.
VALVE SETTING
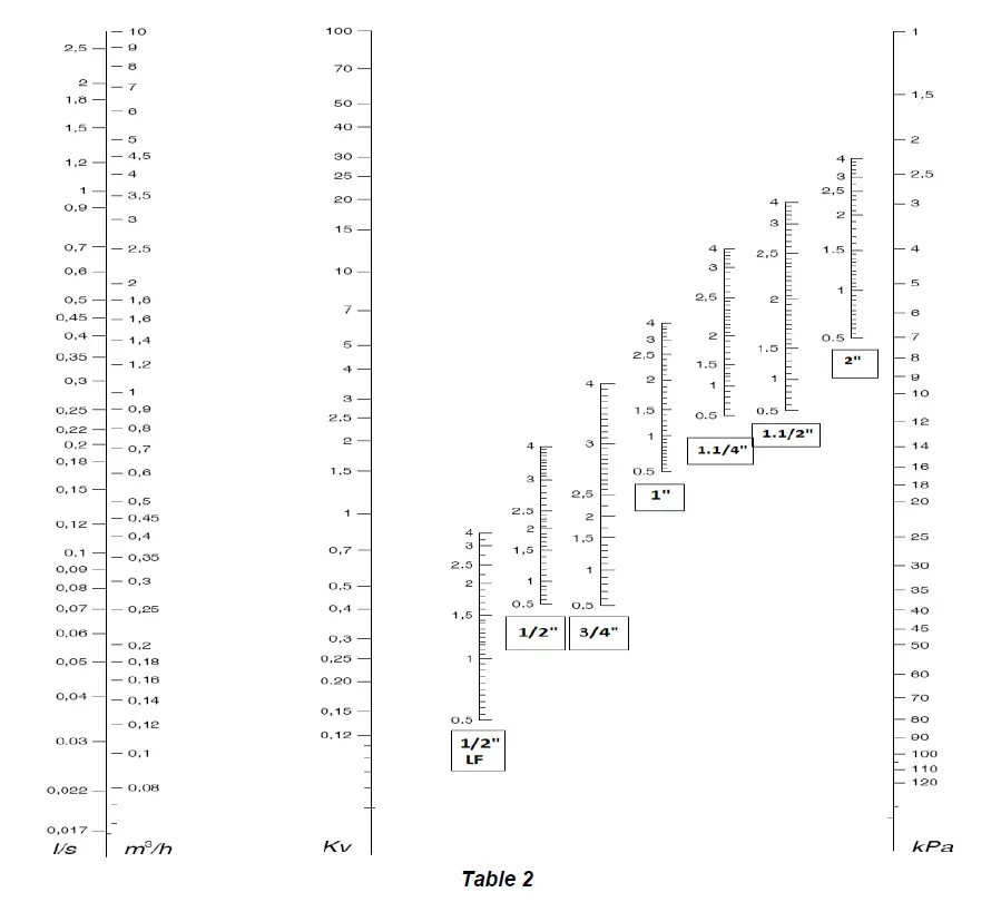
Valve presetting can be done by using the appropriate flow graphs specific to each diameter. 
It is possible to obtain the values of the Kv flow coefficients in relation to each handwheel position. Once the design flow rate and headloss are known, the above table (Table 2) can be used to calculate the Kv and determine the theoretical valve setting. Versions for low flows are identified by a letter marked on the body, next to the nominal diameter indication (L for low flows). The current presetting of the valve can be read on the graded scale of the handwheel with an accuracy of one-tenth of a turn (double zero indicates that the valve is closed).
MAINTAINING THE REQUIRED VALVE SETTING
Once the required setting has been reached, it is possible to set the Memory Stop device as follows: 
- With a small tool gently remove the plastic cap at the center of the handwheel.
- Insert the hexagonal 3mm Allen key (provided) into the central bore and, leaving the handwheel in its desired position, tighten the inner screw clockwise until it stops (do not over-wrench).
- Replace the plastic cap. It is possible to prevent tampering by sealing the cap to the upper part of the handwheel using a specific wire with lead seals threaded through the pre-existing slots.
Now the valve may be closed, thus interrupting the flow, at any time. When re-opened, the Memory Stop is guaranteed to return to the previous setting.
VALVE TAG
JET 9510 valves are supplied with a data tag indicating:
- the Fig. Number of the valve type;
- the nominal size;
On the tag there is sufficient room to write the required setting of the valve. The tag can be fixed to the handwheel with the provided plastic tie. By keeping the tie long, it is possible to leave the tag on the outside of any thermal insulation, thus simplifying the identification of the insulated valve.




















