sauermann Si-DPMS Differential Pressure Switches

Product Information
The Si-DPMS is a differential air pressure switch with a membrane. It is designed for controlling air treatment system installations. The switch allows for establishing a switching contact when the cut-off pressure exceeds a certain threshold. It can be mounted in parallel with a manometer and is suitable for controlling systems working under or over pressure, such as fans or filters.
Description
Please read the user manual carefully before commissioning the pressure switch.
Model
The Si-DPMS is available in different models with varying setting ranges and switching differentials:
- Si-DPMS-1: Setting range 20-200 Pa, Switching Differential 10 Pa
- Si-DPMS-2: Setting range 50-500 Pa, Switching Differential 20 Pa
- Si-DPMS-3: Setting range 200-1000 Pa, Switching Differential 100 Pa
- Si-DPMS-4: Setting range 500-2500 Pa, Switching Differential 150 Pa
- Si-DPMS-5: Setting range 1000-5000 Pa, Switching Differential 250 Pa
Note: Pressure values are referred to vertical installation. If the device is installed horizontally, these values increase by 20 Pa.
Maximum Pressure
The maximum pressure that the Si-DPMS can handle is 10,000 Pa.
Tolerances
No specific information about tolerances is provided in the user manual.
General Features
- Media: Air
- Maximum Pressure: 10,000 Pa
- Voltage: Not specified
- Mounting: Not specified
- Protection: Not specified
- Operating Temperature: Not specified
- Relay Type: Not specified
- Electrical Rating: Not specified
- Contact Terminals: Terminal
- Normally Closed (NC), Terminal
- Normally Open (NO), Terminal
- Normally Open (NO)
- Connection: Not specified
- Certification: Not specified
- Dimensions (mm): Not specified
Pressure Connectors
Sauermann offers a wide range of pressure connectors that can be used for installing the Si-DPMS differential pressure switches, including:
- Quick Coupler, Ref. KR 483
- Connector for Double-Skinned Wall, Ref. DP 447 and DP 339
Product Usage Instructions
- Before starting, make sure to disconnect the device from any power supply.
- Read the user manual carefully to understand the installation and operation instructions.
- Choose the appropriate Si-DPMS model based on the desired setting range and switching differential.
- Install the Si-DPMS in the air treatment system installation, either in parallel with a manometer or as required by the system design.
- If using pressure connectors, select the appropriate connector from Sauermann’s range.
- Connect the Si-DPMS to the air system according to the connection instructions.
- Set the device in the desired position, ensuring it is securely mounted.
- If the device is installed horizontally, adjust the pressure values by adding 20 Pa to the given setting range.
- Slowly increase the pressure in the system while monitoring the maximum pressure.
- Set the required threshold value pressure on the Si-DPMS dial (A). Do not force the dial when setting the threshold value.
- Test the lower and upper switching points by increasing or decreasing the pressure as needed.
- If necessary, adjust the switching points accordingly within the graduated setting range.
- Once the device is properly adjusted and tested, close the cover and reconnect any power supply if required.
Presentation
The differential air pressure switches with membrane are used for the control of air treatment system installations. They allow, without supply, to establish a switching contact during a cut-off pressure exceeding. They can be mounted in parallel with a manometer. They allow to control systems working under or over pressure, fans or filter.
Description
Before the commissioning of the pressure switch, please read carefully this user manual.
- Pressure values referred to vertical installation. If the device is installed horizontally, these values increase by 20 Pa.
- The differential pressure switches have a round shape and two connections of Ø 6.2 mm (for hoses, of Ø 5 x 8 mm for example).
- They are supplied with the needed installation accessories.
General features
- Media: Air, non-combustible and non-aggressive gases
- Maximum pressure: 10 kPa
- Voltage: 250 V / 1.5 A (0.4 A)
- Mounting: Vertical
- Protection: IP54 (with cover), IP00 (without cover)
- Operating temperature: -40 °C to 85 °C
- Relay type: SPDT
- Electrical rating: Resistance
- initial: < 50 mΩ
- Current: 1.5 A (0.4 A) / 250 V
- Contact terminals: 6.3 mm x 0.8 mm blade or screw terminal
- Connection: Ø 6.0 mm for tube connection
- Certification: CE
Dimensions (mm)

Connection and mounting positions
- Mounting position:
- Figure A: Recommended mounting position: vertical (factory calibration).
- Figure B: Horizontal mounting position, electrical connections upward. Real switching points are 20 Pa higher beside the dial indications (position not recommended).
- Figure C: Horizontal mounting position, electrical connections downward (position not recommended).

- Place the device into its intended location within your installation. Use the provided screws to fix its mounting support in the wall.
- Remove the safety plastic cover by unscrewing the fixing screw.
- Connect the wires using the provided accessories, follow the electrical connection diagram below. The cable gland can be orientated in a different angle, if needed.
- Adjust the switching point on the dial of the pressure switch, within the printed scale. Do not force the dial by excessively turning it.
- Put the safety plastic cover back again and fix it with the screw.
- Connect the pressure tubes to the corresponding pressure ports.
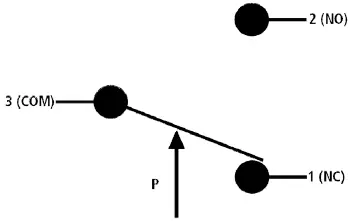
- Electrical connection
- Terminal 1: NC
- Terminal 2: NO
- Terminal 3: NO

- Disconnect the device from any power supply before opening the cover.
- Removing the safety plastic cover and performing the electrical connection of this product poses a high risk of electrocution if this device is connected to any power supply. Make sure that the device is not powered before any manipulation.
The electrical connection presented above is a schematic view of an electrical break contact. As long as the cut-off threshold is not exceeding, the terminal 3 remains connected to the terminal
- If the cut-off threshold is exceeded, the terminal 3 will then be connected to the terminal
- The electrical contact will be therefore established.
- Pressure connection
Sauermann offers a wide range on pressure connectors that can be used for installing the differential pressure switches Si-DPMS:- Quick coupler, Ref. KR 483.
- Connector for double-skinned wall, Ref. DP 447 and DP 339.
Switching point settings
- The dial allows to set the switching point. To settle the superior switching point (higher pressure), rotate the dial (A) in clockwise direction. Let slowly the pressure increase, (watch the max. pressure). Set the required threshold value pressure. Control the lower or upper switching points several times, by increasing or decreasing the pressure. If needed, adjust them.
- For vacuum service, establish the connection on P2. Settings are performed in the same way.

- Adjust the switch only in the graduated setting range.
- Do not force the dial (A) when setting the threshold value.
Distributed by Sauermann
ZA Bernard Moulinet – Rue Koufra 24700 Montpon-Ménestérol – France
T: +33 (0)5.53.80.85.00 sauermanngroup.com
NT_EN – Si-DPMS – 30/06/23
Non-contractual document
We reserve the right to modify the characteristics of our products without prior notice.



















