ADJ HYD710 Hydro Wash X7 Moving Head Wash Instruction Manual

©2021 ADJ Products, LLC all rights reserved. Information, specifications, diagrams, images, and instructions herein are subject to change without notice. ADJ Products, LLC logo and identifying product names and numbers herein are trademarks of ADJ Products, LLC. Copyright protection claimed includes all forms and matters of copyrightable materials and information now allowed by statutory or judicial law or hereinafter granted. Product names used in this document may be trademarks or registered trademarks of their respective companies and are hereby acknowledged. All non-ADJ Products, LLC brands and product names are trademarks or registered trademarks of their respective companies.
ADJ Products, LLC and all affiliated companies hereby disclaim any and all liabilities for property, equipment, building, and electrical damages, injuries to any persons, and direct or indirect economic loss associated with the use or reliance of any information contained within this document, and/or as a result of the improper, unsafe, insufficient and negligent assembly, installation, rigging, and operation of this product.
ADJ PRODUCTS LLC World Headquarters 6122 S. Eastern Ave. | Los Angeles, CA 90040 USA Tel: 800-322-6337 | Fax: 323-582-2941 | www.adj.com |[email protected]
ADJ Supply Europe B.V.
Junostraat 2 | 6468 EW Kerkrade | Netherlands Tel: +31 45 546 85 00 | Fax: +31 45 546 85 99 | www.americandj.eu | [email protected]
Europe Energy Saving Notice
Energy Saving Matters (EuP 2009/125/EC) Saving electric energy is a key to help protecting the environment. Please turn off all electrical products when they are not in use. To avoid power consumption in idle mode, disconnect all electrical equipment from power when not in use. Thank you!
DOCUMENT VERSION
Due to additional product features and/or enhancements, an updated version of this document may be available online. Please check www.adj.com for the latest revision/update of this manual before beginning installation and/or programming.

GENERAL INFORMATION
INTRODUCTION
Please read and understand all instructions in this manual carefully and thoroughly before attempting to operate these products. These instructions contain important safety and use information.
UNPACKING
The products in this kit have been thoroughly tested and have been shipped in perfect operating condition. Carefully check the shipping carton for damage that may have occurred during shipping. If the carton appears to be damaged, carefully inspect each unit included for damage and be sure all accessories necessary to operate the units have arrived intact. In the event damage has been found or parts are missing, please contact our customer support team for further instructions. Please do not return this kit to your dealer without first contacting customer support at the number listed below. Please do not discard the shipping carton in the trash. Please recycle whenever possible.
WARRANTY RETURNS
All returned service items whether under warranty or not, must be freight pre-paid and accompany a return authorization (R.A.) number. The R.A. number must be clearly written on the outside of the return package. A brief description of the problem as well as the R.A. number must also be written down on a piece of paper and included in the shipping container. If the unit is under warranty, you must provide a copy of your proof of purchase invoice. Items returned without a R.A. number clearly marked on the outside of the package will be refused and returned at customer’s expense. You may obtain a R.A. number by contacting customer support.
LIMITED WARRANTY (USA ONLY)
- A. ADJ Products, LLC hereby warrants, to the original purchaser, ADJ Products, LLC products to be free of manufacturing defects in material and workmanship for a prescribed period from the date of purchase (see specific warranty period on reverse). This warranty shall be valid only if the product is purchased within the United States of America, including possessions and territories. It is the owner’s responsibility to establish the date and place of purchase by acceptable evidence, at the time service is sought.
- B. For warranty service, you must obtain a Return Authorization number (RA#) before sending back the product-please contact ADJ Products, LLC Service Department at 800-322-6337. Send the product only to the ADJ Products, LLC factory. All shipping charges must be pre-paid. If the requested repairs or service (including parts replacement) are within the terms of this warranty, ADJ Products, LLC will pay return shipping charges only to a designated point within the United States. If the entire instrument is sent, it must be shipped in its original package. No accessories should be shipped with the product. If any accessories are shipped with the product, ADJ Products, LLC shall have no liability whatsoever for loss of or damage to any such accessories, or for the safe return thereof.
- C. This warranty is void of the serial number has been altered or removed; if the product is modified in any manner which ADJ Products, LLC concludes, after inspection, affects the reliability of the product, if the product has been repaired or service by anyone other than ADJ Products, LLC factory unless prior written authorization was issued to purchaser by ADJ Products, LLC; if the product is damaged because not properly maintained as set forth in the instruction manual.
- D. This is not a service contact, and this warranty does not include maintenance, cleaning or periodic check up. During the period specified above, ADJ Products, LLC will replace defective parts at its expense with new or refurbished parts, and will absorb all expenses for warrant service and repair labor by reason of defects in material or workmanship. The sole responsibility of ADJ Products, LLC under this warranty shall be limited to the repair of the product, or replacement thereof, including parts, at the sole discretion of ADJ Products, LLC. All products covered by this warranty were manufactured after August 15, 2012, and bear identifying marks to that effect.
- E. ADJ Products, LLC reserves the right to make changes in design and/or improvements upon its products without any obligation to include these changes in any products theretofore manufactured.
- F. No warranty, whether expressed or implied, is given or made with respect to any accessory supplied with products described above. Except to the extent prohibited by applicable law, all implied warranties made by ADJ Products, LLC in connection with this product, including warranties of merchantability or fitness, are limited in duration to the warranty period set forth above. And no warranties, whether expressed or implied, including warranties of merchantability or fitness, shall apply to this product after said period has expired. The consumer’s and/or Dealer’s sole remedy shall be such repair or replacement as is expressly provided above; and under no circumstances shall ADJ Products, LLC be liable for any loss or damage, direct or consequential, arising out of the use of, or inability to use, this product.
- G. This warranty is the only written warranty applicable to ADJ Products, LLC Products and supersedes all prior warranties and written descriptions of warranty terms and conditions heretofore published.
LIMITED WARRANTY PERIODS
- Non L.E.D. Lighting Products = 1-year (365 days) Limited Warranty (Such as: Special Effect Lighting, Intelligent Lighting, UV lighting, Strobes, Fog Machines, Bubble Machines, Mirror Balls, Par Cans, Trussing, Lighting Stands etc. excluding LED and lamps)
- Laser Products = 1 Year (365 Days) Limited Warranty (excludes laser diodes which have 6 month limited warranty)
- L.E.D. Products = 2-year (730 days) Limited Warranty (excluding batteries which have a 180 day limited warranty) Note: 2 Year Warranty only applies to purchases within the United States.
- Star Tec Series = 1 Year Limited Warranty (excluding batteries which have a 180 day limited warranty)
- ADJ DMX Controllers = 2 Year (730 Days) Limited Warranty
IP65 NOTICE
IP65 RATED
An IP rated lighting fixture is one, which is commonly installed in outdoor environments and has been designed with an enclosure that effectively protects the ingress (entry) of external foreign objects such as dust and water. The International Protection (IP) rating system is commonly expressed as “IP” (Ingress Protection) followed by two numbers (i.e. IP65) where the numbers define the degree of protection. The first digit (Foreign Bodies Protection) indicates the extent of protection against particles entering the fixture and the second digit (Water Protection) indicates the extent of protection against water entering the fixture. An IP65 rated lighting fixture is one, which has been designed and tested to protect against the ingress of dust (6) and low-pressure water jets from any direction (5).
MARINE/COASTAL ENVIRONMENT INSTALLATIONS
NOT suitable for marine and/or coastal environment installations. Installing this fixture in a marine and/or coastal environment may cause corrosion and/ or excessive wear to the interior and/or exterior components of the fixture. Damages and/or performance issues resulting from installation in a marine and/or coastal environment will void the manufactures warranty and will NOT be subject to any warranty claims and/or repairs.
SAFETY GUIDELINES
To guarantee a smooth operation, it is important to follow all instructions and guidelines in this manual. ADJ PRODUCTS LLC is not responsible for injury and/or damages resulting from the misuse of these devices due to the disregard of the information printed in this manual. Only qualified and/or certified personnel should perform installation of these devices and only the original rigging parts included with these devices should be used for installation. Any modifications to these devices and/or the included mounting hardware will void the original manufactures warranty and increase the risk of damage and/ or personal injury.

DO NOT position devices close to any FLAMMABLE MATERIALS while operating.
DO NOT attempt installation and/or operation of devices without knowledge how to do so.
DO NOT permit operation by persons who are not qualified to operate these types of devices.
DO NOT shake devices, avoid brute force when installing and/or operating.
DO NOT operate these devices if the main power cord has become frayed, crimped and/or damaged. Replace any damaged power cords with a similar power rating.
DO NOT remove or break-off the ground plug from the device power cords.
DO NOT remove disassemble devices, there are NO user serviceable parts inside.
ALWAYS disconnect devices from main power source before performing any cleaning.
ALWAYS disconnect light from main power before replacing lamp.
ALWAYS be sure to install these devices in an area that will allow proper ventilation.
NEVER remove the ground prong from the power cable.
Power cords should be safely routed and secured so they are not likely pinched.
Disconnect power cords during long periods of non-use.
Only use recommended rigging hardware as described in this guide.
Use the original packaging and materials to transport these devices in for service.
These devices should be serviced by qualified service personnel when:
- The power cords or plugs have become damaged.
- Objects have fallen on and/or liquid has spilled into the devices.
- The devices have been exposed to rain and/or moisture.
- The devices do not operate normally or exhibit a marked change in performance.
POTENTIAL INTERNAL FIXTURE DAMAGE FROM EXTERNAL SOURCES OF LIGHT BEAMS External sources of light beams from direct sunlight, lighting moving head fixtures, and lasers, which are focused directly towards the exterior housing and/or penetrate the front lens opening of ADJ lighting fixtures, can cause severe internal damage including burning to optics, dichroic color filters, glass and metal gobos, prisms, animation wheels, frost filters, iris, shutters, motors, belts, wiring, discharge lamps, and LEDs.
This issue is not specific only to ADJ lighting fixtures, it is a common issue with lighting fixtures from all manufacturers. Although there is no true way to fully prevent this issue from happening, the guidelines below can prevent any potential damage from occurring if followed. Contact ADJ Service for more details.
DO NOT EXPOSE THE FIXTURE AND/OR FRONT LENS OPENING TO LIGHT BEAMS FROM DIRECT SUNLIGHT, OTHER LIGHTING MOVING HEAD FIXTURES, AND LASERS WHILE UNPACKING, INSTALLATION, USE, AND EXTENDED IDLE TIMES OUTDOORS. DO NOT FOCUS A LIGHT BEAM FROM ONE LIGHTING FIXTURE DIRECTLY TOWARDS ANOTHER.

MAINTENANCE GUIDELINES
DISCONNECT POWER BEFORE PERFORMING ANY MAINTENANCE!
CLEANING Frequent cleaning is recommended to insure proper function, optimized light output, and an extended life. The frequency of cleaning depends on the environment in which the fixture operates: damp, smoky or particularly dirty environments can cause greater accumulation of dirt on the fixture’s optics. Clean the external lens surface at least every 20 days with a soft cloth to avoid dirt/debris accumulation. NEVER use alcohol, solvents, or ammonia-based cleaners.
MAINTENANCE
Regular inspections are recommended to insure proper function and extended life. There are no user serviceable parts inside this fixture, please refer all other service issues to an authorized Elation service technician. Should you need any spare parts, please order genuine parts from your local Elation dealer.
Please refer to the following points during routine inspections: A detailed electric check by an approved electrical engineer every three months, to make sure the circuit contacts are in good condition and prevent overheating. Be sure all screws and fasteners are always securely tightened. Lose screws may fall out during normal operation resulting in damage or injury as larger parts could fall. Check for any deformations on the housing, color lenses, rigging hardware and rigging points (ceiling, suspension, trussing). Deformations in the housing could allow for dust to enter the fixture. Damaged rigging points or unsecured rigging could cause the fixture to fall and seriously injure a person(s). Electric power supply cables must not show any damage, material fatigue or sediments. NEVER remove the ground prong from the power cable.
OVERVIEW

OMEGA BRACKETS INSTALLATION
Insert the Omega Brackets into the matching holes on the bottom of the fixture. Secure the Omega Brackets to the fixture by turning each quick-lock fastener ¼ turn clockwise; making sure the fastener is completely locked.
TORQUE SETTINGS & IP TESTER
TORQUE SETTINGS FOR SCREWS
ALL SCREWS MUST BE TIGHTENED WITH A TORQUE DRIVER. All screws are Allen Head screws. Please see below for screw locations, screw quantity and torque settings. The number listed in the “#” column corresponds to the location on the fixture. See the fixture diagram and numbers on the next page for SCREW LOCATIONS.

TORQUE SCREW LOCATIONS

FIXTURE INSTALLATION

Screw one clamp via a M12 screw and nut into the Omega Bracket. Insert the quick-lock fasteners of the Omega Bracket into the respective holes of the fixture base plate. NOTE: The clamp must be attached to the Omega Bracket before attaching the bracket to the fixture. Tighten the quick-lock fasteners fully clockwise. Pull the safety-cable through the opening located on the bottom of the unit and over the trussing system or a safe fixation spot. Insert the end in the carabiner, and tighten the safety screw.
When installing the unit, the trussing or area of installation must be able to hold 10 times the weight without any deformation. When installing the unit must be secured with a secondary safety attachment, e.g. and appropriate safety cable. Never stand directly below the unit when mounting, removing, or servicing the unit.
Overhead mounting requires extensive experience, including calculating working load limits, installation material being used, and periodic safety inspection of all installation material and unit. If you lack these qualifications, do not attempt the installation yourself. These installations should be checked by a skilled person once a year.

CONNECTIONS
ENSURE ALL CONNECTIONS AND END CAPS ARE PROPERLY SEALED WITH A DIELECTRIC GREASE (AVAILABLE AT MOST ELECTRICAL SUPPLIERS) TO PREVENT WATER CORROSION AND/OR ELECTRICAL SHORT CIRCUIT.
TO MAINTAIN IP65 RATING INTEGRITY AND PREVENT WATER FROM ENTERING THE FIXTURE, ALL UNUSED CONNECTION RUBBER CAPS MUST BE SEALED

DMX SETUP
DMX-512:
DMX is short for Digital Multiplex. This is a universal protocol used as a form of communication between intelligent fixtures and controllers. A DMX controller sends DMX data instructions from the controller to the fixture. DMX data is sent as serial data that travels from fixture to fixture via the DATA “IN” and DATA “OUT” XLR terminals located on all DMX fixtures (most controllers only have a DATA “OUT” terminal).
DMX Linking:
DMX is a language allowing all makes and models of different manufactures to be linked together and operate from a single controller, as long as all fixtures and the controller are DMX compliant. To ensure proper DMX data transmission, when using several DMX fixtures try to use the shortest cable path possible. The order in which fixtures are connected in a DMX line does not influence the DMX addressing. For example; a fixture assigned a DMX address of 1 may be placed anywhere in a DMX line, at the beginning, at the end, or anywhere in the middle. When a fixture is assigned a DMX address of 1, the DMX controller knows to send DATA assigned to address 1 to that unit, no matter where it is located in the DMX chain.
DATA CABLE (DMX CABLE) REQUIREMENTS (FOR DMX AND PRIMARY/SECONDARY OPERATION):
The Hydro Wash X7 can be controlled via DMX-512 protocol. Your unit and your DMX controller requires a 5-pin XLR connector for data input and data output. We recommend Açu-Cable DMX cables. If you are making your own cables, be sure to use standard 110-120 Ohm shielded cable (This cable may be purchased at almost all pro lighting stores). Your cables should be made with a male and female XLR connector on either end of the cable. Also remember that DMX cable must be daisy chained and cannot be split.
TO MAINTAIN IP65 RATING INTEGRITY AND PREVENT WATER FROM ENTERING THE FIXTURE, ALL UNUSED CONNECTION RUBBER CAPS MUST BE SEALED AND ONLY IP65 RATED POWER AND DATE CABLES MUST BE USED.
Notice: Be sure to follow figures two and three when making your own cables. Do not use the ground lug on the XLR connector. Do not connect the cable’s shield conductor to the ground lug or allow the shield conductor to come in contact with the XLR’s outer casing. Grounding the shield could cause a short circuit and erratic behaviour.

SPECIAL NOTE: LINE TERMINATION
When longer runs of cable are used, you may need to use a terminator on the last unit to avoid erratic behaviour. A terminator is a 110-120 ohm 1/4 watt resistor, which is connected between pins 2 and 3 of a male XLR connector (DATA + and DATA -). This unit is inserted in the female XLR connector of the last unit in your daisy chain to terminate the line. Using a cable terminator (ADJ part number Z-DMX/T) will decrease the possibilities of erratic behaviour.

DMX ADDRESSING
All fixtures should be given a DMX starting address when using a DMX controller, so the correct fixture responds to the correct control signal. This digital starting address is the channel number from which the fixture starts to “listen” to the digital control signal sent out from the DMX controller. The assignment of this starting DMX address is achieved by setting the correct DMX address on the digital control display on the fixture.
You can set the same starting address for all fixtures or a group of fixtures, or set different addresses for each individual fixture. Setting all fixtures to the same DMX address will cause all fixtures to react in the same way, in other words, changing the settings of one channel will affect all the fixtures simultaneously.
If you set each fixture to a different DMX address, each unit will start to “listen” to the channel number you have set, based on the quantity of DMX channels of each fixture. That means changing the settings of one channel will only affect the selected fixture.
In the case of the Hydro Wash X7, when in 15 Channel you should set the starting DMX address of the first unit to 1, the second unit to 16 (15 + 1), the third unit to 31 (16 + 15), and so on. (See the chart below for more details.)

The fixture includes an easy to navigate system menu control panel display where all necessary settings and adjustments are made. (See image below) During normal operation, pressing the MENU button once will access the fixture’s main menu. Once in the main menu, you can navigate through the different functions and access the sub-menus with the UP and DOWN buttons. When you reach a field that requires adjusting, press the ENTER button to access that field and use the UP and DOWN buttons to adjust the field. Pressing the ENTER button once more will confirm your setting. You may exit the main menu at any time without making any adjustments by pressing the MENU button.
SYSTEM LOCK/UNLOCK: When the display lock function is activated, the display and system menu will lock after 10 seconds of no activity. To UNLOCK the display, press and HOLD the MENU button for 10+ seconds. While pressing the MENU button, a timer will appear at the bottom of the display indicating the passing seconds from 0-9. Once the timer reaches 9 seconds, the display will unlock allowing access to the system menu.
DO NOT RELEASE THE MENU BUTTON UNTIL THE DISPLAY IS UNLOCKED. If the MENU button is released before the timer reaches 9 seconds and/or is unlocked, the display will not unlock and the time will be reset.
NOTE: The timer will not appear in the display if the lock function is disabled.





DMX SETTINGS – The submenus listed under DMX SETTINGS are as follows: DMX Address, DMX Channel Mode, and No DMX Status.
- DMX ADDRESS – In this submenu you can find and set your desired DMX address.
- DMX CHANNEL MODE – In this submenu you can find and set your desired DMX channel mode.
- NO DMX STATUS – This submenu setting is used as a precaution mode in case the DMX signal is lost or interrupted. The operating mode chosen in this submenu is the running mode the fixture will go into when the DMX signal is lost. Listed below are the 3 modes.
- Hold Last – This setting will have the fixture stay in the last DMX setup.
- Blackout – This setting will have the fixture automatically go into stand by mode.
- Manual – This setting will go into the current manual control set up. See MANUAL CONTROL.
PERSONALITY – The submenus listed under PERSONALITY are as follows: Select Signal, Status Settings, WiFly Settings, Reset Motors, Display, and Service.
- SELECT SIGNAL – In this submenu you can select your desired DMX control mode:
- DMX – Control the unit via DMX cable connection.
- WiFly – Control the unit via WiFly.
- WiFly and DMX Out – Control the unit via WiFly connection. The DMX signal is sent to the next unit via DMX cable.
- STATUS SETTINGS – In this submenu you are able to access and adjust/change: Pan Invert, Tilt Invert, P./T. Feedback, P./T. Speed, and Hibernation.
- WIFLY SETTINGS – In this submenu you are able to access and adjust/change: WiFly Channel setting and Enable/Disable WiFly.
- FAN SETTINGS – In this submenu you are able to select your desired fan speed settings for both the head and base fans.
- DIM MODES – In this submenu you are able to select your desired dimmer mode and adjust the dimming speed time. See page 34 for the dimmer curve chart.
- LED REFRESH RATE – In this submenu you are able to select your desired LED refresh rate.
- GAMMA – In this submenu you are able to select your desired gamma setting.
- RESET MOTORS – In this submenu you are able to reset selected motors.
- DISPLAY – In this submenu you are able to access and adjust/change the backlight intensity, display inversion, screen saver display time, and display lock function.
- SERVICE – In this submenu you are able to access the calibration adjustment, USB port power on/ off, software update, and restore the factory settings. 24
MANUAL CONTROL – This menu is for manual testing and manual control. Under MANUAL CONTROL, the fixture has two control modes; “MODE 1” and “MODE 2”.
NOTE: NO DMX STATUS must be set to “Manual” when using Manual Control.
INTERNAL PROGRAMS – This menu allows you to select 1 of 4 (0-4 internal programs to run. Program speed and fade speed are adjustable. The selected program will also run when “Into Program.” is selected under the “NO DMX STATUS” setting.
TARGET MODE – Target mode is a restrictive pan/tilt control limiting the movement to a certain degree. See diagram of the Target Mode Movements.
INFORMATION – The submenus listed under INFORMATION are as follows: Fixture Life Time, Total LED Time, Fixture Temps, Humidity, Fan Info. (RPM), DMX Values, Error Logs, Max Temp LED ON, High Temp LED OFF, and Software Version.
- FIXTURE LIFE TIME
- Power On Time –The TOTAL power ON running time of the unit is displayed. This time CANNOT be reset.
- P-On Time-R – The CURRENT power ON running time of the unit is displayed. This running time may not be the same as the total power ON running time displayed under “Power On Time”. This time CAN be reset. NOTE: The displayed time represents the current power ON time since the last reset.
- P-On Time Reset – Reset the CURRENT power ON running time that is displayed under “P-On Time-R”.
- TOTAL LED TIME
- LED On Time – The TOTAL LED ON time is displayed. This total LED ON time CANNOT be reset. NOTE: The displayed time represents the TOTAL LED ON time.
- LED On Time-R – The CURRENT LED ON running time is displayed. This running time may not be the same as the total LED ON time displayed under “LED On Time”. This total LED ON time CAN be reset. NOTE: The displayed time represents the CURRENT LED ON time since the last reset.
- LED On Time Reset – With this function you can reset the CURRENT LED ON time that is displayed under “LED On Time-R”.
- FIXTURE TEMPS
- LEDs
Current – Current temperature of the LED’s is displayed.
Max Resettable – Maximum LED temperature that has been recorded, before reset and after reset. (Resettable) Max
Not Resettable – Overall maximum LED temperature that has been recorded. (Not Resettable) - Head
Current – Current temperature of the head is displayed.
Max Resettable – Maximum base temperature that has been recorded, before reset and after reset. (Resettable)
Max Not Resettable – Overall maximum moving head temperature that has been recorded. (Not Resettable) - Base
Current – Current temperature of the base is displayed.
Max Resettable – Maximum base temperature that has been recorded, before reset and after reset. (Resettable)
Max Not Resettable – Overall maximum moving base temperature that has been recorded. (Not Resettable)
- LEDs
- Reset LED Temp – Reset the LED temperature reading.
- Reset head Temp – Reset the head temperature reading.
- Reset Base Temp – Reset the base temperature reading.
- HUMIDITY
- Head Humidity – The current humidity of the moving head is displayed.
- Base Humidity – The current humidity of the base is displayed.
- FAN INFO. (RPM) – In this submenu the current LED, base, and arm fan speed will be displayed.
- DMX VALUES – Displays the DMX values of any DMX channel that is currently in use. NOTE: DMX value options depend on the current DMX channel mode setting.
- ERROR LOGS – In this submenu you are able to check any unit errors as well as clear the error log.
- MAX TEMP LED ON – In this submenu you are able to check the normal operating temperatures as well as the current temperature of the fixture.
- HIGH TEMP LED OFF – In this submenu you are able to check the normal operating temperatures as well as the current temperature of the fixture.
- SOFTWARE VERSION – Current software version is displayed.
WIFLY CONTROL
BEFORE SETTING THE WIRELESS CHANNEL ON ANY WIFLY FIXTURE, MAKE SURE THE SOURCE WIFLY WIRELESS DMX TRANSCEIVER DEVICE IS OFF.
With this feature you are able to control the unit with DMX without the need of XLR cables. Your DMX controller must be connected to a ADJ WiFly Transceiver to use this function. You are able to communicate up to 2500 feet/760 meters (open line of sight).
- Ensure the source WiFly wireless DMX Transceiver device is powered OFF.
- Power ON the fixture and using the control panel scroll to the PERSONALITY menu and press ENTER. Use the UP and DOWN buttons to highlight the WIFLY SETTINGS submenu and press ENTER.
- Using the UP and DOWN buttons, highlight ENABLE / DISABLE WIFLY. Press the ENTER button to toggle between ENABLE & DISABLE. Press ENTER so that “ENABLE” is displayed.
- Next highlight SET WIFLY CHANNEL and press ENTER. Use the UP and DOWN buttons to find your desired WiFly address and press ENTER to confirm.
NOTE: Erratic fixture movement may occur if other WiFly wireless DMX products are in use in the same area and are using the same WiFly wireless channel. When WiFly is enabled, the fixture may immediately start to respond to the DMX wireless signal from another WiFly wireless DMX Transceiver. Make sure to know what WiFly wireless channels are being used in the area where the fixture is being used.
ADJ WIFLY WIRELESS TRANSCEIVER only has 0-14 wireless channels, NO CH 15. - Set your desired DMX address in the DMX ADDRESS submenu of the DMX SETTINGS main system
menu. Set your desired DMX channel mode in the DMX CHANNEL MODE submenu of the DMX SETTINGS main system menu. - Repeat this process for all WiFly compatible fixtures in the WiFly wireless network, making sure all fixtures are assigned the same WiFly wireless channel.
- After all fixtures in the WiFly wireless network have been set to the same WiFly wireless channel and powered ON, power ON the source WiFly DMX Transceiver device.
- Test all fixtures connected to the WiFly wireless network to confirm proper functionality.
WIRELESS WIFLY INSTALLATION LOCATION GUIDELINES
Wireless DMX signal can penetrate walls, glass, metal, and most objects. However, there are many factors that can affect and/or interrupt the wireless DMX signal, one of which is people. Therefore, it is highly recommended to position the wireless antenna a minimum of 9.8 ft. (3m) above audiences and/or above ground level. Careful planning and testing of the selected installation location is critical to ensure optimum and reliable wireless DMX operation.

DMX CHANNELS / VALUES / FUNCTIONS (17, 39, & 41 DMX Channels)




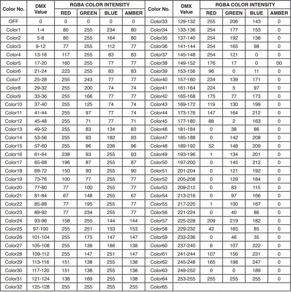
COLOR MACRO CHART

TARGET MODES


Dimming Curve Ramp Effect

ERROR CODES


UPDATING SOFTWARE
ONLY QUALIFIED TECHNICIANS SHOULD PERFORM THIS FUNCTION! NOTE ALL MENU SETTINGS BEFORE UPDATING SOFTWARE! FIXTURE SOFTWARE CAN NOT BE DOWNGRADED! DOWNLOAD FIXTURE SOFTWARE TO PC ONLY! (NO MAC SUPPORT)
PLEASE CONTACT ADJ CUSTOMER SERVICE FOR FURTHER INFORMATION.
- Contact ADJ Customer Service to obtain the software update files.
- Copy the software files to a compatible USB flash drive.
NOTE: MAKE SURE THESE SOFTWARE FILES ARE THE ONLY FILES LOADED ONTO THE USB FLASH DRIVE. - Disconnect DMX and WiFly connections and power the fixture ON.
- Insert the USB flash drive into the SERVICE PORT located on the rear panel of the unit.
- Locate “PERSONALITY” within the system menu and press ENTER. Scroll to the “SERVICE” submenu and press ENTER. Enter the passcode “50” to gain access.
- Scroll to the “USB PORT POWER” setting and activate the USB service port by selecting ON. NOTE: The USB port is OFF by default.
- After activating the USB port, scroll to “UPDATE SOFTWARE” and press ENTER.
- Two (2) software files will be displayed as downloaded earlier. Highlight the first file and press ENTER. Select YES to begin the first of two updating processes. Once YES is selected the display will show “Updating, Please wait…”. A percentage bar will also be displayed.
- After the first update is complete, the fixture will run a software check (this can take some time).
- After the software check is complete, the fixture will perform a reset.
- Once the reset is complete, scroll to the “PERSONALITY” menu again and press ENTER. Scroll to the “SERVICE” submenu and press ENTER. Enter the passcode “50” to gain access.
- Reactivate the USB port power if necessary.
- Scroll to “UPDATE SOFTWARE” setting again and press ENTER.
- Highlight the second file this time and press ENTER. Select YES to begin the second and final updating process. Once YES is selected the display will show “Updating, Please wait…”. A percentage bar will also be displayed.
- After the second update is complete, the fixture will run a software check again.
- After the software check is complete, the fixture will perform another reset.
- Remove the USB flash drive.
- After the reset process is complete check the new software version to confirm it is updated to the most recent software.
MULTIPLE UNIT POWER LINKING
With this feature you can connect the fixtures to one another using the power cable input and output sockets.
NOTE: USE CAUTION WHEN POWER LINKING OTHER FIXTURES AS THE POWER CONSUMPTION
OF OTHER MODEL FIXTURES MAY EXCEED THE MAX POWER OUTPUT ON THIS FIXTURE!
CHECK SILK SCREEN FOR MAX AMPS. 35
SPECIFICATIONS
Light Source:
- 7x Osram 40W RGBW (4-IN-1) LEDs
Features:
- IP65 outdoor rated protects fixture from dust, sand, moisture and liquid
- Motorized Zoom: 6 ~ 40-degrees
- Firmware Upgrade: Update via IP65 USB port (with rubber protective covers over connections)
Construction:
- Color display with touch buttons
- Data In/Out: 5-pin DMX IP65 (with rubber protective covers over connections)
- Power In/Out: locking IP65 (with rubber protective covers over connections)
- All metal case design
Control:
- WiFly Wireless DMX built-in (Up to 2,500 ft / 700M line of sight)
- 3 DMX channel modes: 15, 17 & 41 channels
- Control modes: DMX-512, RDM (Remote Device Management)
- Pixel Control
- 0-100% dimming plus 16-bit fine dimming
- 6 dimmer curve modes
- Shutter control
- Strobe & pulse effects
- Gamma correction: 1.0, 2.0, 2.2, 2.4, 2.6 and 2.8
- With Wired Digital Communication Network
Pan/Tilt:
- Pan/Tilt: 540-degrees / 255-degrees
- 16-bit Fine Pan
- 16-bit Fine Tilt
Electrical:
- Multi-voltage operation: 100-240V, 50/60Hz
Dimensions & Weight:
- Dimensions (LxWxH): 8.5″x12″x18″ / 215x302x457mm
- Weight: 35 lbs. / 16kg.
Rating / Approvals:
- CE & cETLus Approved (Control #4000358)

DIMENSIONS (VERTICAL)


DIMENSIONS (HORIZONTAL)


FCC STATEMENT
This device complies with Part 15 of the FCC Rules. Operation is subject to the following two conditions: (1) this device may not cause harmful interference, and (2) this device must accept any interference received, including interference that may cause undesired operation.
FCC RADIO FREQUENCY INTERFERENCE WARNINGS & INSTRUCTIONS This product has been tested and found to comply with the limits as per Part 15 of the FCC Rules. These limits are designed to provide reasonable protection against harmful interference in a residential installation. This device uses and can radiate radio frequency energy and, if not installed and used in accordance with the included instructions, may cause harmful interference to radio communications. However, there is no guarantee that interference will not occur in a particular installation. If this device does cause harmful interference to radio or television reception, which can be determined by turning the device off and on, the user is encouraged to try to correct the interference by one or more of the following methods:
- Reorient or relocate the device.
- Increase the separation between the device and the receiver.
- Connect the device to an electrical outlet on a circuit different from which the radio receiver is connected.
- Consult the dealer or an experienced radio/TV technician for help.
Europe Energy Saving Notice
Energy Saving Matters (EuP 2009/125/EC) Saving electric energy is a key to help protecting the environment. Please turn off all electrical products when they are not in use. To avoid power consumption in idle mode, disconnect all electrical equipment from power when not in use. Thank you![]()



















