1400 Evaporative Snow Machine
User Manual

New and Improved Machine

* DMX WILL NOT WORK UNLESS TERMINATOR IS PLUGGED IN*
The Rotary settings are controlled by a flat head screw driver.

WELCOME
Important Information About your T-1400 Snow Machine
THE T-1400 “THE QUIET SNOW MACHINE”
Congratulations on your purchase of this Global Special Effects snow machine. With this snow machine you will dazzle and entertain audiences in large or small venues. Your -1400 snow machine is loaded with advanced features, but at the same time it is very easy to use.
The T-1400 “The Quiet Snow Machine” is a modernized design in a family of special effects snow machines used for years in Movie Productions, Theatres, Malls, and resentations. This futuristic modeled “work-horse” sprays evaporative snow from its 25 ft. hose and creates a realistic snowfall effect without residue or cold air. With its eliable, efficient, and quiet design, the T-1400 is a marvel for stage productions, fancy presentations or unique weddings. The tethered remote and the DMX give the user ontrol over snow flake size and instant activation.
IMPORTANT PRODUCT AND SAFETY INFORMATION
Failure to follow these instructions can cause serious bodily injury or property damage.
CAUTION: YOU MUST READ THE FOLLOWING BEFORE OPERATING THE T-1400 “THE QUIET SNOW MACHINE”
The T-1400 is an Electrical Product – not a Toy. To avoid the risk of fire, burns, personal injury, and electric shock, it should not be played with and should be placed out of he reach of small children. Adult supervision is continuously necessary to avoid the risk of electric shock or personal injury. Never remove the covers or open the enclosures.
The T-1400 “ The Quiet Snow Machine” generates Evaporative Snow™ that normally dissipates completely when dispensed from 20-30 ft in the air in under 2 minutes. Mounting the T-1400 at the specified elevation, relative to the generated flake size, is key to creating a “residue free” floor below the snow machine (See Chart 2). A wet floor or incorrectly mounted snow machine could allow a build-up of snow residue. Since the residue is slippery, it is important to follow all the directions in this manual to avoid this type of problem.
Never operate the T-1400 without evaporative snow™ in the solution bottle. Do not run the T-1400 when the Gallon Solution bottle is holding less than a pint of solution. If you do not follow these directions, the T-1400 can be damaged and warranty voided.
Always mount the T-1400 using the secured “C” Clamp that is attached to the steel yoke, or secure it on a flat stable platform. Wrap a safety chain around the yoke brackets for secondary protection.
Never leave the T-1400 unattended while operating. Do not operate it in the rain or near standing water. Always use an outlet with an earth grounding receptacle and a Ground Fault Circuit Interrupt (GFCI).
Never use this product for any activity other than for what it is intended.
Never add flammable liquids (oil, gas, alcohol, perfume) to the snow solution.
T-1400 Snow Machine Features and Specifications
Features
The quietest Evaporative Snow Machines in the world.
4-channel DMX control
Remote control (rented/sold separately)
Variable stand alone features
Lifetime warranty
24-Hour Technical Service
Repeat Cycle Timer (5 min. and 15 min. cycles)
Specifications
| Voltage: | q 110 60 Hz or 220v q 220v q 100v |
| Current: | 20 Amps |
| Size: | 16” Wide, 48.5” Long and 15” Tall (without the yoke and “C” Clamp) |
| Weight: | 42 lbs |
| Materials: | Predominately: Polyethylene Exterior with steel covers, bracket and yoke. |
| Color: | Black |
| Snow Solution: | 1 oz Solution Mixture per minute (approximate) Usage Rate of 1 to 1.5 hrs per gallon of solution. |
| Solution Contains: | 1 gallon or 4.3 liters |
| Power Cable Length: | 7 ft |
| Tether Length To Remote: | 30 ft |
| Sound: | 68 db @ 9.8 feet |
| Hose Length: | 25 ft. |
Solution Mixture:
Global Special Effects Labs are constantly inventing and reformulating solutions in order to improve the snow from the T-1400 “The Quiet Snow Machine”. Please contact Global Special Effects at (256) 229-5551for more information. In order to prevent operation problems and observe the Warranty guidelines, always use a Global Special Effects approved solution. The FG-100 Snow Solution is available as a Pre-Mix and Concentrate. You will have to pour the ready-to-use solution into the plastic bottle that comes with the T-1400.
FG-100 Evaporative Snow™ Pre-Mix (Recommended)
Global Special Effects Pre-Mix solutions are designed with the highest grade of available water based surfactants. The surfactant-based solution is mixed with de-ionized ater o leave no residue when using the snow machine properly. The use of de-ionized water is necessary to create a bright fluffy snow flake. Global Special Effects aboratories have researched and developed the driest available snow solution on the market today. FG-100 Pre-Mix Gallon Weight: 9.8 Pounds.
Using Evaporative Snow™ Concentrated Solution FG-100C
Global Special Effects Labs have designed a concentrated version of FG-100 in an attempt to save shipping cost to our customers. The ratio mix for this snow solution is 8 oz. of solution per one gallon of water. It is important to remember that the kind of water used will affect the quality of snow. The recommended water to use is de-ionized water. This form of water has no minerals, hard properties or chlorine. De-ionized water is the base ingredient in our formulation, because it makes the best snow and leaves no water stains. It was originally used for the movie industry, so if the snow landed on a camera lens, it would not leave a water ring. Since this formulation has no chemical, it dries and leaves no film. Be aware that if you use tap water, it may have hard agents that can cause poor looking snow. In this case, order FG-100 Pre-Mix. The use of tap water, city water or well water can be used with the following warnings: Certain tap waters contain high mineral content and will produce a minimal amount of snow. These minerals will not produce a bright white flake.
See chart below (Chart 1) for some examples of common water/solution ratios. Please read before mixing this product with water. Make sure you adhere to the mixing proportions.
Warning if you mix water with FG-100 Pre-Mix (non-concentrate), you will not be able to generate snow.
Chart 1

| WATER | FG-100 CONCENTRATE | ||
| Tablespoons or Pints or Fluid Ounces | |||
| ½ gallon | 8 | ¼ | 4 |
| 1gallon | 16 | ½ | 8 |
| 2 gallons | 32 | 1 | 16 |
| 5 gallons | 80 | 2 ½ | 40 |
General Operating Instructions
Operating Instructions:
The T-1400 has some simple instructions that must be carefully followed in order to create the desired evaporative snowfall, ensure the safety of the operators/participants nd to protect theequipment from damage.
PLEASE FOLLOW THESE INSTRUCTIONS CAREFULLY.
- Prepare the area you intend to direct your snowfall. Review “Diagram 1” on page 12 which shows approximate spread of the evaporative snow. Always prepare your snowfall area making sure it is dry and free of obstructions. Note that if the snowfall surface area is linoleum or smooth, and if the T-1400 is mounted too low (See Chart 2), some flakes can create a slippery floor. Always locate the T-1400 in a well-ventilated area. Never block or cover the intake or nozzle discharge of the T-1400 or the internal blower can be damaged.
- Mount the T-1400 on a secure, dry and level platform. Since the larger the flake size the slower it will be to evaporate, Chart 2 recommends Rotary Switch or Remote settings to minimize residue on the ground. For safety reasons, the T-1400 should be unplugged from the electrical outlet while placing it in your desired location. The Nozzle should be pointed in the direction you want it to spray snow. Hang or route the 30 ft. tethered remote as required to the desired operating location without pinching the wire. Do not operate the T-1400 in the rain. The T-1400 is not waterproof. If it gets wet, unplug the snow machine and contact Global Special Effects technical support (256) 229-5551.
Chart 2
Approximate Rotary Switch or Dial Remote Settings Relative to Mounting Height to Minimize Residue.Rotary Switch Setting or Remote Setting 900s Snowflake Size Mounting Height 880-899 5 1/4 – 1/2 inch 30 ft 879-860 4 3/16 – 3/8 inch 25 ft 859-840 3 1/8 – 1/4 inch 20 ft 839-820 2 1/16 – 3/16 inch 15 ft 819-800 1 0 – 3/16 inch 10 ft* * 10 ft is probably too low to prevent some residue on the ground.
- If the snow solution is a concentrate, prepare the snow solution in the empty plastic gallon bottle provided (located in the T-1400 solution bottle well) per the “Solution Mixture” section of this manual (See Chart 1). If the correct water/concentrate mix is not blended properly, the T-1400 may not create the ideal evaporative snowflakes. Place the clear tube in the container with the “Solution Mixture” and push it down so that the open end reaches the bottom of the filled container. The pump in the T-1400 is self-priming.
- In order to start the T-1400, plug the Snow Machine power cord into an outlet with a 3 rd lead grounded conductor (preferably a Ground Fault Circuit Interrupt -GFCI). Next, turn the power
switch “ON” in the back of the T-1400. If you are using the DMX features, read the section on DMX settings to get the proper response. If you are using the remote, set the DMX display on the back of the T-1400 unit to any number between 900-999. Press the “ON” switch on the tethered remote to start the snowfall. Adjust the dial on the remote to set the desired snowflake size (See Chart 2). Rotate the dial clockwise to obtain larger flakes and counterclockwise for smaller flakes. If the flakes are sticking to the ground during an initial run, adjust the dial counterclockwise, after drying off the ground surface (snowflakes accumulate more easily on a wet surface). Press “OFF” to turn off the snow on the tethered remote. Do not operate the T-1400 without the clear tube submerged in the filled solution container.
- If the solution has drained out of the clear tube during a rest period for the T-1400, it may take a minute or two for the pump to self-prime itself from the solution container liquid.
- On the tethered remote, a blinking light signifies that the power is “ON”. A constant light from the LED signifies that the T-1400 is blowing Evaporative Snow. If the light on the remote is completely off, the unit is not powered up and cannot be controlled from the remote.
- To turn the power OFF, push down on the red “O” button on the back of the unit.
DMX Settings T-1400 “The Quiet Snow Machine”
The DMX settings are key to the operation of the T-1400. The three-digit number on the back of the T-1400 panel determines the operation mode for the T-1400.
Warning: here are DMX settings where the T-1400 will appear not to operate, so always review the tables below during setup and operation .

| RANGE | ACTIVITY | |
| 1 | 500 | DMX Address- Outside Interface |
| 501 | 599 | Standby- No Activity |
| 600 | 699 | Short Cycles of ON/OFF Activity |
| 700 | 799 | Long Cycles of ON/OFF Activity |
| 800 | 849 | Zero to Minimal Snow-Blower Operates |
| 850 | 859 | Snow Flurry- Lowest Outputs |
| 860 | 879 | Light Snowfall- Smallest Flakes |
| 880 | 889 | Sub-Blizzard- Larger Snow Flakes |
| 890 | 895 | Ideal Range of Operation at 30 ft height |
| 896 | 899 | Maximum Snow Output- Largest Flakes |
| 900 | 999 | Remote Control Activated (Note: 5 Pin DMX must be disconneted.) See Chart 2 for Remote Controlled Flake Size |
Using the Controller
Snow Machine Controller
The snow machine controller consists of one fan relay, a pump controller and control interface capable of receiving a DMX signal or a proprietary remote control signal. The MX address is set via a three digit rotary switch located on the back of the device. The DMX address is set in a decimal fashion
*SELECTED START ADDRESS
| *SELECTED START ADDRESS | |||
| Cycle Time | Flake Size | ||
| 100 | 100 | 100 | 100 |
| : | : | : | : |
| 0 | 0 | 0 | 0 |
The DMX interface is compliant with DMX-512 standards and electrically isolated to 1000VAC. The starting address can be set from 1 to 509. The DMX protocol requires 4 dimmers defined as Mode, Cycle Time, Duration and Flake Size. The Mode dimmer defines the overall operation of the snow machine – Off, On, and Momentary. The Mode dimmer will correspond to the selected start address, with the Cycle Time, Duration, and Flake Size channels in the following order.
DMX Mode Channel Level
When the mode channel is set to one of the Momentary positions (either 5 or 15 min cycle), the Cycle Time and Duration channels become active. The cycle time channel establishes the time it takes for the entire event. Duration channel is the length of time of snow output. The minimum time of one cycle is 18 seconds with a ten second ON time, a four second SNEEZE, and a four second WAIT. A sneeze is when the blower remains on without the pump and dries the sock, preventing postnasal drip.
| 100: 75 | Always On |
| 74 : 51 | 15 Min Cycle |
| 50 : 25 | 5 Min Cycle |
| 24 : 0 | Off |
The following tables show all the settings that can be attained with the use of the three digit rotary switch located on the back of the device. An ‘X’ indicates that the number n that position does not matter for the required result to be attained. Switch A is in the hundreds position, Switch B is in the tens position, and Switch C is in the ones position.
Table 1- Mode Settings
Table 1 shows that there are six modes in which the device may operate: Idle, DMX, 5 minute cycle, 15 minute cycle, always on, and remote.
| A | B | C | Mode |
| 0 | 0 | 0 | Idle |
| 0 | 0 | 1 | |
| : | : | : | DMX |
| 5 | 0 | 9 | |
| 5 | 1 | 0 | |
| : | : | : | Idle |
| 5 | 9 | 9 | |
| 6 | X | X | 5 Min Cycle |
| 7 | X | X | 15 Min Cycle |
| 8 | X | X | Always On |
| 9 | X | X | Remote |
Snow Machine Controller
Table 2 – 5 Minute Cycle
Table 2 displays the settings for the 5 minute cycle. Within this mode, the device cycles are dependent on the B switch setting. The cycle time is the total time of the event, and the “on time” is the length of time of snow output, similar to the duration in the “DMX mode”Otherwise, the machine is in a WAIT state
| A | B | C | ON Time | WAIT Time |
| 6 | 0 | X | 15 Seconds | 4 Minutes 45 Seconds |
| 6 | 1 | X | 30 Seconds | 4 Minutes 30 Seconds |
| 6 | 2 | X | 1 Minute | 4 Minutes |
| 6 | 3 | X | 1 Minute 30 Seconds | 3 Minutes 30 Seconds |
| 6 | 4 | X | 2 Minutes | 3 Minutes |
| 6 | 5 | X | 2 Minute 30 Seconds | 2 Minutes 30 Seconds |
| 6 | 6 | X | 3 Minutes | 2 Minutes |
| 6 | 7 | X | 3 Minute 30 Seconds | 1 Minute 30 Seconds |
| 6 | 8 | X | 4 Minutes | 1 Minute |
| 6 | 9 | X | 4 Minute 30 Seconds | 30 Seconds |
Table 3 – 15 Minute Cycle
Table 3 displays the settings for the 15 minute cycle. Within this mode, the device cycles are dependent on the B switch setting. The cycle time is the total time of the event, nd the “on time” is the length of time of snow output, similar to the duration in the “DMX mode”. Otherwise, the machine is in a WAIT state
| A | B | C | ON Time | WAIT Time |
| 7 | 0 | X | 45 Seconds | 14 Minutes 15 Seconds |
| 7 | 1 | X | 1 Minute 30 Seconds | 13 Minutes 30 Seconds |
| 7 | 2 | X | 3 Minutes | 12 Minutes |
| 7 | 3 | X | 4 Minutes 30 Seconds | 10 Minutes 30 Seconds |
| 7 | 4 | X | 6 Minutes | 9 Minutes |
| 7 | 5 | X | 7 Minute 30 Seconds | 7 Minutes 30 Seconds |
| 7 | 6 | X | 9 Minutes | 6 Minutes |
| 7 | 7 | X | 10 Minute 30 Seconds | 4 Minute 30 Seconds |
| 7 | 8 | X | 12 Minutes | 3 Minutes |
| 7 | 9 | X | 13 Minute 30 Seconds | 1 Minute 30 Seconds |
Table 4 – Flake Size Settings
Table 4 shows the use of switch C during 5 minute or 15 minute cycle modes (Switch A is 6 or 7). Switch C controls the flake size.
| A | B | C | Flake Size |
| 6/7 | X | 0 | 1 |
| 6/7 | X | 1 | 2 |
| 6/7 | X | 2 | 3 |
| 6/7 | X | 3 | 4 |
| 6/7 | X | 4 | 5 |
| 6/7 | X | 5 | 6 |
| 6/7 | X | 6 | 7 |
| 6/7 | X | 7 | 8 |
| 6/7 | X | 8 | 9 |
| 6/7 | X | 9 | 10 |
Using the Controller and the Remote
Snow Machine Controller
Table 5 shows the use of switches B and C when switch A is set to 8 (Always On state). Switches B and C work similarly to Switch C when in the 5 minute and 15 minute ycle modes. It controls the flake size. The user then has 100 choices of flake size.
Table 5 -Always on Flake Size Setting.
The DMX interface is also provided as a pass through connection. The remote interface utilizes standard pins 4 and 5 of the 5 pin XLR connector to supply power to the remote control. Pins 4 and 5 are pass through when used in a DMX configuration. Pins 4 and 5 have power applied to them only when the DMX selector is set to the 900s and this power is used to power the remote.
| A | B | C | Flake Size |
| 8 | 0 | 0 | 1% |
| 8 | : | : | : |
| 8 | 9 | 9 | 100% |
Note: The user should avoid configuring the ‘A’ selector to the 9 position while a DMX connection is being used.
There is a provision on the controller board for an additional fan control relay rated at 10 amps. This relay has a completely separate power interface.
Remote Control NOT INCLUDED, SOLD SEPARATELY

The remote control provides a tethered remote control connection to the snow machine. The 3 rotary switches must be at 900 or greater for remote function to be enabled. The remote has control over the on/off and flake size functions. The flake size knob provides variable settings from small (0) to large (5) flakes. There is also a status LED to inform the user that the unit is on and powered.
When the unit is powered and the power switch on the remote is set to the off position, the red LED on the remote will slowly pulse to inform the user that the unit is in standby. When the user changes the switch to on, the LED will go to a solid red.
While in “remote mode”, Rotary Switch controls the Take size. The “remote mode” also allows for the use of a quick on/off switch located on the remote control.
Maintenance Information and Precautions
General Maintenance
The T-1400 is a low maintenance unit.
Cleaning and Storing the T-1400 “The Quiet Snow Machine” In order to clean the T-1400, fill another plastic container half full with water and run the unit for 3-5 minutes with the nozzle tilted downward into another container (if possible). You may clean the plastic exterior of the T-1400 with detergent and water. Do not stack other boxes or items on top of the T-1400. Store the T-1400 in a cool, dry environment between 40-80 degrees F. If electrical wires are frayed, contact the factory at (256) 229-5551 for service. Never operate the T-1400 with a frayed electrical wire.
Caution: Never remove the cover or housing screws on the Snow Machine. This action will nullify the warranty. Unless you have been trained by a certified technician. ontact customer service at (256) 229-5551.
General Repair: The T-1400 Snow Machine has a lifetime warranty as long as Global Special Effects snow fluid is used, and should never require you to dissemble the unit. lease contact Global Special Effects service at (256) 229-5551 if you have questions on its operation or warranty.
Types of Trouble and Their Solutions
Symptoms and Cause and/or Corrective Actions.
- If the T-1400 does not generate snow, review the following checklist:
a) When turned “ON”, is the Fan Operating? (Air is shooting out the nozzle of the T-1400) Yes: Move on to
(b) No: Check the electric plug interface at the outlet connection, and make sure the remote connector is connected to the main unit. Check to see if the power switch is “ON” on the main unit. A red LED light should be illuminated on the back of the T-1400 when power is “ON”. Make sure that the DMX settings meet your desired criteria (see the DMX section of this manual-the unit should always be operating with settings between 880-899). Also, the LED light on the remote should be illuminated (blinking) if the main power is “ON” and the DMX setting is in the 900s. A constant light will illuminate on the remote if snow is being generated. If the lights are not illuminated, call customer service at (256) 229-5551. b) Is the Pump Operating? Yes: If you feel the clear plastic tube vibrating, then the pump is operating. Go to (c) No: Recheck the DMX settings per the DMX settings in the manual. The unit should always operate and blow snow with settings between 880 and 899. Contact customer service at (256) 229-5551.
c) Check to see if the tube is fully submerged in solution and is not pinched. A hole in the hose would require replacement. It sometimes takes up to 2 minutes for the self-priming pump to saturate the nozzle sock with liquid.
d) Set the Rotary Switch between 880 and 899 to prove that the unit operates.
e) Create a new “Solution Mixture”, per the instructions, if the nozzle sock is saturated with liquid but no snow is being made. - Is the Snow generated very wet or light in volume? Always allow two minutes or so for the T-1400 to come to full operation after an extended storage or for the first time operating.
f) Remake another batch of your recipe solution, and check your water to solution ratio carefully.
g) Make sure the clear tube is completely submerged in the solution.
h) Contact customer service at (256) 229-5551. - Technical Service or Purchasing Global Special Effects Liquid Solutions: Use customer service at (256) 229-5551.
What is Evaporative Snow™
Incorporating Evaporative Snow™In Your Production Design
Global Special Effects is a pioneer of the “Evaporative Snow” process. In order to help you incorporate “Evaporative Snow” in your production design, we are providing you he following explanations as to exactly what it is and how a snow machine works.
The “snow flake” starts as a clear fluid in a reservoir or bottle usually found at the back of the machine. A small plastic feed tube takes the fluid from the reservoir to a small nylon sock at the front of the machine by means of a pump. The sock is mounted to the front end of a high output blower. The sock material is a very fine mesh weave and acts like hundreds of very tiny bubble wands, producing clusters of bubbles appearing as “flakes”. The “flake” size varies according to the speed of the pump, and the amount of fluid reaching the sock. More fluid results in more and larger clusters of bubbles or “flakes”.
The “flake” size is the key to making any evaporative snow truly evaporative and residue free. Ideally you want to set the flake size so that the snow evaporates just as the snow hits the ground. Imagine for a moment blowing a traditional soap and water bubble with a bubble wand. The air pressure in the bubble is greater than the surrounding air pressure, and keeps the bubble inflated, much like a latex balloon. As air currents keep it aloft, it will remain intact until enough water evaporates from it’s surface, the thinned film can no longer maintain surface cohesion and the bubble’s internal air pressure causes it to burst. Evaporative snow fluid contains an advanced evaporative solution to make the “flakes” disintegrate more rapidly. The combination of air pressure and solution mixture produces a very esthetically pleasing, moderate snow fall. While you can certainly create a blizzard effect with these machines, additional safety precautions must be considered, as the snow will build up on the floor or stage, resulting in a slippery surface.
Air flow and evaporative snow in your production design. First, all snow machines produce a “cone” of snow which is smallest near the machine and disperses as you get farther away creating a “curtain effect” (see the Overhead View diagram next page). You can increase the overall effected area through the use of judiciously placed fans, both near the machine and on the ground. Fans near the machine (some larger machines have these incorporated into their design) will help disperse the snow into a larger area. Fans on the ground will also help with dispersion, as well as provide beautiful updrafts and swirls. Often these machines are used in ballrooms for holiday parties and occasionally in arenas. The key to coverage in a larger venue (or when you want to make it snow on the audience at a theatre) is not determined as much by the number of machines as it is by the air handler’s circulation in the room itself. Air handlers in arenas and many modern ballroom facilities are designed to re-circulate thousands of cubic feet of air per minute. Experiment with air handler’s currents to circulate snow around the venue. Staggering the placement and alternating the direction of the snow machines so that the edges of the air streams from the machines interact in opposing directions is another technique for creating a swirling effect.
Back lighting and to some extent side lighting is vital to the audience’s visual experience. If lit from the front only, the effect’s visibility will be poor at best. Lighting can be especially challenging in a ballroom or other “total environment” setting or venue, when your audience will be viewing the snow from multiple angles and positions. Ideally you want your lighting to come from above, yet below the snow machines. Obscuring the snow machines in the dark above the light sources allows the snow to capture light, adding a sense of wonder to your event.
Noise reduction is another factor to be considered in your production design. To a large extent it can be covered with music. Global Special Effects engineers have developed the quietest snow machines using better sound insulation, and quieter blowers such as the T-1400 and T-1600 Snow Machines.
What is Evaporative Snow™
Distance of Throw and Coverage of Snowfall for The T-1400

T-1400 Diagram 1
Below Diagram is of the distance of throw of the T-1400 Snow Machine. (The T-1400 distance of throw Chart is measured in a room, set level with the ground and no bstruction of airflow or conflicting air streams).
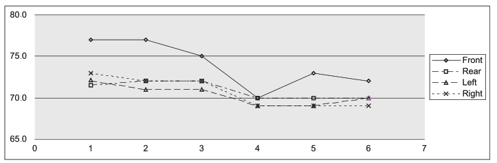
Sound Test Results
T-1400 SOUNDTEST

| Test | Front (A) | REAR (A) | LEFT (A) | RIGHT (A) | NOTES |
| 1 | 77.0 | 71.5 | 72.0 | 73.0 | series 1 |
| 2 | 77.0 | 72.0 | 71.0 | 72.0 | |
| 3 | 75.0 | 72.0 | 71.0 | 72.0 | |
| 4 | 70.0 | 70.0 | 69.0 | 69.0 | series 2 |
| 5 | 73.0 | 70.0 | 69.0 | 69.0 | |
| 6 | 72.0 | 70.0 | 70.0 | 69.0 | foam w/s |
| (C) | (C) | (C) | (C) | ||
| 1 | 79.0 | 74.0 | 74.0 | 75.0 | |
| 2 | 78.0 | 75.0 | 73.0 | 75.0 | |
| 3 | 79.0 | 75.0 | 74.0 | 74.0 | |
| 4 | 76.0 | 75.0 | 73.0 | 75.0 | |
| 5 | 76.0 | 75.0 | 74.0 | 75.0 | |
| 6 | 78.0 | 75.0 | 75.0 | 74.0 |
| Ambient | 48 | Mod | Serial # |
| SL Meter | B&K | 2203 | 555607 |
| Microphone (1in) | B&K | 4145 | 563982 |
| Calibrator | B&K | 4220 | 536211 |
All measurements @ 1 meter series 2 system recalibrated Higher front measurements may be attributed to wind turbulance from discharge.
All measurements with unit making snow, setting “4” Note Test performed @ 3 meters all numbers are below 68db.
Limited Lifetime Warranty
Global Special Effects provides a limited lifetime warranty for the T-1400 “The Quiet Snow Machine” from any manufacturing defects. Any misuse, abuse, or negligence automatically voids our warranty. Running any other liquids/materials other than Global Special Effects solution will automatically void the warranty. Global Special Effects is not responsible for loss of income, labor, or business as a result of a T-1400 malfunction. Global Special Effects is not responsible for physical damage, scratching, or tube damage after shipping from Global Special Effects Manufacturing Facility. For safety reasons, Global Special Effects will repair damaged electrical wires per the warranty. There is a limited lifetime warranty on the circuit board and other electronics to the fan or pump. Direct all questions and claims to Global Special Effects Customer Support at (256) 229-5551. Any warranty claim excludes all shipping & handling charges.
AUSTRALIA
NASHVILLE
LOS ANGELES
Sales: (256) 229-5551
Fax: (256) 229-5552
24 Hour Tech Support
(256) 229-5551
NEW SNOW BOARD
SETTINGS FOR STAND ALONE 891 TO 899
801 TO 899 THE SNOWSTORM WILL USE 1 GALLON OF FLUID IN 16 MINS
881 TO 889 – 24 MIN PER GALLON.
871 TO 879 – 27 MIN PER GALLON.
861 TO 869 – 30 MIN PER GALLON.
851 TO 859 – 36 MIN PER GALLON.
841 TO 849 – 48 MIN PER GALLON.
831 TO 839 – 57 MIN PER GALLON.
821 TO 829 – 1.5 HOURS GALLON.
811 TO 819 – 1 HOUR AND 48 MINS PER GALLON.
801 TO 809 – 3 HOURS 17 MINS PER GALLON.
Snow Machine Switch Settings
| 001-500 | Address for machine while under DMX Control (all other functions disabled) (See bel+R16+R12:R14+R12:R15 |
| 600’s Mode | Repeat Cycle Timer Stand-Alone Mode(five minute Timer) First digit set to “6” The second digit controls the percentage of time n in five minutes (10%-90%) The third digit controls the flake size (0-9) |
| 700’s Mode | Repeat Cycle Timer Stand-Alone Mode(fifteen-minute timer) First digit set to “7” The Second Digit controls the percentage of ime on in fifteen minutes (10%-90%) The Third Digit controls the flake size (0-9) |
| 800’s Mode | Stand-Alone Operation Continuous (ON) First digit set to “8” 800-899 controls the flake size and amount of snow |
| 900’s Mode | Hard Wired for Remote Controller First Digit set to “9” All other switches disabled |
Control Format for all DMX Snow Machines
Addressing
DMX starting address is manually programmed via thumb dial switches. Valid starting addresses are 001-512. The Snow Machines utilize four channels.
The first channel has four settings: 0-63 Snow Machine is “off”
64-127 Allows for a 0 to 5 minute cycle time based on the settings of the 2nd channel (This setting turns on the short internal timer circuit).
128-191 Allows for a 0 to 15 minute cycle time based on the settings of the 2nd channel (This setting turn on the long internal timer circuit).
192-255 Snow Machine is set to “on”
The second channel: **
When Channel 1 is set from 64-127 then the second channel sets the overall duration of cycle time anywhere from zero (0) to five minutes (255).
When Channel 1 is set from 128-191 then the second channel sets the overall duration of cycle time anywhere from zero minutes (0) to 15 minutes (255).
The third channel: **
Sets the % of “on time” during the duration set by the second channel. This value is a range from 0(0) to 100%(255).
The fourth channel:
Sets the amount of snow output from minimum output (1) to 100%(255). This channel is effective anytime the machine is “on”.
**During all timer-controlled modes, internal limits enforce a minimum on time of at least 10seconds and a minimum off time of at least four seconds.
Document SM-DMX2.100
Copyright © 2021 Global Special Effects
www.GlobalSpecialEffects.com



















