apogee SO-220 Oxygen Sensor User Manual
INTRODUCTION
Oxygen (O2) is the second most abundant gas in the atmosphere and is essential to life on Earth. Oxygen availability determines the rate of many biological and chemical processes and is required for aerobic respiration. As described in this manual, it is the absolute amount of oxygen (measured as partial pressure in kilopascals) that nearly always determines oxygen availability, but we think of oxygen as a percent of the total number of molecules in the air (20.95 %). The best example of this is the oxygen on top of Mount Everest, which is 20.95 %, but most climbers need supplemental oxygen to get to the top.
There are two types of oxygen sensors: those that measure gaseous O2 and those that measure dissolved oxygen in a solution. The Apogee sensor measures gaseous O2.
There are multiple techniques for measuring gaseous oxygen. Three widely used approaches for environmental applications are galvanic cell sensors, polarographic sensors, and optical sensors. The Apogee sensor is a galvanic cell type. Galvanic cell and polarographic sensors operate by electrochemical reaction of oxygen with an electrolyte, which produces an electrical current. The electrochemical reaction consumes a small amount of oxygen. Unlike polarographic oxygen sensors, galvanic cell sensors are self-powered. Optical oxygen sensors use fiber optics and a fluorescence method to measure oxygen via spectrometry.
Typical applications of Apogee oxygen sensors include measurement of oxygen in laboratory experiments, monitoring gaseous oxygen in indoor environments for climate control, monitoring of oxygen levels in compost piles and mine tailings, and determination of respiration rates through measurement of oxygen consumption in sealed chambers or measurement of oxygen gradients in soil/porous media. Apogee oxygen sensors are not intended for use as medical monitoring devices.
Apogee Instruments SO-100 and SO-200 series oxygen sensors consist of a galvanic cell sensing element (electrochemical cell), Teflon membrane, reference temperature sensor (thermistor or thermocouple), heater (located behind the Teflon membrane), and signal processing circuitry mounted in a polypropylene plastic housing and lead wires to connect the sensor to a measurement device. Sensors are designed for continuous gaseous oxygen measurement in ambient air, soil/porous media, sealed chambers, and in-line tubing (flow through applications). SO-100 and SO-200 series oxygen sensors output an analog voltage that is linearly proportional to the partial pressure of gaseous oxygen.
SENSOR MODELS
Apogee
| Model | Response | Reference Temperature Sensor |
| SO-110 | Standard | Thermistor |
| SO-120 | Standard | Type-k thermocouple |
| SO-210 | Fast | Thermistor |
| SO-220 | Fast | Type-k thermocouple |
Instruments offers four models of oxygen sensors:
The standard response sensor (SO-100 series) is designed for use in soil/porous media. It has a much longer expected lifetime than the fast response sensor (SO-200 series), which is designed for use in flow through applications.
Sensor model number and serial number are located on a label between the sensor and pigtail lead wires. If you need the manufacturing date of your sensor, please contact Apogee Instruments with the serial number of your sensor.

Accessories
All Apogee oxygen sensors can be purchased with attachments to facilitate measurements in soil/porous media or in-line tubing.
Model AO-001: Diffusion head designed for measurements in soil/porous media. The diffusion head maintains an air pocket and provides protection to the permeable Teflon membrane where gas diffusion occurs.

Model AO-002: Flow through head designed for in-line measurements. The flow through head allows connection of tubing via ¼ inch barbed nylon connectors.

Nodel AO-003: Connection Nut. The custom-size nut and o-ring used to connect and seal Apogee Oxygen sensors to jar lids and other containers for gaseous oxygen studies.

SPECIFICATIONS
SO-100 Series Slower Response Higher Output
SO-200 Series Faster Response Lower Output
| Response Time (time required to read 90 % of saturated response) | 60 s | 14 s |
| Measurement Range | 0 to 100 % O2 | |
| Sensitivity (at sea level, 101.3 kPa) | 52-58 mV in 21 % O2; 2.6 mV per % O2; 26 µV per 0.01 % O2 | 12-13 mV in 21 % O2; 0.6 mV per % O2; 6 µV per 0.01 % O2 |
| Output at 0 % O2 | 5 % of output at 20.95 % O2 or 3 ± 2 mV | 2 % of output at 20.95 % O2 or 0.3 ± 0.2 mV |
| Measurement Repeatability | Less than 0.1 % of mV output at 20.95 % O2 | |
| Non-linearity | Less than 1 % | |
| Signal Decrease per Year | 1.8 % per year (1 mV per year) | 6.3 % per year (0.8 mV per year) |
| Oxygen Consumption Rate | 0.1 µmol O2 per day at 20.95 % O2 and 23 C (galvanic cell sensors consume O2 in a chemical reaction with the electrolyte, which produces an electrical current) | |
| Operating Environment | -20 to 60 C; 0 to 100 % relative humidity (non-condensing); 60 to 140 kPa; Note: Electrolyte will freeze at temperatures lower than -20 C. This will not damage the sensor, but the sensor must be at a temperature of -20 C or greater in order to make measurements. | |
| Input Voltage Requirement | 12 V DC continuous (for heater); 2.5 V DC excitation (for thermistor) | |
| Heater Current Draw | 6.2 mA | |
| Thermistor Current Draw | 0.1 mA DC at 70 C (maximum, assuming input excitation of 2.5 V DC) | |
| Dimensions | 32 mm diameter, 68 mm length | |
| Mass | 175 g (with 5 m of lead wire) | |
| Diffusion Head (Accessory) | 3.5 cm diameter; 3.5 cm length; 125 mesh screen | |
| Flow Through Head (Accessory) | 3.2 cm diameter; 8.56 cm length; ¼ inch barbed nylon connectors | |
| Cable | 5 m of six conductor, shielded, twisted-pair wire; additional cable available in multiples of 5 m; TPR jacket (high water resistance, high UV stability, flexibility in cold conditions); pigtail lead wires | |
| Influence from Various Gases
| Sensors are unaffected by CO, CO2, NO, NO2, H2S, H2, and CH4. There is a small effect (approximately 1 %) from NH3, HCl, and C6H6 (benzene). Sensors are sensitive to SO2 (signal responds to SO2 in a similar fashion to O2). Sensors can be damaged by O3 | |
DEPLOYMENT AND INSTALLATION
Apogee SO-100 and SO-200 series oxygen sensors are built with a polypropylene housing and are designed to be installed in soil/porous media or sealed chambers, in addition to air.
Note: To facilitate the most stable readings, sensors should be mounted vertically, with the opening pointed down and the cable pointed up. This orientation allows better contact between the electrolyte and signal processing circuitry.

The sensor is resistant to 2.7 G of shock, but vibration may influence sensitivity and should be minimized.
OPERATION AND MEASUREMENT
Connect the sensor to a measurement device (meter, datalogger, and controller) capable of measuring and displaying or recording a microvolt (µV) signal (the sensor output is 6 to 21 microvolts per 0.01 % O2 depending on the model). Measurement resolution and signal-to-noise ratio are maximized when the input range of the measurement device matches the output range of the sensor.
VERY IMPORTANT: Apogee changed wiring colors of our bare-lead sensors in March 2018. To properly connect to your data device, please note your serial number and use the appropriate wiring below.
Wiring for SO-110 and SO-210 with Serial Numbers 4607 and higher (or with a connector)
White: High side of differential channel (positive lead for O2 sensor)
Black: Low side of differential channel (negative lead for O2 sensor)
Green: Single-ended channel (positive lead for thermistor)
Yellow: 12 V port (positive lead for heater)
Blue: Ground (negative lead for thermistor and heater)
Red: Excitation channel (excitation for thermistor)
Clear: Shield/Ground
Wiring for SO-110 and SO-210 within Serial Number range 0-4606 (thermistor for sensor reference temperature measurement)
White: Excitation channel (excitation for thermistor)
Black: Low side of differential channel (negative lead for O2 sensor)
Green: Single-ended channel (positive lead for thermistor)
Yellow: 12 V port (positive lead for heater)
Orange: Analog ground (negative lead for thermistor)
Blue: Ground (negative lead for heater)
Red: High side of differential channel (positive lead for O2 sensor)
Clear: Analog ground (shield wire)
The oxygen sensor models with a thermistor for reference temperature measurement, SO-110 and SO-210, are recommended. Thermistors only use a single-ended datalogger channel (thermocouples use a differential channel) and do not require temperature measurement of the datalogger wiring panel (thermocouples require reference, or cold junction, temperature measurement, in addition to measurement of voltage from the thermocouple). Also, note that the O2 signal output can be measured either differential or single ended with a preference to differential if the extra channels are available.
Wiring for SO-120 and SO-220 with Serial Numbers 4607 and higher (or with a connector)
White: High side of differential channel (positive lead for O2 sensor)
Black: Low side of differential channel (negative lead for O2 sensor)
Yellow: 12 V port (positive lead for heater)
Blue: Ground (negative lead for heater)
Clear: Shield/Ground

Red: Low side of differential channel (negative lead for thermocouple)
Yellow: High side of differential channel (positive lead for thermocouple)
Wiring for SO-120 and SO-220 within Serial Number range 0-4606 (type-K thermocouple for sensor reference temperature measurement)
White: Ground (negative lead for heater)
Green: 12 V port (positive lead for heater)
Red: High side of differential channel (positive lead for O2 sensor)
Black: Low side of differential Channel (negative lead for O2 sensor)
Clear: Analog ground (shield wire)

Red: Low side of differential channel (negative lead for thermocouple)
Yellow: High side of differential channel (positive lead for thermocouple)
ABSOLUTE AND RELATIVE GAS CONCENTRATION
Gas concentration is described in two ways, absolute and relative concentration. The ideal gas law yields absolute gas concentration, often expressed in quantity per volume [mol m-3 ] or partial pressure [kPa]:
PV = nRT
where P is pressure [Pa], V is volume [m3], n is gas quantity [mol], T is temperature [K], R is the ideal gas constant (8.314 J mol-1 K-1), and rearrangement of equation (1) to solve for n / V or P yields absolute gas concentration (in mol m-3 or kPa, respectively). However, a simple and common way to report concentration of a specific gas in a mixture is by expressing it relative to other gases in the mixture, as a fraction or percentage. For example, the amount of oxygen in the atmosphere, assuming a dry atmosphere (no water vapor), is 0.2095 kPa O2 per kPa air, or 20.95 %. Atmospheric concentration of oxygen has remained constant for several hundred years at 20.95 %, and this percentage is the same at all elevations. However, absolute oxygen concentration does not remain constant (e.g., pressure decreases with elevation, thus, absolute oxygen concentration decreases with elevation). Absolute oxygen concentration determines the rate of most biological and chemical processes, but relative oxygen concentration is often reported. This is analogous to measuring and reporting relative humidity when absolute humidity is what determines evaporation rates. Absolute and relative gas concentration measurements can be expressed using several different units.
Units Used to Describe Absolute and Relative Gas Concentration Measurements
Absolute Amount of Gas
moles of O2 per unit volume
(e.g., moles per m3 or moles per liter) mass of O2 per unit volume
(e.g., grams per liter; O2 has a mass of 32 g per mole) partial pressure
(e.g., kilopascals [kPa])
Relative Amount of Gas
% O2 in air (e.g., 20.95 % in ambient air) mole fraction
(e.g., moles of O2 per mole of air; 0.2095 mol O2 per mole of ambient air; this can also be expressed as 0.2095 kPa O2 per kPa air)
Sensor Calibration
All Apogee oxygen sensors respond to absolute oxygen concentration in air, where common units of absolute gas concentration are partial pressure (e.g., kilopascals, kPa), mass per unit volume (e.g., grams per liter, g l-1), and number of molecules per unit volume (e.g., moles per liter, mol l-1). The absolute amount of oxygen in air is dependent on absolute (barometric) pressure and temperature, in addition to oxygen content of air. Therefore, Apogee oxygen sensors are not calibrated at the factory and must be calibrated by the user, where onsite calibration before first use is highly recommended.
The output of Apogee oxygen sensors is a linear function of absolute oxygen concentration. A simple linear calibration is generally used to derive a calibration factor used to convert sensor output to relative oxygen concentration. The calibration factor (CF, in kPa O2 mV-1) is derived by dividing ambient oxygen partial pressure (21.23 kPa at sea level assuming standard pressure of 101.325 kPa) by the measured voltage output from the sensor under ambient conditions (in air or over water in a sealed chamber) minus the measured voltage output under conditions of zero oxygen (0 kPa O2):

where PB is barometric pressure [kPa], 0.2095 multiplied by PB equals partial pressure of oxygen under ambient conditions [kPa], mVC is sensor voltage output [mV] during calibration, mV0 (on average = 3.0 mV for the SO- 110/120 and 0.3 mV for the SO-210/220) is sensor voltage output [mV] under zero oxygen (0 kPa O2), and CF is a linear multiplier that converts voltage measurements from the sensor to partial pressure of oxygen [kPa] using the equation:
O2 = CF × mVM – Offset
where mVM is measured voltage output [mV] and Offset is derived by multiplying CF by mV0. The voltage output during calibration, mVC, should be measured in a well-ventilated area. Do not breathe on the sensor, as exhaled breath has a much lower oxygen concentration than ambient air. If mV0 is not measured, it can be estimated to be
3.0 mV for SO-100 series sensors and 0.30 mV for SO-200 series sensors. It is recommend that mV0 be measured (in pure nitrogen gas) for applications where low values of oxygen (less than 10 kPa) will be measured. Precise measurements of hypoxic and anaerobic conditions can be made by making a periodic zero calibration of the sensor with ultra-pure nitrogen gas.
To convert sensor voltage output to partial pressure of oxygen (in kPa), multiply the measured voltage signal by the calibration factor, and then subtract the offset. For example, at sea level and 20.95 % O2:
Calibration Factor [kPa O2 per mV] * Sensor Output Signal [mV] – Offset [kPa] = Oxygen [kPa]
0.379 * 59.0 – 1.14 = 21.23
The calibration factor and offset are variable from sensor to sensor (those listed above are examples), and a sensor-specific calibration factor should be derived for each individual sensor. For routine oxygen measurements, the generic offset described above can be used. For measurements in air with less than 10 kPa (approximately 10 %) oxygen, a sensor-specific offset should be derived for each individual sensor.
Sensors can also be calibrated to measure relative oxygen concentration. The same procedure described for calibration to absolute oxygen is used, except ambient oxygen is set equal to 20.95 % (instead of 0.2095 multiplied by barometric pressure) to derive the calibration factor [% O2 mV-1]:

where mVC and mV0 are as described above. The offset is also derived in the same manner, where mV0 is multiplied by the calibration factor calculated from equation (4). Equation (3) is then used to produce relative oxygen measurements, when the calibration factor and offset derived from 20.95 % are used.
Changes in barometric pressure and temperature cause changes in absolute oxygen concentration, and as a result, changes in sensor signal output. This causes apparent changes in relative oxygen concentration, even though the relative amount of oxygen remains constant. Thus, barometric pressure and temperature corrections must be applied to relative oxygen measurements. Changes in absolute humidity (water vapor pressure of air) cause changes in absolute and relative oxygen concentration, as water vapor molecules displace and dilute oxygen molecules. Even though changes in water vapor content cause actual (not apparent) changes in relative oxygen concentration, water vapor effects are often corrected for to yield relative oxygen concentrations for a dry atmosphere.
Effect of Barometric Pressure on Oxygen Concentration
The ideal gas law, equation (1), shows that absolute gas concentration increases by 0.987 % at sea level for every 1 kPa increase in pressure (1 kPa / 101.325 kPa = 0.00987). For a sensor that measures absolute gas concentration, but is calibrated to read out in relative units, a 1 kPa pressure increase at sea level results in an apparent oxygen increase of 0.207 % (0.00987 * 20.95 % = 0.207 %) and an apparent relative oxygen concentration of 21.157 %. Relative gas concentration didn’t really increase, but absolute concentration, which is what sensors measure, did change. This shows up as an apparent change in relative concentration.
Due to lower barometric pressure at higher elevations, the percentage increase in absolute gas concentration per kPa increases with elevation. For example, at an elevation of 1378 m (Logan, Utah), barometric pressure is approximately 86 kPa and absolute gas concentration increases by 1.16 % for every 1 kPa increase in pressure (1 kPa / 86 kPa = 0.0116). Again, for a sensor that measures absolute gas concentration, but is calibrated to read out in relative units, this results in an apparent oxygen increase. In this example, 0.243 % for every 1 kPa increase in barometric pressure (0.0116 * 20.95 % = 0.243 %) and an apparent relative oxygen concentration of 21.193 %.
A barometric pressure correction should be applied to all oxygen sensors that are calibrated to read relative oxygen concentration. The equation to correct relative oxygen measurements for barometric pressure at any elevation is:

where O2M is measured oxygen concentration [%] (apparent oxygen concentration), PC is barometric pressure [kPa] at the time of calibration, and PM is barometric pressure [kPa] at the time of the current measurement.
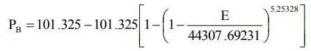
Approximate barometric pressure (PB, in kPa) for a given elevation is calculated from:

where E is elevation [m]. In order to make a barometric pressure correction on gas measurements, it must be continuously measured as it changes over time (see Apogee webpage for a barometric pressure sensor that can be used for continuous measurements of barometric pressure: http://www.apogeeinstruments.com/barometric- pressure/). The typical annual barometric pressure range is approximately 4 kPa, or the average pressure for a given elevation +/- 2 kPa.
The apparent effect of barometric pressure on relative oxygen measurements, based on calculations from equation (5), is plotted in the figure below for 1378 m elevation to show the significance of measuring and correcting for barometric pressure. If not accounted for, barometric pressure fluctuations show up in oxygen measurements as a change in relative oxygen concentration because sensors respond to absolute oxygen concentration, but are generally calibrated to read out in relative units.
A. Barometric pressure and absolute oxygen concentration at 20 C as a function of Equation (6) was used to calculate barometric pressure.
B. Effect of barometric pressure on apparent relative oxygen concentration. Oxygen sensors respond to absolute oxygen concentration, but are often calibrated to yield relative oxygen As barometric pressure fluctuates, absolute oxygen concentration, thus, oxygen sensor output, fluctuates with it, producing an apparent change in relative oxygen concentration if this pressure effect is not accounted for. It is assumed the sensor was calibrated at 86 kPa, and the solid line shows how the apparent relative oxygen concentration is dependent on barometric pressure.

Effect of Temperature on Oxygen Concentration
The ideal gas law, equation (1), shows that absolute gas concentration decreases by 0.341 % for a 1 C increase in temperature from 20 C (1 K / 293 K = 0.00341). For a sensor that measures absolute gas concentration, but is calibrated to read out in relative units, a 1 C temperature increase from 20 C results in an apparent decrease of 0.0714 % O2 (0.341 % * 0.2095 = 0.0714 %) and a relative oxygen concentration of 20.878 %. As with barometric pressure, to obtain accurate oxygen measurements with a sensor that is calibrated to read relative oxygen concentration, a correction should be applied to compensate for temperature effects. The equation to correct relative oxygen measurements in air for temperature effects is:

where O2M is as given above, TC is air temperature [K] at calibration, and TM is air temperature [K] at the time of measurement (note that temperatures in equation (7) must be in K). The effects of temperature on relative oxygen concentration measurements, based on calculations from equation (7), are plotted in the figure below to show the significance of measuring and correcting for temperature. If not accounted for, temperature fluctuations show up in the measurement as an apparent change in relative oxygen concentration because sensors respond to absolute oxygen concentration, but are calibrated to read out in relative units.
Sensor Response to Temperature
In practice, equation (7) does not accurately correct for temperature effects because in addition to the ideal gas law temperature effect, sensor electronics are affected by temperature. The combination of these two effects on Apogee oxygen sensors (SO-100 and SO-200 series) was determined from measurements in dry air across a wide temperature range by plotting pressure-corrected apparent oxygen concentration (i.e., measured oxygen concentration before temperature correction was applied) versus measured sensor temperature (TS). Neither of the sensor models (SO-100 or SO-200 series) follows the ideal gas law response, thus, an empirical correction derived from measured data must be applied to account for both the ideal gas law and sensor electronics responses:
3 O2 = O2M +C3TS +C T +C T +C
where TS is measured sensor temperature [C] (Apogee oxygen sensors come with a thermistor or type-K thermocouple temperature reference sensor); coefficients C3, C2, and C1 are listed in the figure below for both SO- 100 and SO-200 series sensors; and C0 is the offset coefficient calculated from measured temperature at calibration (TC, in C):
3 C0 = − (C3TC +C T +C T)
The temperature effect on sensor electronics is slightly variable from sensor to sensor, thus, F coefficients derived (average of three replicate sensors; error bars representing two standard deviations are shown in figure) may not yield the most accurate temperature correction for all sensors of the same model.

Empirically-measured temperature responses of SO-100 and SO-200 series oxygen sensors, with third order polynomials fit to data, compared to the theoretical temperature response calculated from the ideal gas law, equation (1). The difference between theoretical and measured responses is due to a temperature effect on sensor electronics. The polynomial coefficients used to correct for the temperature response with equation (8) are listed. An offset coefficient (C0) is not listed because it is dependent on temperature at calibration. It is calculated with equation (9). Sensors were calibrated at 20 C. As with barometric pressure, absolute oxygen concentration, thus, oxygen sensor output, varies with temperature. As temperature changes, relative oxygen concentration remains constant at 20.95 %, but an apparent oxygen change is measured if the temperature correction is not applied to relative measurements.
Effect of Humidity on Oxygen Concentration:
As absolute humidity in the atmosphere increases, water vapor molecules displace and dilute other gas molecules.
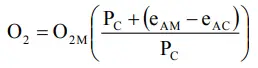
This causes the signal output of a gas sensor to decrease. The water vapor effect on relative oxygen concentration as a function of relative humidity (RH) and at a constant temperature is a linear decrease with increasing RH, as shown in the figure below. Conversely, the effect as a function of temperature at constant RH is a curvilinear decrease with increasing temperature, essentially the inverse of the slope of vapor pressure curves from a psychrometric chart. Even though water vapor molecules dilute and displace oxygen molecules, and cause an actual and not an apparent decrease in relative oxygen concentration, humidity effects are often accounted for to yield relative oxygen concentrations for a dry atmosphere. The equation to correct for humidity effects is:

where PC is barometric pressure at calibration [kPa], eAM is vapor pressure [kPa] of air at the time of measurement, and eAC is vapor pressure [kPa] of air at calibration. Vapor pressures in equation (10) are calculated from:

where RH is in % and eS is saturation vapor pressure [kPa] of air calculated from air temperature (TA, in C):

In soil environments relative humidity is generally between 99 and 100 %, unless the soil is extremely dry (below the permanent wilting point of -1,500 kPa). Thus, the water vapor effect can be accounted for as a function of temperature by correcting oxygen measurements based on the shape of the curve for 100 % RH in the graph below.
A) Relative humidity effects on relative oxygen concentration shown as a function of relative humidity at temperatures increments of 10 C and B) as a function of temperature at relative humidity increments of 20 %. The air in soil is typically always saturated with water vapor (100 % relative humidity) unless the soil is very dry.

As with temperature, humidity also causes a slight effect on the sensor electronics. For measurements in soil or saturated air (100 % relative humidity), it is recommended that Apogee oxygen sensors are calibrated in conditions where relative humidity is 100 %. A simple way to accomplish this is to mount the sensor in a sealed chamber over water, with ambient air filling the headspace, as shown below.
Apogee oxygen sensor mounted in a sealed chamber over water. For measurements in environments where relative humidity is 100 %, sensors should be calibrated in conditions where relative humidity is 100 % in order to account for any humidity effects on sensor electronics.

Temperature Measurement with Internal Thermistor
Measurement devices (e.g., datalogger, controller) do not measure resistance directly, but determine resistance from a half-bridge measurement, where an excitation voltage is input across the thermistor and an output voltage is measured across the bridge resistor.
NOTE: The wiring diagram below is based off the new wiring color for serial number 4607 and above.

An excitation voltage of 2.5 V DC is recommended to minimize self-heating and current drain, while still maintaining adequate measurement sensitivity (mV output from thermistor per C). However, other excitation voltages can be used. Decreasing the excitation voltage will decrease self-heating and current drain, but will also decrease thermistor measurement sensitivity. Increasing the excitation voltage will increase thermistor measurement sensitivity, but will also increase self-heating and current drain.
The internal thermistor provides a temperature reference for correction of relative oxygen measurements for temperature changes. Resistance of the thermistor changes with temperature. Thermistor resistance (RT, in Ω) is measured with a half-bridge measurement, requiring an excitation voltage input (VEX) and a measurement of output voltage (VOUT):

where 24900 is the resistance of the bridge resistor in Ω. From resistance, temperature (TK, in Kelvin) is calculated with the Steinhart-Hart equation and thermistor specific coefficients:

where A = 1.129241 x 10-3, B = 2.341077 x 10-4, and C = 8.775468 x 10-8.
Heating Sensor with Internal Heater
All Apogee oxygen sensors are equipped with an internal resistance heater. The heater is designed to maintain the temperature of the sensing element at approximately 2 C above ambient temperature in condensing (100 % relative humidity) environments (e.g., soil). Heating the sensing element keeps condensation from forming on the membrane, which would block the oxygen diffusion path and result in erroneous measurements. To operate the heater, apply continuous 12 V DC across the yellow (positive) and blue (negative) wires.
MAINTENANCE AND RECALIBRATION
Visual inspection of the Teflon membrane should be made periodically to verify that the oxygen path is free from obstruction, as shown below. Avoid placing sharp objects inside the sensor opening, as the membrane can easily be punctured.

Life Expectancy
Life expectancy of SO-100 is approximately ten years of continuous use in 20.95% oxygen and the signal decrease after 10 years is expected to be 20%. The life expectancy of the SO-200 series is approximately five years of continuous use in 20.95 % oxygen and the signal decrease after five years is expected to be 60%. Lifetime can be lengthened by storing sensors in cold temperatures (e.g., fridge or freezer) when not in use.
Sensor recalibration can be conducted periodically and should be determined by the level of measurement accuracy required for the application. Apogee recommends the SO-100 series be recalibrated every 2-3 years and the SO-200 series be recalibrated every year. Sensor signal decrease over one year when exposed to 20.95 % oxygen is shown in the figure below. SO-100 and SO-200 series sensors decrease by approximately 1 and 0.8 mV per year, respectively, or approximately 2 and 6 % of signal output at 20.95 % oxygen. This signal decrease yields increases in calibration factor of approximately 2 and 6 % for SO-100 and SO-200 series sensors, respectively.
Helpful Links
For tips on how to make calibration corrections for changes in environmental conditions, check out our technical support video at https://youtu.be/xnIyjfzFpa0.
For more information on sensor operation and calibration, as well as a link to the oxygen readings calculator, go to https://www.apogeeinstruments.com/oxygen-sensor-support/.
Long-term stability (output voltage decrease over time) of Apogee SO-100 and SO-200 series oxygen sensors. The response time and signal decrease for both series are also listed.

Sensor Storage
To prolong the life expectancy of Apogee sensors, storage at low temperature (in a refrigerator) and at low oxygen concentration is recommended. Care should be taken to not short the positive and negative leads for the O2 sensor as this may have an effect on the response time to oxygen.
If the sensor is stored in a 0% O2 environment for an extended period of time, the sensor’s offset becomes lower and response speed to O2 will become slower. In this case, the sensor will be able to recover to normal response speed after exposure to a normal environment for a period of 24 hours.
TROUBLESHOOTING AND CUSOTOMER SUPPORT
Independent Verification of Functionality
The oxygen sensing element inside Apogee SO-100 and SO-200 series oxygen sensors is a self-powered device that outputs a voltage signal proportional to partial pressure of gaseous oxygen. A quick and easy check of sensor functionality can be determined using a voltmeter with millivolt (mV) resolution. Connect the positive lead of the voltmeter to the white wire from the sensor and the negative lead (or common) to the black wire from the sensor. SO-100 series sensors should read approximately 60 mV at sea level in ambient air (20.95 % O2), and SO-200 series sensors should read approximately 12 mV at sea level in ambient air. These voltages will decrease by approximately 1 % per 100 meters of elevation increase above sea level.
The thermistor inside Apogee SO-110 and SO-210 oxygen sensors yields a resistance proportional to temperature. A quick and easy check of thermistor functionality can be accomplished with an ohmmeter. Connect the lead wires of the ohmmeter to the red and green wires from the sensor. The resistance should read 10 kΩ at 25 C. If the sensor temperature is less than 25 C, the resistance will be higher. If the sensor temperature is greater than 25 C, the resistance will be lower. Connect the lead wires of the ohmmeter to the green and blue wires from the sensor. The resistance should read 24.9 kΩ, and should not vary. Connect the lead wires of the ohmmeter to the red and blue wires from the sensor. The resistance should be the sum of the resistances measured across the red and green wires, and green and blue wires (e.g., 10 kΩ plus 24.9 kΩ at 25 C).
The thermocouple inside Apogee SO-120 and SO-220 oxygen sensors yields a voltage proportional to the temperature difference between the hot (thermocouple tip inside sensor) and cold (thermocouple pigtail lead wires) junctions. A quick and easy check of thermocouple functionality can be determined using a voltmeter in continuity mode. Connect the leads of the voltmeter to the leads of the thermocouple (polarity does not matter), and test for continuity. Continuity indicates a functional thermocouple.
Compatible Measurement Devices (Dataloggers/Controllers/Meters)
SO-100 series oxygen sensors have a calibration factor of approximately 0.39 kPa O2 per mV, yielding a sensitivity of approximately 2.6 mV per kPa O2. SO-200 series oxygen sensors have a calibration factor of approximately 1.7 kPa O2 per mV, yielding a sensitivity of approximately 0.6 mV per kPa O2. Thus, a compatible measurement device (e.g., datalogger or controller) should have resolution of at least 0.02 and 0.006 mV, in order to provide pressure resolution of 0.01 kPa O2 for the SO-100 and SO-200 series oxygen sensors, respectively.
The signal output range of SO-100 and SO-200 series oxygen sensors is approximately 3 to 250 mV and 0.3 to 60 mV, respectively. A compatible measurement device should also have a full scale range spanning the sensor signal output range.
An example datalogger program for Campbell Scientific dataloggers can be found on the Apogee webpage at http://www.apogeeinstruments.com/content/Oxygen-Sensor.CR1.
Modifying Cable Length
When the sensor is connected to a measurement device with high input impedance, sensor output signals are not changed by splicing on additional cable in the field. Tests have shown that if the input impedance of the measurement device is 1 mega-ohm or higher, then there is negligible effect on SO-100 and SO-200 series oxygen sensor calibrations, even after adding up to 100 m of cable. See Apogee webpage for details on how to extend sensor cable length (http://www.apogeeinstruments.com/how-to-make-a-weatherproof-cable-splice/). For cable extensions, shielded, twisted pair cable is recommended, in order to minimize electromagnetic interference. This is particularly important for long lead lengths in electromagnetically noisy environments.
RETURN AND WARRANTY POLICY
RETURN POLICY
Apogee Instruments will accept returns within 30 days of purchase as long as the product is in new condition (to be determined by Apogee). Returns are subject to a 10 % restocking fee.
WARRANTY POLICY
What is Covered
All products manufactured by Apogee Instruments are warranted to be free from defects in materials and craftsmanship for a period of four (4) years from the date of shipment from our factory. To be considered for warranty coverage an item must be evaluated by Apogee.
Products not manufactured by Apogee (spectroradiometers, chlorophyll content meters, EE08-SS probes) are covered for a period of one (1) year.
What is Not Covered
The customer is responsible for all costs associated with the removal, reinstallation, and shipping of suspected warranty items to our factory.
The warranty does not cover equipment that has been damaged due to the following conditions:
- Improper installation or abuse.
- Operation of the instrument outside of its specified operating range.
- Natural occurrences such as lightning, fire, etc.
- Unauthorized modification.
- Improper or unauthorized repair.
Please note that nominal accuracy drift is normal over time. Routine recalibration of sensors/meters is considered part of proper maintenance and is not covered under warranty.
Who is Covered
This warranty covers the original purchaser of the product or other party who may own it during the warranty period.
What Apogee Will Do
At no charge Apogee will:
- Either repair or replace (at our discretion) the item under warranty.
- Ship the item back to the customer by the carrier of our choice.
Different or expedited shipping methods will be at the customer’s expense.
How To Return An Item
- Please do not send any products back to Apogee Instruments until you have received a Return Merchandise Authorization (RMA) number from our technical support department by submitting an online RMA form at
www.apogeeinstruments.com/tech-support-recalibration-repairs/. We will use your RMA number for tracking of the service item. Call (435) 245-8012 or email [email protected] with questions. - For warranty evaluations, send all RMA sensors and meters back in the following condition: Clean the sensor’s exterior and cord. Do not modify the sensors or wires, including splicing, cutting wire leads, etc. If a connector has been attached to the cable end, please include the mating connector – otherwise the sensor connector will be removed in order to complete the repair/recalibration. Note: When sending back sensors for routine calibration that have Apogee’s standard stainless-steel connectors, you only need to send the sensor with the 30 cm section of cable and one-half of the connector. We have mating connectors at our factory that can be used for calibrating the sensor.
- Please write the RMA number on the outside of the shipping container.
- Return the item with freight pre-paid and fully insured to our factory address shown below. We are not responsible for any costs associated with the transportation of products across international borders.
Apogee Instruments, Inc. 721 West 1800 North Logan, UT 84321, USA - Upon receipt, Apogee Instruments will determine the cause of failure. If the product is found to be defective in terms of operation to the published specifications due to a failure of product materials or craftsmanship, Apogee Instruments will repair or replace the items free of charge. If it is determined that your product is not covered under warranty, you will be informed and given an estimated repair/replacement cost.
PRODUCTS BEYOND THE WARRANTY PERIOD
For issues with sensors beyond the warranty period, please contact Apogee at [email protected] to discuss repair or replacement options.
OTHER TERMS
The available remedy of defects under this warranty is for the repair or replacement of the original product, and Apogee Instruments is not responsible for any direct, indirect, incidental, or consequential damages, including but not limited to loss of income, loss of revenue, loss of profit, loss of data, loss of wages, loss of time, loss of sales, accruement of debts or expenses, injury to personal property, or injury to any person or any other type of damage or loss.
This limited warranty and any disputes arising out of or in connection with this limited warranty (“Disputes”) shall be governed by the laws of the State of Utah, USA, excluding conflicts of law principles and excluding the Convention for the International Sale of Goods. The courts located in the State of Utah, USA, shall have exclusive jurisdiction over any Disputes.
This limited warranty gives you specific legal rights, and you may also have other rights, which vary from state to state and jurisdiction to jurisdiction, and which shall not be affected by this limited warranty. This warranty extends only to you and cannot by transferred or assigned. If any provision of this limited warranty is unlawful, void or unenforceable, that provision shall be deemed severable and shall not affect any remaining provisions. In case of any inconsistency between the English and other versions of this limited warranty, the English version shall prevail.
This warranty cannot be changed, assumed, or amended by any other person or agreement
CERTIFICATE OF COMPLIANCE
EU Declaration of Conformity
This declaration of conformity is issued under the sole responsibility of the manufacturer:
Apogee Instruments, Inc.
721 W 1800 N
Logan, Utah 84321
USA
for the following product(s):
Models: SO-110, SO-120, SO-210, SO-220
Type: Oxygen Sensor
The object of the declaration described above is in conformity with the relevant Union harmonization legislation:
2014/30/EU Electromagnetic Compatibility (EMC) Directive
2011/65/EU Restriction of Hazardous Substances (RoHS 2) Directive
2015/863/EU Amending Annex II to Directive 2011/65/EU (RoHS 3)
Standards referenced during compliance assessment:
EN 61326-1:2013 Electrical equipment for measurement, control and laboratory use – EMC requirements
EN 50581:2012 Technical documentation for the assessment of electrical and electronic products with respect to the restriction of hazardous substances
Please be advised that based on the information available to us from our raw material suppliers, the products manufactured by us do not contain, as intentional additives, any of the restricted materials including lead (see note below), mercury, cadmium, hexavalent chromium, polybrominated biphenyls (PBB), polybrominated diphenyls (PBDE), bis(2-ethylhexyl) phthalate (DEHP), butyl benzyl phthalate (BBP), dibutyl phthalate (DBP), and diisobutyl phthalate (DIBP). However, please note that articles containing greater than 0.1% lead concentration are RoHS 3 compliant using exemption 6c.
Further note that Apogee Instruments does not specifically run any analysis on our raw materials or end products for the presence of these substances, but rely on the information provided to us by our material suppliers.
Signed for and on behalf of:
Apogee Instruments, February 2021

Bruce Bugbee
President
Apogee Instruments, Inc.
APOGEE INSTRUMENTS, INC. | 721 WEST 1800 NORTH, LOGAN, UTAH 84321, USA
TEL: (435) 792-4700 | FAX: (435) 787-8268 | WEB: APOGEEINSTRUMENTS.COM
Copyright © 2021 Apogee Instruments, Inc.



















