0.584.352 IFC Board Module
User Guide
SIT Proflame II (GTMF) System
Intermittent Pilot Ignition System
System Overview & Troubleshooting Guide
In order to troubleshoot any product, it is important to understand the basic operation and functions of that product. The following information will assist you through this process.
Kozy Heat welcomes your questions while you are at the job site. 800-253-4904
This guide is ONLY intended for professional or trained technicians.
System Overview:
The primary components that are included in the SIT Proflame II GTMFS System
SIT Proflame GTMF Gas Valve

Solenoids on Valve:
EV1 (Pilot Connection Coil):
- Opens and closes to release gas to the pilot
- Orange in color furthest from the step motor
- 5VDC and drops to 1.0VDC (test image shown on pg 16)
EV2 (Main Burner Coil):
- Opens and closes to release gas to the burner (needs rectification at pilot before voltage)
- Green in color closest to step motor
- 5VDC and drops to 1.0VDC (test image shown on pg 16)
Gas Pressure: Very Important for the Function of an IPI Pilot Assembly
Inlet Pressure Test Point
- Measures the amount of gas coming into the valve
- NG 5.0” WC to 7.0” WC
- LP 11.0” WC to 13” WC
- Critical to check this with all gas appliances on in-house (Full Load Check)
Outlet Pressure Test Point
- Measures the amount of gas leaving the valve to burner orifices
- Need to have EV2 energized or burner turned on to verify
Pilot Adjustment Screw:
- Do not adjust as this is factory set by the valve manufacturer.
Integrated Fireplace Control (IFC Module)

The IFC module:
- Acts as the “brain” of the IPI system sending commands to specific areas
- Powered by 120VAC with an additional battery backup in case of main power loss.
Testing Power Voltage:
- AC Power (Pins red and black) would be about 6.5VAC (See test images on pg 15)
Diagnostic LEDs:
- This area contains LEDs that provide the technician with lockout codes.
- For more information on LED Indicator lights and Lockout, codes see page 9.
Pilot Assembly
Pilot Assembly is comprised of three parts
- Pilot Hood
– Splits the flame into two for the burner and flame sensor. - Igniter
– provides the spark to the pilot hood - Flame Sensor
– Rectifies the pilot is lit and carries the voltage to the IFC module to stop sparking and allow the main burner to open.
– Without rectification igniter will still, spark and the burner will not turn on.
Remote Control


The Pro flame transmitter uses radio frequency to communicate information to the receiver box located in the fireplace.
The transmitter is powered by three (3) AAA batteries. As these batteries begin to wear down the blue backlight feature on the remote will deactivate indicating the batteries as beginning to lower. Approximately after this happens the homeowner has about 2 – 3 weeks to change out batteries.
There is also an indicator on the display to indicate the low battery in the transmitter.
Remote Control Button Function
ON/OFF Key
- Pressing this button one time will turn the fireplace ON in manual mode. Pressing it once more will turn the fireplace off.
Note: The thermostat image on the left should read OFF for the fireplace to run manually.
THERMOSTAT Key 3 Settings
- ON
– The fireplace will operate in thermostat mode with the ability to manually set the flame height. - OFF
– Thermostat is off, but will operate manually from the remote using the ON/OFF key. - SMART
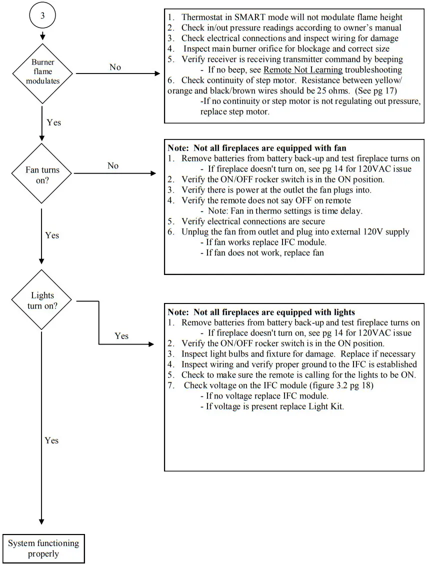
– Works just the same as an ON thermostat, but the SMART function will modulate the flame height as the fireplace nears the set temperature.
MODE Key
Pressing the MODE key will cycle the display screen from flame modulation to fan modulation, to light kit on/off.
Use the UP/DOWN Arrow Key to adjust each setting accordingly.
Remote Control Display Icons
Key Lock
To activate the child lock, press the Mode Key and the Up Arrow Key at the same time.
To deactivate press the same button sequence.
Fahrenheit / Celsius Adjustment:
With the system in the OFF position, press the Thermostat Key and the Mode Key at the same time.
Continuous Pilot/Intermittent Pilot
CPI/IPI
This system has the option of a continuous (standing) pilot feature. By having the pilot on continuously the firebox remains warm and a draft is established allowing an easy start.
With the system OFF, press Mode to index the CPI icon. Using the arrow key select CPI or IPI mode.
A snowflake icon will be visible during setup and will remain visible in CPI mode.
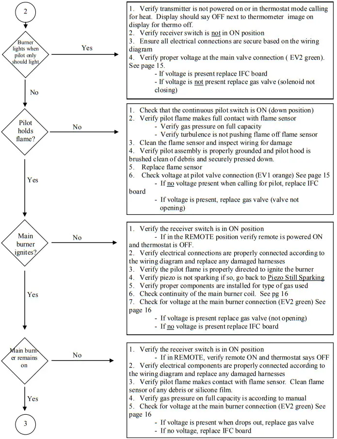
SIT Proflame 2 IFC Module Ignition and Reset Information
Ignition Sequence:
Starting from OFF, press the remote power button. Approximately four seconds after it is pushed the IFC module will send a spark to the pilot hood. It will spark for 60 seconds.
If there is no flame ignition (rectification) during the first try for ignition, the IFC module will stop sparking for approximately 35 seconds, and then it will begin sparking again. The second attempt will spark for another 60 seconds.
If there is no positive rectification after the second sequence the IFC module will go into a Lock Out and the LED Indicator Light will blink three times in intervals until the system is reset.
In Summary:
- The ignition sequence is 60 seconds spark, 35 seconds wait, 60 seconds spark, and then lock out if the flame is not rectified.
- Lock Out blink on the LED Indicator Light is 3 blinks in sequence
Resetting Proflame IFC Module When In Lock Out:
Reset Using the Transmitter ON/OFF power button:
Turn the system off by pressing the remote power button. After approximately 2 seconds press it again.
Reset Using the Remote Flame Adjustment buttons:
In the manual mode, use the down arrow to lower the flame all the way to OFF. Wait 2 seconds and then use the up arrow to turn the flame back on.
Reset Using Receiver Switch:
With the remote off, move the ON-REMOTE-OFF switch to the OFF position on the receiver box. Wait approximately 2 seconds and slide back to the ON position.
(Note: You will need to move to REMOTE if you prefer to turn it on via remote).
Low Battery Condition (<4V) Remote Control:
Battery Icon will appear on LCD remote control display. Replace batteries.
Low Battery Condition (<4V) Battery Backup:
Red LED Indicator will blink (1) time in intervals. Low double-beep emitted from the IFC control module when it receives an ON/OFF command from the remote control. Replace Batteries.
Pilot Flame Error Condition: Red LED Indicator will blink (2) times in intervals. Contact your dealer if this occurs.
System Lock Out Condition: Red LED Indicator will blink (3) times in intervals. Make sure the gas is turned on. Make sure the sensor is not shorted. Follow Reset IFC Control Module When System Goes Into Lock Out instructions above.
Remote Not Learning to Receiver

Troubleshooting



Verifying Power Supply to IFC Module
The following images are a series of tests to determine if 120V is supplied throughout the system.
Figure 1.1 shows the location of the incoming power on the IFC module.
Figure 1.2 displays how to test if 120VAC is supplied to the IFC module. Take note that if you are getting 0VAC out of this test, make sure the POWER switch is in the ON position and if so test the outlet the unit is plugged into for power.
Note: This test will be a VAC reading
Figure 1.3 would be the battery backup power supply test. It is important to get your multimeter pins on the contacts for an accurate reading. The power supplied should be approximately 6.2VDC.
Note: This test will be a VDC reading
Verifying Voltage on Solenoids (EV1 and EV2)
This test performed would be done if we wanted to know if the IFC module is supplying power to the Pilot solenoid (EV1) telling it to open.
The multimeter would be in VDC.
EV1 Solenoid
One multimeter pin would be placed on the ground at the top of the valve where the yellow/ green wire connects, while the other pin would be placed on the spade connection where the Orange wire connects to the EV1 solenoid.
Initially, when you turn on the pilot you will get a reading of about 4.292VDC (Figure 2.1) and drop to about 0.940 (Figure 2.2).
This reading tells us the IFC module is sending power through the harness to open the corresponding solenoid.
If you are getting power and the valve is still not supplying gas our focus would be gas turned on, pilot lined crimped, or bad valve. (see troubleshooting tree for complete steps)
EV2 Solenoid
To test Burner solenoid (EV2) follow the same process, but connect multimeter pins to the ground and to the green solenoid and NOT the orange.
Important: To test the Burner Solenoid (EV2) there would need to be a proven/ rectified pilot flame.
Performing Ohms Reading of Valve Solenoids
This test performed in Figures 3.1 and 3.2 is a continuity test of the valve solenoids. Your multimeter would need to be in the Ohmsposition and disconnect the wiring harness from EV1 and EV2.
Using one multimeter pin on the solenoid and the other on the ground your reading should be approximately 331.4 ohms.
Same process is conducted for either EV1 or EV2, just need to touch the corresponding spade connector.

Performing Ohms Reading on Step Motor
This test performed in Figure 4.1 is a continuity test of the step motor. Your multimeter would need to be in the Ohms position and disconnect the wiring harness from the step motor to expose the leads.
Using a multimeter place the two pins on the two leads of the connector. Your readingshould be approximately 25.4 ohms.
Performing Voltage Readings on Light and Fan Kits
This test performed in Figures 3.1 and 3.2 is a voltage test of the fan and light terminals on the board. Your multimeter would need to be in the DC voltage position.
Using one multimeter pin on the black lead and the other on the white lead your reading should be approximately 118 VDC on HI.
The same process is conducted for either the fan kit (figure 3.1) or the light kit (figure 3.2).























