COMET S3120E Temperature and Relative Humidity Logger with Display

© Copyright: COMET SYSTEM, s.r.o.
Is prohibited to copy and make any changes in this manual, without explicit agreement of company COMET SYSTEM, s.r.o. All rights reserved.
COMET SYSTEM, s.r.o. makes constant development and improvement of all its products. Manufacturer reserves the right to make technical changes without previous notice. Misprints reserved.
Manufacturer is not responsible for damages caused by using the device in conflict with this manual. To damages caused by using the device in conflict with this manual cannot be provided free repairs during the warranty period.
Contact the manufacturer of this device:
COMET SYSTEM, s.r.o.
Bezrucova 2901
756 61 Roznov pod Radhostem
Czech Republic
www.cometsystem.com
Instruction manual for use of temperature and RH logger S3120E
Logger is designed for measurement and record of ambient temperature and relative humidity. Measuring sensors of temperature and humidity are attached to logger. Measured values including calculated dew point temperature are displayed on the two-line LCD display and are stored in selectable time interval to internal nonvolatile memory. All logger control and setting are performed from the PC and password is applicable. It is enabled to switch ON and OFF the logger by delivered magnet (this possibility can be in configuration disabled). It is also enabled to program automatic start in certain day and time (for one month forward). Start/stop magnet enables also to clear the minimum and maximum value memory
Minimum and maximum measured values can be displayed (display switches to actual measured values and min/max values automatically). It is also possible to operate logger with switched OFF display. Short display of actual measured values is enabled by means of magnet.
Switched ON logger every 10 seconds (independently on logging interval) updates MIN/MAX memory, compares measured values of each quantity with two adjustable limits for each quantity and exceeding of limits is indicated on the display (alarm function). Also memory alarm mode is selectable, when alarm is indicated permanently till alarm memory reset. Alarm function is enabled or disabled for each quantity individually.
Logging mode can be adjusted as non-cyclic, when logging stops after filling the memory.
In cyclic mode oldest stored values are overwritten by new. In addition logging mode can be selected when logging is active only if measured value is out of adjusted alarm limits.
Stored values can be transferred from logger memory to the PC by means of communication adapter. Communication adapter can be connected to the logger permanently – data logging is not interrupted even if data download appears.
Logger evaluates minimum battery voltage and its drop below allowed limit is indicated on the display. At the same time value of remaining battery capacity is available by means of the PC program and appears on the logger LCD in % (every time after switch ON).
Warning
The device can be services only by a qualified person. The device contains no serviceable parts inside.
Don’t use the device if it doesn’t work correctly. If you think, that the device is not working correctly, let check it by qualified service person.
It’s forbidden to use the device without the cover. Inside the device can be a dangerous voltage and may be risk of electric shock.
Technical parameters
Measuring parameters:
Ambient temperature (RTD sensor Pt1000/3850ppm):
Measuring range: -30 to +70 °C
Resolution: 0.1 °C
Accuracy: ±0.6 °C from –30 to +30 °C, ±0.8 °C from +30 to +70 °C
Relative humidity (reading is temperature compensated at entire temperature range):
Measuring range: 0 to 100 %RH
Resolution: 0.1 %RH
Accuracy: ± 3.0 %RH from 5 to 95 %RH at 23 °C
Dew point (value calculated from temperature and humidity):
Range: -60 to +70 °C
Resolution: 0.1 °C
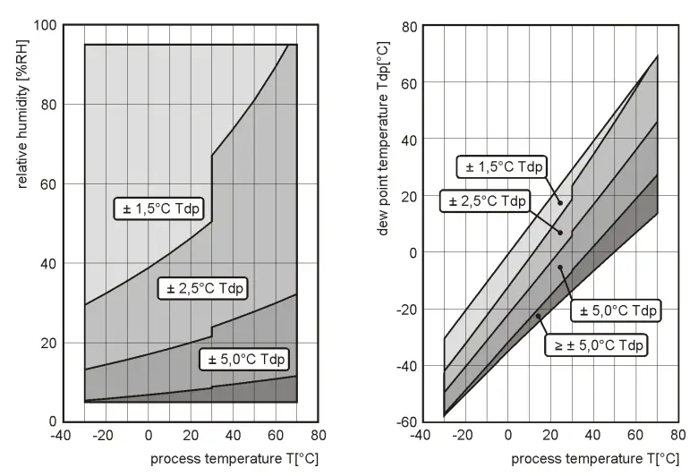
Accuracy: ± 2.0 °C at ambient temperature T < 25°C and RV > 30 %, for more details see Appendix A
Response time with plastic sensor cover (air flow approximately 1 m/s): temperature: t63 < 2 min, t90 < 8 min (temperature step 20 °C)
relative humidity: t63 < 15 s, t90 < 50 s (humidity step 30 %RH, constant temperature)
Measuring interval, alarm evaluation and MIN/MAX memory update:
standard mode (no low-power mode): every 10 s low-power mode: every 1 minute
Logging interval to memory:
standard mode: 10 s to 24 h (20 steps)
low-power mode: 1 minute to 24 h (17 steps)
Memory capacity:
for non cyclic mode 16 252
for cyclic mode 15 296
Specified values are maximum possible and can be reached only if record is not interrupted (since last memory erasing)
Communication with computer: via RS232 (serial port) by means of COM adapter or USB port by means of USB adapter; data transfer from logger via communication adapter is optical
Real time clock: adjustable from computer, integrated calendar including leap years Error of internal RTC: < 200 ppm (i.e. 0.02 %, 17.28 s in 24 h)
Power: Lithium battery 3.6 V size AA
Typical battery life:
standard mode (data download to the PC approximately once a week): 2.5 years low-power mode (data download to the PC approximately once a week): 6 years
on-line mode with interval 1 minute: min. 1.5 years
on-line mode with interval 10 seconds: min. 1 year
Notice: the above lives are valid if logger is operated at temperature from -5 to +35°C. If logger is operated often outside of the above temperature range life can be reduced to 75%
Protection: IP30
Operational conditions:
Operational temperature range: -30 to +70 °C
Operational humidity range: 0 to 100 %RH
Specification of outer characteristics accordingly to Czech National Standard 33 2000-3: normal environment accordingly to appendix NM: AE1, AN1, AR1, BE1
Operational position: negligible
Logger installation: by self adhesive Dual Lock, applied to clean, flat surface
Not allowed manipulation: it is not allowed to remove sensor cover and mechanically damage sensor under cover. Sensors of temperature and humidity should not get to direct contact with water or other fluids.
Limit condition: temperature -40 to +70 °C, humidity 0 to 100 %RH
Storing condition: temperature -40 to +85 °C, humidity 0 to 100 %RH
Dimensions: 93 x 64 x 29 mm
Weight including battery: approximately 115 g
Material of the case: ABS
Logger operation

Logger comes complete with installed battery and switched OFF. Before operation it is necessary by means of installed user PC software to set logging parameters and other features. For communication with the PC a communication adapter is necessary (not included in delivery). For connection via RS232 serial port it is necessary to use COM ADAPTER, for connection via USB port it is necessary to use USB ADAPTER. Connect adapter connector to proper computer port and plug the adapter to the guide slots on the side of logger.
Notice: USB connector can be located also from the computer front side After connecting the logger to the computer reading of logger info is enabled by means of the PC software and also setting of the instrument accordingly to the user needs (menu Configuration / Setting of instrument parameters). Before logging start it is necessary:
- check or optionally set the logger real time clock
- select suitable logging interval
- select logging mode (cyclic or non cyclic)
- switch ON the logger (or switch OFF, if it is about to be switched ON by magnet or automatically with delayed start)
- enable or disable the option to switch ON the logger by magnet
- enable or disable the option to switch OFF the logger by magnet
- enable or disable the option to clear minimum and maximum value memory by magnet
- set date and time of logger automatic switching ON logger or disable this option
- select if record runs permanently or only if alarm is active
- If alarms are about to be applied, set both limits for each measured quantity and enable alarm
optionally enable permanent alarm indication (alarm with memory) - switch ON or switch OFF display logger
- optionally switch ON displaying of MIN/MAX values on the LCD
- reset memory of MIN/MAX values (if needed)
- check free space in data memory, optionally erase data memory of the logger
- enter password if protection against unauthorized manipulation with the logger is necessary
Logging interval between to subsequent measurements is specified by the user. Memorizing of the first value is synchronized with the internal real time clock, so the logging is performed at sharp multiples of minutes, hours and days. E.g. after starting the logging with the 15 minute interval the first value is not stored immediately, but after the internal clock gets the status of a quarter, a half or a whole hour. After starting the logging with the 6 hour interval the first value is stored at that whole hour to perform the storing also at 00.00, i.e. at the beginning of the day. First storing is performed at 6.00,12.00, 18.00 or 00.00hour – at the hour from the above nearest to the logging start. After communication with computer or after start by magnet logger automatically waits for the nearest whole multiple of time and then first measurement is performed. This is also necessary to take into account when setting time of automatic logger switch ON.
Notice: If logger operates as permanently connected to the computer, using of magnet start/stop is disabled.
To enable the logger control by magnet is suitable only in cases, when possibility of unauthorized manipulation to the logger operation is eliminated.
Reading on the display in usual operation (logger switched ON)
![]() | After switching ON the logger all LCD symbols are displayed for checking the display. |
![]() | Then actual date and time in logger is displayed for approximately 4 s. |
![]() | Consequently reading of estimated remaining battery capacity for approximately 2 s is displayed (values 0 to 100%). It is valid if logger is operated at temperature from -5 to +35°C. If logger is operated often outside of the above temperature range battery life can be reduced to 75%, i.e. if displayed remaining battery capacity drops below 25%, it is recommended to replace the battery. |
![]() | If display is switched ON, actual reading of measured values is displayed – ambient temperature (°C) on the LCD upper line, relative humidity (%RH) on the LCD lower line. Symbol LOG indicates data logging in progress – if it blinks, data memory is filled up to more than 90%. |
![]() | Every 5 s display is automatically switched to displaying of other measured or calculated quantity. Logger now displays ambient temperature and dew point temperature (LCD line marked by symbol DP). |
![]() | Switched ON logger permanently (with 10 s interval) updates memory of minimum and maximum values of each measured (or calculated) quantity. If displaying of MIN/MAX values is selected, minimum measured values are displayed step by step (indicated by symbol MIN) and then similarly maximum measured values of all quantities (indicated by symbol MAX). The entire cycle is repeated periodically, i.e. reading of actual measured values follows. |
![]() | If display is switched OFF, all above readings are displayed up to estimated remaining battery capacity and then display goes out. If logger is switched ON symbol LOG is displayed (it blinks if memory occupation is higher than 90%). |
![]() | If display is OFF and logger is in mode when record runs only when alarm is active, the LOG symbol is replaced by adjacent symbol “–” (hyphen). It appears in case, all measured values are inside of adjusted alarm limits and data logging therefore does not run. Displayed symbol indicates logger is ON. |
If information on actual measured values is needed, it is possible anytime to display reading display by means of the magnet (only if communication adapter is not connected permanently).
Plug magnet into guide slots from logger front side for approximately 4 s and wait till reading on the display appears. If logger has enabled the function switch OFF by magnet, resp. MIN/MAX memory clear by magnet, do not remove magnet from guide slots before decimal point symbol goes out – logger would be switched OFF, resp. MIN/MAX memory would be cleared! Display reading initialized by magnet goes out automatically after 30 s. Remove magnet from slots anytime during actual reading is ON or later
Temporary displaying of actual reading by magnet

Alarm indication on the display
It is necessary to enable alarm function from the PC and set for each quantity lower and upper limit. If measured value is inside of set limits, alarm of proper quantity is not active. If value of measured quantity gets outside of set limits, alarm of proper quantity is active and it is indicated on the display. It is possible to select “memory alarm mode” when alarm is indicated permanently up to reset from the PC.
![]() | Active alarm is indicated (if display is ON) by blinking of the value of proper quantity on the display and arrow symbol appears at the LCD upper side at the same time. Arrow 1 indicates active alarm for ambient temperature, arrow 2 relative humidity and arrow 4 dew point temperature. Notice: if logger is operated at low temperature (below approximately -5 °C), alarm indication by blinking can be indistinct. Indication by arrows works correctly. |
Messages displayed on the LCD beyond usual operation
| If measured value is out of the measurable or displayable range numeric reading is replaced by hyphens. If memory is totally full filled in non-cyclic logging mode, logger is switched OFF and message MEMO FULL appears on the LCD. It appears also if logger is operated with switched OFF display. |
![]() | New initialization of logger can occur in switching ON the logger (immediately after displaying of all LCD segments for checking) e.g. after replacement of totally discharged battery for new one. State is indicated by INIT reading. It can be displayed for about 12 s. |
![]() | If battery voltage drop occurred since last internal clock setting below critical limit or battery disconnection for longer period than approximately 30 s, after display switch ON (during date and time display) all four arrows appears as warning to check or set it again from the computer. However all logger functions work without limitation. |
![]() | If reading BAT is displayed periodically on LCD upper line (for 1 s with 10 s interval), the end of estimated battery life is coming – however logger functions are not limited. Replace battery as soon as possible! |
![]() | If reading BAT is displayed permanently, battery voltage is low and logger is not possible to switch ON. If logger was switched ON before it, data logging is stopped and logger is switched OFF. Communication with computer can temporarily work. Replace battery as soon as possible! |
Start / stop by magnet
The function must be enabled from the PC before. If only switching OFF by magnet is enabled, it is of course necessary to switch ON the logger from the computer.
Notice: It is not possible to combine function switching OFF by magnet and MIN/MAX memory clear by magnet! User software enables only one of them to select.
Switching the logger ON by magnet
Plug magnet to guide slots from logger front side and wait approximately 1 s for decimal point appears right on LCD upper line. After appearance it is necessary immediately (till indication point is displayed) to remove magnet from guide slots and logger switches ON.
Switching the logger OFF by magnet
The procedure is identical with the above procedure for switching ON. If decimal point does not appear after 1 s, it is necessary remove the magnet and repeat the procedure.
Reset of MIN/MAX values by magnet
Function enables to clear MIN/MAX values by magnet without using computer. It is necessary to enable the function from the PC software before.
Notice: It is not possible to combine this function with function of switching logger OFF by magnet! User software enables to select only one of them (or none).
Plug magnet to guide slots from logger front side and wait approximately 1 s for decimal point appears right on LCD upper line. After decimal point appearance it is necessary immediately (till indication point is displayed) to remove magnet from guide slots. Reading CLR MIN MAX appears for several seconds and MIN/MAX values will be cleared.
Battery replacement
Low battery is indicated on the display by blinking of reading “BAT”. It can be displayed permanently, if battery voltage is too low. Replace the battery for new one. If logger is operated often in temperature below -5°C or over +35°C and PC program indicates remaining battery capacity below 25% it is also recommended to replace the battery. Applied is Lithium battery 3.6 V, size AA. Battery is located under logger lid.
Warning: near battery fragile glass reed contact is located – be careful not to damage it. Be careful in battery replacement!
Replacement procedure:
- switch off the logger by the PC program or by magnet (if low battery allows)
- unscrew four corner screws and remove the lid
- remove old battery by pulling the glued tape
- insert new battery respecting the correct polarity (see symbols + and – near battery holder). If you connect new battery up to 30 s, all logger settings remain unchanged. In the opposite case check by means of PC program all settings, especially the real time clock in logger. Attention, inserted battery with incorrect polarity causes logger damage!
- put the lid back again and screw four screws
- connect logger to the computer and write to it the information on battery replacement (menu
Configuration/Battery replacement). This step is necessary to evaluate properly the remaining battery capacity
Old battery or logger itself (after its life) is necessary to liquidate ecologically!
End of operation
Disconnect the device and dispose it according to current legislation for dealing with electronic equipment (WEEE directive). Electronic devices must not be disposed of with your household waste and need to be professionally disposed.
Instrument passed through tests of electromagnetic compatibility (EMC):
Device conforms in accordance with EN 61326-1 these norms: radiation: EN 55011 Class B
immunity: EN 61000-4-2 (levels 4/8 kV, Class A)
EN 61000-4-3 (intensity of electric field 3 V/m, Class A)
EN 61000-4-4 (levels 1/0.5 kV, Class A)
EN 61000-4-6 (intensity of electric field 3 V/m, Class A)
Technical support and service
Technical support and service is provided by distributor. Contact is included in warranty certificate.
Appendix A – Accuracy of dew point measurement
































