HBF 420 Moisture Meter for Wood and Building Materials

Operation Manual Moisture Meter for Wood and Building Materials
General Information
The moisture meter is used to measure the moisture levels of wood and building materials. It is important to read and follow the instructions provided in this manual to ensure proper usage and accurate readings.
Usage:
- Assessing wood fuel for combustion
- Measuring moisture levels in building materials
Technical Specifications
| Description | Specification |
|---|---|
| Resistance measurement for wood | 12 mm measurement range, 25 mm electrode spacing, 10 material codes for wood type correction, temperature compensation based on material temperature |
| Dielectric measurement | 4-digit display, 20 codes for material adaptation, alarm function, depth of penetration |
| Additional data | Dimensions: 165 x 62 x 26 mm, weight: 175 g (without batteries) |
Setup and Functionality
The moisture meter consists of a protective cap, electrodes for resistance measurement, an LC display, and an alarm LED. It also has buttons to select the measurement mode, material codes, and temperature input.
Instructions:
- To turn on the device, press the power button (1).
- Input the material temperature using the temperature input button (2).
- Select the measurement mode using the mode selection button (3).
- Select the material code using the material code selection button (4).
- To calibrate the device, use the calibration check points on the top and bottom of the device (1, 8).
- Place the electrodes on the material to be measured and press the measurement button (5).
- For resistance measurement, select the measurement mode and input the material code for resistance measurement (4.4.1).
- For dielectric measurement, select the measurement mode and input the material code for dielectric measurement (4.4.2).
General Information
Operation Manual Information
This operation manual allows to work safely with the Wöhler HBF 420. Please keep this manual for your information.
The Wöhler HBF 420 should be employed by professionals for its intended use only.
Liability is void for any damages caused by not following this manual.
Notes
WARNING! Not following this warning can cause injury or death.
ATTENTION!
Not following this note can cause permanent damage to the device.
NOTE!
Useful information
Intended Use
Use the meter for the determination of moisture humidity, especially for the following applications:
- Fuel technology: Wood evaluation considering the combustion
- Building diagnostic: Damage analysis, leak indication
- Building work: preparatory measurements before adding coatings, floor coverings etc.
Components
| Device | Components |
| HBF 420 | Meter |
| 2 replacement needles for resistance measurements | |
| 4 x 1.5 AAA size battery | |
| Leather bag | |
| Storage and transport WARNING! The sharp tips of the measurement needles at the base of the instrument represent a risk of injury if due care and attention is not exercised. | |
Always transport and store the meter with the protection cap in the leather bag.
- Store it at a dry place.
- Take the batteries from the meter when not using it for a certain time.
Safety information
- WARNING!
Risk of death by electric shock – do not allow the tips of the measurement needles or the surface probe at the top of the instrument to come into contact with live parts. - WARNING!
Do not use the meter in close proximity to devices that are sensitive to high frequencies (e.g. medical instruments).
Information on disposal
Electronic equipment does not belong into domes-tic waste, but must be disposed in accordance with the applicable statutory provisions.
You may hand in any defective batteries taken out of the unit to our company as well as to recycling places of public disposal systems or to selling points of new batteries or storage batteries.
Direction
Wöhler Technik GmbH
Wöhler-Platz 1
33181 Bad Wünnenberg
Tel.: +49 2953 73-100
Fax: +49 2953 73-250
E-Mail: [email protected]
Technical Data
Resistance measurements (wood)
| Description | Data |
| Range | 0 to 40% 10 % to 35 % (tested) |
| Needle length (electrodes) | 12 mm |
| Distance between the needles (electrodes) | 25 mm |
| Correction facility | for 10 groups of wood |
| Temperature compensation | Material temperature |
| Accuracy, according to VDI Guideline 4206, sheet 4 | Currant state: ± 40 % of the reference value (wood) ± 5 % of the value of the test facilityDesired status: ± 40 % of the reference value (wood) ± 5 % of the reference value of the test standard |
Dielectric measurement
| Description | Data |
| Display | four digits |
| Penetration depth of the dielectric probe | approx. 3 to 4 cm |
| Correction facility for the material | 20 codes |
Features
| Description | Data |
| Alarm | three-colored LEDs (green, yellow, red) adjustable limit values |
Other data
| Description | Data |
| Environmental conditions | 5 … +40 °C < 90% rh (non condensing) |
| Size | 165 x 62 x 26 mm |
| Weight | 175 g (without battery) |
Component Explanation
Device

Component Explanation
- Protective cap, top, with contact points for calibration check 25%.
- Dielectric probe (not visible here)
- Needles (electrodes) for resistance measurement
- LC display
- Three-colored alarm LED
- Jack connection to the Wöhler Wood Moisture Probe
- Battery compartment (rear of the instrument)
- Protective cap, bottom, with contact points for calibration check 18 %.
- Replacement needles for the resistance measurement (replacement for part 3)
- Protection for replacement needles
Keypad

Component Explanation
- Set key: Settings / confirm settings
- M/▲: Measuring / upward
- ON/OFF -key / Escape
- ▼/<0>: downward / zeroing
Display and Keys
A square at the top of the display with the opening facing downwards and the symbol ((•)) show that the measuring mode “dielectric measurement” has been chosen. Underneath the measured humidity is indicated in digits.
Fig. 3: Dielectric measurement
A square with the opening facing downwards at the bottom of the display and the symbol ((•)) show that the measuring mode “resistance measurement” has been chosen. Underneath the measured wood humidity (u) in % is indicated.
Fig. 4: Measuring mode “dielectric measurement”
Function
The Wöhler HBF 420 offers two different measurement modes:
- With the dielectric measurement moisture profiles of building material can be done:
The probe for dielectric measurements at the top of the moisture meter facilitates rapid detection of moisture in all kinds of building materials through an uncomplicated meth-od of measured data acquisition. In addition, it is quickly possible to gain an overview and localize critical points by creating a quasi two-dimensional moisture profile. This is where assigning material codes enables an informed judgment of different materials to be made. - Electrical resistance measurement for determining the wood moisture precisely:
- The resistance measurement uses the needles at the base of the instrument. In order to obtain an exact measurement, the respective material is considered by entering the appropriate code.
- As the relative humidity depends on the material temperature, the meter will automatically perform a temperature compensation on the basis of the temperature value entered by the user.
- In both measuring modes the two optical alarm limits help to evaluate the moisture content, e.g. when performing general measurements.
Device
NOTE!
In the following, the numbers (1) to (4), which are placed in brackets behind the key- names, will always refer to figure 2.
Switching on
- Press the ON/OFF key (3) to switch on the meter.
At once the meter will be ready to operate. It is in the hold mode now.
The alarm indication shines green. - To switch off the meter, keep the “On/Off” key (3) depressed for two seconds.
Entering the material temperature
- The user can enter the temperature of the measurement material into the meter. As the measured value depends on the material temperature, the meter will perform an automatic temperature compensation on the basis of the temperature entered by the user.
NOTE! Temperatures from -60 °C to +60 °C can be entered.
- To enter the temperature value into the meter follow the steps below (see short manual at the end of this manual):
- Measure the material temperature, e.g. with the Wöhler IR Temp 210 (see accessories).
- Switch on the Wöhler HBF 420 and press the Set key (1).
- The temperature value, that was entered last, will appear on screen.
- Increase or reduce the value with the up and down keys (2 and 4).
- Press the Set key (1) to confirm. The menu to select the measuring mode appears on screen.
- (If you do not want to change the measuring mode, press the ON/OFF key (3) instead of confirming).
Selecting the measuring mode
As the Wöhler HBF 420 offers two measuring modes, you have to select the measuring probe (see chapter 3.4).
Proceed as follows:
- After having switched on the meter press the Set key (1) twice to bring up the menu for selecting the measuring mode.
HINWEIS!
Having pressed the Set key once, wait until the temperature value is displayed, until you press the Set-key a second time.
- “PB” (Probe) and the respective symbol for the dielectric measurement and the resistance measurement will be displayed.
- Press the upper center key (2), to select the dielectric measuring mode (measurement with probe at the top of the device).
In the top of the display ((•)) and a square with the opening facing downwards will appear.

- Press the lower center key (4), to select the resistance measuring mode (measurement with needles).
At the bottom of the display a square with the opening facing downwards will appear.

- Press the Set key (1) to confirm.
NOTE!
If you switch off the meter and switch it on again, the meter is in the measuring mode selected before it had been switched off.
You are now in the menu to select the material codes.
(If you do not want to change the measuring mode, press the ON/OFF key (3) instead of con-firming).
Selecting the material code
The measured moisture content of materials de-pends on the type of material and other factors.
Material code resistance measurements (needles/electrodes)
For resistance measurements, 10 different material codes ‘Cd00’ to ‘Cd09’ can be assigned on the moisture meter in conjunction with the following table of material codes:
NOTE!
The specifications are based on a standardization of types of wood. Possible inaccuracies cannot be excluded.
Material code table
| Cd | Material |
| 00 | Oak, pine, walnut (American) |
| 01 | Douglas fir, meranti (white) |
| 02 | Beech, spruce, walnut (European), larch, sweet chestnut, silver fir |
| 03 | Lime wood, elm |
| 04 | Teak |
| 05 | Afrormosia, ebony |
| 06 | Guarea |
| 07 | Cherry, birch, walnut |
| 08 | Veneer, Timber, Chipboard |
| 09 |
Material code for dielectric measurements
For the dielectric measurement, the material codes 0 – 20 can be chosen.
The material code for measurements with the dielectric probe is selected based on the bulk density of the material to be measured; it should be noted that with increasing bulk density, the material code to be selected also increases.
- The codes ‘Cd05’ to ‘Cd10’ are suitable for taking measurements of wood (bulk density approx. 400 to 600 kg/m3).
- The codes ‘Cd15’ to ‘Cd18’ are suitable for taking measurements of brickwork, floor screed and concrete (bulk density approx. 1600 to 2200 kg/m3).
Material code of unknown materials
In order to classify unknown materials more exactly, it is possible to determine the moisture in the material by means of a drying test. The appropriate code for the material measured is the one whose setting on the instrument leads most closely to the result indicated by the drying test. If no drying test is done, we recommend to measure unknown wood materials with Cd00, though the measurement may not be precise in this case.
Entering the material code
- After having switched on the meter press the Set key (1) three times to bring up the menu for selecting the material code.
Fig. 7: Entering the material code
HINWEIS!
After having pressed the Set-key wait approx. 2 seconds before you press it again.
“cd00” and a small “s” as well as the symbols for the selected measuring modes will appear on screen.
NOTE!
The correct measuring mode must be selected before entering the material code (see chapter 4.3).
- Enter the correspondent material code with the up and down keys (2 and 4).
- Press the Set key (1) to confirm.
You are now in the menu to enter the alarm threshold values.
Alarm threshold
Two alarm thresholds can be set on the instrument to facilitate rapid assessment of the moisture content of the material. The setting is displayed on a 3 -colored LED (see fig. 1, part 5).
The following statuses are possible:
- Indicated value < Al1: green
- Indicated value ≥ Al1 and < Al2: yellow
- Indicated value ≥ Al2 red
NOTE!
The visual alarm makes it possible to quickly detect critical areas, in particular when taking moisture profile measurements using the dielectric probe.
Setting the alarm threshold
- After switching on the meter press the Set key (1) four times to bring up the menu for setting the alarm threshold.
HINWEIS!
After having pressed the Set-key. wait approx. 2 seconds before you press it again.
“Al 1” and subsequently the setting for the lower alarm threshold relating to the relative humidity will be displayed. Furthermore the symbols of the chosen measurement mode will appear (see chapter 3.3).
Device
- Enter the value for the lower alarm threshold with the up and down keys (2 and 4).
- Press the Set key (1) to confirm.
- “Al 2” and subsequently the setting for the upper alarm threshold relating to the relative humidity will be displayed.
- Enter the value for the upper alarm threshold with the up and down keys (2 and 4).
- Press the Set key (1) to confirm.
- The meter will return to the menu for entering the material temperature.
- Press the ON/OFF/Escape key (3) to bring up the hold-mode again.
- Press the M key (2) to bring up the measuring-mode.
Zero point calibration
The instrument zero point should be calibrated before each measurement.
- To do so, hold the Wöhler HBF 420 in the air without allowing it to come into contact with any material.
NOTE!
When taking dielectric measurements, ensure that you hold the probe at least 15 cm away from any material during the zero point calibration and that you hold only the lower part of the instrument in your hand.
Then press (>o<) key in normal measurement mode. The Wöhler HBF 420 automatically sets and displays the zero point.
Measuring
ATTENTION!
Before starting the measurement, check that the needles/electrodes are not bent. If the electrodes are bent, the distance will not be 25 mm any more, so that the measurement result may not be correct. In this case exchange the electrodes, see chapter 9 „Maintenance“.
- Switch on the meter. It is in the hold mode now.
- Press Set key (1) and enter the material temperature (see chapter 4.4).
- Press Set key (1) and select the measuring mode (resistance measurement or dielectric measurement), see chapter 4.3.
- Press Set key (1), enter the material code and confirm with the Set key (1), see chapter 4.4.
- Press the ON/OFF/Escape-key (3) to close the settings menu and to bring up the hold-mode again.
- Depending on the chosen measurement mode bring the probe for the dielectric measurement or the electrodes for the resistance measurement into the measuring position, see chapter 5.1 and 5.2.
- Press the M key (2) to bring up the measuring-mode and hold the key pressed during the measurement.
- As soon as you release the M key, the meter will enter the hold mode again and show the last measured value.
Resistance measurements (wood)
The resistance measurement uses the needles/electrodes at the base of the instrument. The meter will automatically determine the wood moisture u. This is the water mass mw bound in the fuel and related to the absolute dry fuel mass mB according to equation (1):
Equation 1
Explanation:
- u = wood moisture
- mw = water mass bound in the wood
- mB = absolute dry fuel mass
NOTE!
According to the above equation the wood moisture may be higher than 100 %.
The wood moisture must not be confused with the water content. The water content is the water mass related to the total mass of fuel and water (wet basis).
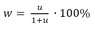
Equation 2
Explanation:
- w = water content
- mw = water mass bound to wood
- mB = absolute dry fuel mass
The wood moisture can be converted to the water content as follows:
Equation 3
Explanation:
- w = water content
- u = wood moisture
Performing the resistance measurement
To perform a resistance measurement, follow the steps below (see short manual at the end of this manual):
- Switch on the meter, select the measurement mode “resistance measurement”, enter the material code and perform the zero calibration.
- Split the wood log in the middle and perform the measurement immediately after that at the inside part of the log.
- The electrodes should penetrate into the wood approx. 6 mm.
ATTENTION!
Only if possible without applying force.
NOTE!
Measurements taken of wood are to be performed diagonally to the direction of the fibres; in other words, a line drawn between the measurement needles would dissect the fibre of the wood.
- To perform a measurement, keep the M-key (3) pressed.
In general the wood moisture should be measured at three different points (see adjacent figure).
After that, the user has to calculate the average.
Please note the following points when performing the measurement:
Average value
Fig. 8: Situation of the measurement points at the log
Amongst other factors, the following should be observed:
- Depending on the type of wood, higher degrees of inaccuracy should be expected when wood moisture levels are above approx. 35 – 40 %.
- The wood to be measured should have a temperature of 0°C to 30 °C.
- High static charges in the material to be measured can lead to erroneous measurements and possibly damage the meter. Suitable earthing arrangements can resolve the matter.
Resistance measurements with the wood moisture probe
The result of the resistance measurement will be more exact, when the wood measurement probe is used, because the needles of the probe can be inserted more deeply into the wood, so that humidity can even be measured in the wood-inside.
- Switch on the Wöhler HBF 420, select the material code and perform the zero point calibration. After that connect the meter to the Wood Moisture Probe as follows:
- Connect the two plugs of the lower part of the cable to the jacks of the isolator of the Wöhler Wood Moisture Probe. For the resistance measurement it does not matter which jack is connected to which plug.

- Connect the plug at the other end of the cable to the upper jack of the Wöhler HBF 420. Per-form the measurement as described in chapter 5.1.
- The result will be shown in the display.
Dielectric measurement
Non-destructive measurements taken with the dielectric probe at the top of the Wöhler HBF 420 are informative measurements for orientation purposes; the displayed values do not represent ex-act measurement results.
The measurement is ideal for detecting critical moist points in building materials or for creating a moisture profile. Due to the fast functioning measurement value display, it is possible to take measurements with the dielectric probe at many different points on the surface in quick succession. Thus, critical points can be recognized immediately and further targeted measures undertaken, such as taking a sample of the material for later analysis. 
- Switch on the meter, enter the material temperature, select the measurement mode “dielectric measurement”, enter the material code and perform the zero calibration (see chapter 4).
- Press the Escape key (3) to close the settings menu and the M key (2) to bring up the measuring mode.
- Hold the white probe at the top of the meter against the surface to be measured. While measuring, the whole probe-area must have contact to the surface.
NOTE!
In doing so, hold only the lower part of the instrument to ensure that your hand affects the measurement results as little as possible. Maintain a distance of approx. 10 – 15 cm to the wall / ceiling corners. - To perform the measurement, keep the M key (3) pressed.
The Wöhler HBF 420 will establish a mean level of moisture which is calculated from the water content of various penetrated layers and provide a reading in digits on the display.
If the material code has been correctly selected taking the bulk density into consideration, the following values can be used as an indicator for orientation purposes based on a normal drying process of mineral construction material.
- Indicated value 0.0 … 5.0: dry
- Indicated value 5.1 … 9.9: normal
- Indicated value 10.0 and higher moist
NOTE!
Amongst other factors, the following should be observed:
The measurement result can be distorted by underground metal (electrical cables, structural steel, etc.)
The material should have a sufficient thickness to accommodate the penetration depth.
Water is generally not distributed evenly in building materials; therefore measurements should be taken at several different points and, if necessary, weighted mean values determined.
Calibration check
You can easily check the calibration of the meter with the aid of the two calibration points on the two protection caps. Depending on the protection cap, an 18 % or a 25 % humidity calibration check can be done.
- Switch on the meter and enter the wood temperature 20 °C.
- Select “resistance measurement” (see chapter 4.1).
- Select material code Cd00 (see chapter 4.2).
- Press the M key (2) to enter the measuring mode.
- Connect the needles of the Wöhler HBF 420 or the Wöhler Wood Moisture Probe to the points.
- Keep the the M button (2) pressed for four seconds. The value indicated in the display should be u = 18 or u = 25 depending on which protection cap was used. If the indicated value differs more than ± 0.90 or ± 1.25 respectively, we recommend to send us the de-vice for calibration.
Changing the batteries
If the battery voltage gets too low, the battery symbol is displayed and the display contrast becomes weaker. The battery should be replaced.
- To do so open the battery compartment at the rear of the instrument, remove the old batter-ies and replace it with 4 new batteries 1.5 V, AAA. Observe the right polarity.
Error message
| Error code | Reason | Troubleshooting |
| L04 | The error code L04 will appear in case of a negative reading. | Carry out a zero point calibration, see chapter 0. |
Maintenance and care
Proper operation of the Wöhler HBF 420 requires regular control of the electrodes. (see chapter 5.1, resistance measurement). The lifetime of the electrodes depends on the treatment of the meter and on the hardness of the wood. The user himself can change the electrodes. The following maintenance work has to be done.
Maintenance work
| Interval | Maintenance work |
| Regularly | Control the distance be- tween the electrodes (25 mm) |
| When the electrodes are damaged or bro- ken | Broken or damaged nee- dles can be exchanged by the needle-kit delivered with the device (see fig. 3.1, part 9) Loosen the damaged needles with an appropriate tool (gripper, screw wrench or ring wrench). Replace the damaged needles by the needle-kit and fix the new needles with the tool. ATTENTION! The tips of the needles are very sharp. Therefore the nee- dle-kit should always be protected by the protection sponge. |
| In case of pollution | Only clean the meter with a soft cloth if necessary. Make sure that no water can penetrate into the meter. |
Warranty and Service
Warranty
Each Wöhler HBF 420 will be tested in all func-tions and will leave our factory only after extensive quality control testing. If used properly, the war-ranty period for the Wöhler HBF 420 will be twelve month from the date of sale. Electrodes and bat-teries are not covered by this warranty.
This warranty does not cover the freight and pack-ing costs when the device is sent to the factory for repair.
Service
Service by non authorized personnel or making modifications to the analyzer voids any warranty.
Wöhler has built our reputation on excellence in customer service. Therefore, of course, we are readily available to assist you after the warranty period ends.
- Send us the meter and we will repair it and return it to you with our package service.
- Immediate help is provided by our technical staff over the telephone.
Accessories
Wood moisture probe
Wöhler Wood moisture probe
Measuring the material temperature Order no. 2522
Wöhler IR Temp 219 Infrared Thermometer Order no. 6612
Declaration of conformity
The product
product name: Moisture Meter for Wood and Building Materials
model number: Wöhler HBF 420
complies with the key safety requirements set down in the guidelines of the Council for the Harmonization of the Legal Requirements of the Member States in relation to the electromagnetic compatibility (2014/30/EU).
The following standards were availed of to evaluate the product in respect of the electromagnetic compatibility:
- DIN EN 55011 (04/2011) high frequency interference
- DIN EN 61326-1 (10/2006) interference immunity
- DIN EN 61000-4-2 (12/2009) discharging of static electricity
- DIN EN 61000-4-3 electromagnetic HF field
Bad Wünnenberg, 04.08.2022
Dr. Stephan Ester, Geschäftsführer/Managing Director
Short Manual : Settings

Short manual “Measuring” 
Points of sale and service
Germany
Wöhler Technik GmbH
Wöhler-Platz 1
33181 Bad Wünnenberg
Tel.: +49 2953 73-100
Fax: +49 2953 73-96100
[email protected]
www.woehler.de
Wöhler West
Steiger-Stein-Str. 5
44805 Bochum
Tel.: +49 234 516993-0
Fax: +49 234 516993-99
[email protected]
Wöhler Süd
Gneisenaustr.12
80992 München
Tel.: +49 89 1589223-0
Fax: +49 89 1589223-99
[email protected]
USA
Wohler USA Inc.
208 S Main Street
Middleton, MA 01949
Tel.: +1 978 750 9876
www.wohlerusa.com
Italy
Wöhler Italia srl
Via Coraine 21
37010 Costermano VR
Tel. +39 045 6200080
Fax. +39 045 6201508
www.woehler.it
Austria
Wöhler GmbH
Heinrich-Schneidmadl-Str. 15
3100 St. Pölten
Tel.: +43 2742 90855-11
Fax: +43 2742 90855-22
[email protected]
Czech Republic
Wöhler Bohemia s.r.o.
Za Naspern 1993
393 01 Pelhrimov
Tel.: +420 565 323 076
Fax: +420 565 323 078
[email protected]
France
Wöhler France SARL
7 impasse de Grousset
31590 Lavalette
Tel.: +33 5 61 52 40 39
Fax: +33 5 62 27 11 31
[email protected]
www.woehler.fr
Your contact:___________________



















