
OWNER’S MANUAL
OXYGEN METER
Model MO-200
Rev: 1-Jun-2021
CERTIFICATE OF COMPLIANCE
EU Declaration of Conformity
This declaration of conformity is issued under the sole responsibility of the manufacturer:
Apogee Instruments, Inc.
721 W 1800 N
Logan, Utah 84321
USA
for the following product(s):
Models: MO-200
Type: Oxygen Meter
The object of the declaration described above is in conformity with the relevant Union harmonization legislation:
2014/30/EU Electromagnetic Compatibility (EMC) Directive
2011/65/EU Restriction of Hazardous Substances (RoHS 2) Directive
2015/863/EU Amending Annex II to Directive 2011/65/EU (RoHS 3)
EN 61326-1:2013 Electrical equipment for measurement, control, and laboratory use – EMC requirements
EN 50581:2012 Technical documentation for the assessment of electrical and electronic products with respect to the restriction of hazardous substances
Please be advised that based on the information available to us from our raw material suppliers, the products manufactured by us do not contain, as intentional additives, any of the restricted materials including lead (see note below), mercury, cadmium, hexavalent chromium, polybrominated biphenyls (PBB), polybrominated biphenyls (PBDE), bis(2-Ethylhexyl) phthalate (DEHP), butyl benzyl phthalate (BBP), dibutyl phthalate (DBP), and diisobutyl phthalate (DIBP). However, please note that articles containing greater than 0.1% lead concentration are RoHS 3 compliant using exemption 6c.
Further note that Apogee Instruments does not specifically run any analysis on our raw materials or end products for the presence of these substances, but rely on the information provided to us by our material suppliers.
Signed for and on behalf of:
Apogee Instruments, June 2021 
Bruce Bugbee
President
Apogee Instruments, Inc.
INTRODUCTION
Oxygen (O2) is the second most abundant gas in the atmosphere and is essential to life on Earth. Absolute oxygen concentration determines the rate of many biological and chemical processes. Oxygen is required for aerobic respiration. In addition to measurements of absolute oxygen concentration, the relative oxygen concentration is also often measured and reported.
Oxygen sensors are used to measure gaseous or dissolved oxygen. There are multiple different techniques for measuring gaseous oxygen. Three of the more widely used sensors for environmental applications are galvanic cell sensors, polarographic sensors, and optical sensors. Galvanic cell and polarographic sensors operate similarly, by the electrochemical reaction of oxygen with an electrolyte to produce an electrical current. The electrochemical reaction consumes a small amount of oxygen. Unlike polarographic oxygen sensors, galvanic cell sensors are self-powered and do not require input power for operation. Optical oxygen sensors use fiber optics and a fluorescence method to
measure oxygen via spectrometry.
Typical applications of Apogee oxygen meters include measurement of oxygen in laboratory experiments, monitoring gaseous oxygen in indoor environments for climate control, monitoring of oxygen levels in compost piles and mine tailings, and determination of respiration rates through measurement of oxygen consumption in sealed chambers or measurement of oxygen gradients in soil/porous media. Apogee oxygen sensors are not intended for use as medical monitoring devices.
Apogee Instruments MO-200 oxygen meters consist of a handheld meter and a dedicated oxygen sensor connected by cable. The separate sensor consists of a galvanic cell sensing element (electrochemical cell), Teflon membrane, and signal processing circuitry mounted in a polypropylene plastic housing. The MO-200 oxygen meter includes manual or automatic data logging features for making spot-check measurements or monitoring oxygen concentration over time.
SENSOR MODELS
Apogee MO-200 oxygen meter covered in this manual is self-contained and comes complete with a handheld meter and sensor. 
The sensor model number and serial number are located on a label on the backside of the handheld meter.
Accessories
All Apogee oxygen meters can be purchased with attachments to facilitate measurements in soil/porous media or in-line tubing.
Model AO-001: Diffusion head designed for measurements in soil/porous media. The diffusion head maintains an air pocket and provides protection to the permeable Teflon membrane where gas diffusion occurs. 
Model AO-002: Flow-through head designed for in-line measurements. The flow-through head allows the connection of tubing via ¼-inch barbed nylon connectors. 
Model AO-003: Connection Nut. The custom-size nut and o-ring are used to connect and seal Apogee Oxygen sensors to jar lids and other containers for gaseous oxygen studies.

SPECIFICATIONS
MO-200
| Measurement Range | 0 to 100 % O2 |
| Measurement Repeatability | ± 0.1 % at 20.9 % O2 |
| Non-linearity | Less than 1 % |
| Oxygen Consumption Rate | 0.1 µmol O2 per day at 20.9 % O2 and 23 C (galvanic cell sensors consume O2 in a chemical reaction with the electrolyte, which produces an electrical current) |
| Response Time | 14 s (time required to read 90 % of saturated response) |
| Operating Environment | 0 to 50 C; less than 90 % non-condensing relative humidity up to 30 C; less than 70 % non-condensing relative humidity from 30 to 50 C; 60 to 140 kPa; Note: Electrolyte will freeze at temperatures lower than -20 C. This will not damage the sensor, but the sensor must be at a temperature of -20 C or greater in order to make measurements. |
| Meter Dimensions | 126 mm length; 70 mm width; 24 mm height |
| Sensor Dimensions | 32 mm diameter; 68 mm length |
| Diffusion Head (Accessory) | 35 mm diameter; 35 mm length; 125 mesh screen |
| Flow-Through Head (Accessory) | 32 mm diameter; 91 mm length; ¼ inch barbed nylon connectors |
| Mass | 210 g |
| Cable | 2 m of two-conductor, shielded, twisted-pair wire; TPR jacket (high water resistance, high UV stability, flexibility in cold conditions) |
| Influence from Various Gases | Meters are unaffected by CO, CO2, NO, NO2, H2S, H2, and CH4. There is a small effect (approximately 1 %) from NH3, HCl, and C6H6 (benzene). Sensors are sensitive to SO2 (signal responds to SO2 in a similar fashion to O2). Sensors can be damaged by O3. |
DEPLOYMENT AND INSTALLATION
The sensors on Apogee MO-200 oxygen meters are built with polypropylene plastic housing and are designed to be installed in soil/porous media or sealed chambers, in addition to air. To facilitate the most stable readings, sensors should be mounted vertically, with the opening pointed down and the cable pointed up. This orientation allows better contact between the electrolyte and signal processing circuitry.

Apogee oxygen sensors are resistant to 2.7 G of shock, but vibration may influence sensor sensitivity and should be minimized.
BATTERY INSTALLATION AND REPLACEMENT
Use a Phillips head screwdriver to remove the screw from the battery cover. Remove the battery cover by slightly lifting and sliding the outer edge of the cover away from the meter.
To power the meter, slide the included battery (CR2320) into the battery holder, after removing the battery door from the meter’s back panel.

NOTE: The battery cradle can be damaged by using an incorrectly sized battery. If the battery cradle is damaged, the circuit board will need to be replaced. To avoid this costly problem, use only a CR2320 battery.
Battery Removal
Press down on the battery with a screwdriver or similar object. Slide battery out.

If the battery is difficult to move, turn the meter on its side so that the opening for the battery is facing downward and tap the meter downward against an open palm to dislodge the battery enough so that it can be removed with your thumb to slide the battery out of the battery holder.
OPERATION AND MEASUREMENT
MO-200 oxygen meters are designed with a user-friendly interface allowing quick and easy measurements.
Press the power button to activate the LCD display. After two minutes of non-activity, the meter will revert to sleep mode and the display will shut off to conserve battery life.
Press the mode button to access the main menu, where the user can calibrate the meter, select the appropriate logging (manual or automatic), and where the meter can be reset.
Press the sample button to log a reading while taking manual measurements.
Press the up button to make selections in the main menu. This button is also used to view and scroll through the logged measurements on the LCD display.
Press the down button to make selections in the main menu. This button is also used to view and scroll through the logged measurements on the LCD display.
The LCD display consists of the total number of logged measurements in the upper right-hand corner, the real-time percent oxygen concentration in the center, and the selected menu options along the bottom.
Calibration: To calibrate place the oxygen sensor in a well-ventilated area. Do not breathe on the sensor, as an exhaled breath has a much lower oxygen concentration than ambient air. Push the mode button twice (RUN should be blinking), then while pressing the sample button push the mode button once. The LCD display will show “CAL” before updating with a value of 20.9 %. The calibration can be performed as often as necessary.
Logging: To choose between manual or automatic logging, push the mode button once and use the up/down buttons to make the appropriate selection (SMPL or LOG). Once the desired mode is blinking, press the mode button two more times to exit the menu. When in SMPL mode press the sample button to record up to 99 manual measurements (a counter in the upper right-hand corner of the LCD display indicates the total number of saved measurements). When in LOG mode the meter will power on/off to make a measurement every 30 seconds. Every 30 minutes the meter will average the sixty 30-second measurements and record the averaged value to memory. The meter can store up to 99 averages and will start to overwrite the oldest measurement once there are 99 measurements. For every 48 averaged measurements (making a 24-hour period), the meter will record an average daily value.
Reset: To reset the meter, in either SMPL or LOG mode, push the mode button twice (RUN should be blinking), then while pressing the down button, press the mode button once. This will erase all of the saved measurements in memory, but only for the selected mode. That is, performing a reset when in SMPL mode will only erase the manual measurements, and performing a reset when in LOG mode will only erase the automatic measurements.
Review/Download Data: Each of the logged measurements in either SMPL or LOG mode can be reviewed on the LCD display by pressing the up/down buttons. To exit and return to the real-time readings, press the sample button. Note that the integrated daily total values are not accessible through the LCD and can only be viewed by downloading to a computer.
Downloading the stored measurements will require the AC-100 communication cable and software (sold separately). The meter outputs data using the UART protocol and requires the AC-100 to convert from UART to USB, so standard USB cables will not work. Set-up instructions and software can be downloaded from the Apogee website (http://www.apogeeinstruments.com/ac-100-communcation-cable/).

Absolute and Relative Gas Concentration
The gas concentration is described in two ways, absolute and relative concentration. The ideal gas law yields absolutely gas concentration is often expressed in quantity per volume [mol m-3 ] or partial pressure [kPa]:
PV =nRT
where P is pressure [Pa], V is volume [m 3 ], n is gas quantity [mol], T is temperature [K], R is the ideal gas constant (8.314 J mol -1 -1 K ), and rearrangement of equation (1) to solve for n / V or P yields absolute gas concentration (in -3 mol m or kPa, respectively). However, a simple and common way to report the concentration of a specific gas in a mixture is by expressing it relative to other gases in the mixture, as a fraction or percentage. For example, the amount of oxygen in the atmosphere, assuming a dry (no water vapor) atmosphere, is 0.2095 kPa O2 per kPa air, or 20.95 %. The atmospheric concentration of oxygen has remained constant for several hundred years at 20.95 %, and this percentage is the same at all elevations. However, absolute oxygen concentration does not remain constant, as pressure decreases with elevation. Absolute oxygen concentration determines the rate of most biological and chemical processes, but relative oxygen concentration is often reported. This is analogous to measuring and reporting relative humidity when absolute humidity is what determines evaporation rates. Absolute and relative gas concentration measurements can be expressed using several different units.
Units Used to Describe Absolute and Relative Gas Concentration Measurements
| Absolute Amount of Gas | Relative Amount of Gas |
| moles of O2 per unit volume (e.g., moles per m3 or moles per liter) mass of O2 per unit volume (e.g., grams per liter; O2 has a mass of 32 g per mole) partial pressure (e.g., kilopascals [kPa]) | % O2 in air (e.g., 20.95 % in ambient air) mole fraction (e.g., moles of O2 per mole of air; 0.2095 mol O2 per a mole of ambient air; this can also be expressed as 0.2095 kPa O2 per kPa air) |
Sensor Calibration
Although the MO-200 reports the relative percent oxygen in the air, it will respond to absolute oxygen concentration. Changes in barometric pressure and temperature cause changes in absolute oxygen concentration, and as a result, changes in sensor signal output. This causes apparent changes in relative oxygen concentration, even though the relative amount of oxygen remains constant. Changes in absolute humidity (water vapor pressure of air) cause changes in absolute and relative oxygen concentration, as water vapor molecules displace and dilute oxygen molecules. Therefore, the MO-200 oxygen meters are not calibrated at the factory and must be calibrated by the user. It is recommended to calibrate the MO-200 before taking a series of measurements, or under conditions where drastic changes occur in pressure, temperature, or humidity during subsequent measurements.
Because the MO-200 is easily calibrated to ambient atmospheric conditions, the following information regarding the effects of barometric pressure, temperature, and humidity on the MO-200 may not be pertinent to all users. It is provided as a reference for users who wish to make the corrections without recalibrating the meter.
Effect of Barometric Pressure on Oxygen Concentration
The ideal gas law, equation (1), shows that absolute gas concentration increases by 0.987 % at sea level for every 1 kPa increase in pressure (1 kPa / 101.325 kPa = 0.00987). For a sensor that measures absolute gas concentration, but is calibrated to read out in relative units, a 1 kPa pressure increase at sea level results in an apparent oxygen increase of 0.207 % (0.00987 * 20.95 % = 0.207 %) and an apparent relative oxygen concentration of 21.157 %. Relative gas concentration didn’t really increase, but absolute concentration, which is what sensors measure, did change. This shows up as an apparent change in relative concentration.
Due to lower barometric pressure at higher elevations, the percentage increase in absolute gas concentration per kPa increases with elevation. For example, at an elevation of 1378 m (Logan, Utah), barometric pressure is approximately 86 kPa, and absolute gas concentration increases by 1.16 % for every 1 kPa increase in pressure (1 kPa / 86 kPa = 0.0116). Again, for a sensor that measures absolute gas concentration, but is calibrated to read out in relative units, this results in an apparent oxygen increase. In this example, 0.243 % for every 1 kPa increase in barometric pressure (0.0116 * 20.95 % = 0.243 %) and an apparent relative oxygen concentration of 21.193 %.
A barometric pressure correction should be applied to all oxygen sensors that are calibrated to read relative oxygen concentration. The equation to correct relative oxygen measurements for barometric pressure at any elevation is: 
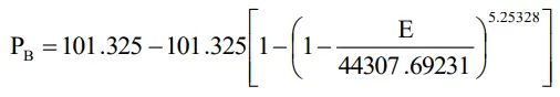
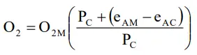
where O2M has measured oxygen concentration [%] (apparent oxygen concentration), PC is barometric pressure [kPa] at the time of calibration, and PM is barometric pressure [kPa] at the time of the current measurement. Approximate barometric pressure (PB, in a) for a given elevation is calculated from:

where E is elevation [m]. In order to make a barometric pressure correction on gas measurements, it must be continuously measured as it changes over time (see Apogee webpage for a barometric pressure sensor that can be used for continuous measurements of barometric pressure: http://www.apogeeinstruments.com/barometricpressure/). The typical annual barometric pressure range is approximately 4 kPa or the average pressure for a given elevation +/- 2 kPa.
The apparent effect of barometric pressure on relative oxygen measurements, based on calculations from equation (2), is plotted in the figure below for 1378 m elevation to show the significance of measuring and correcting for barometric pressure. If not accounted for, barometric pressure fluctuations show up in oxygen measurements as a change in relative oxygen concentration because sensors respond to absolute oxygen concentration, but are generally calibrated to read out in relative units. 

A) Barometric pressure and absolute oxygen concentration at 20 C as a function of elevation. Equation (3) was used to calculate barometric pressure. B) Effect of barometric pressure on apparent relative oxygen concentration. Oxygen sensors respond to absolute oxygen concentration but are often calibrated to yield relative oxygen concentration. As barometric pressure fluctuates, absolute oxygen concentration, and thus oxygen sensor output, fluctuates with it, producing an apparent change in relative oxygen concentration if this pressure effect is not accounted for. It is assumed the sensor was calibrated at 86 kPa, and the solid line shows how the apparent relative oxygen concentration is dependent on barometric pressure.
Effect of Temperature on Oxygen Concentration:
The ideal gas law, equation (1), shows that absolute gas concentration decreases by 0.341 % for a 1 C increase in temperature from 20 C (1 K / 293 K = 0.00341). For a sensor that measures absolute gas concentration but is calibrated to read out in relative units, a 1 C temperature increase from 20 C results in an apparent decrease of 0.0714 % O2 (0.341 % * 0.2095 = 0.0714 %) and a relative oxygen concentration of 20.878 %. As with barometric pressure, to obtain accurate oxygen measurements with a sensor that is calibrated to read relative oxygen concentration, a correction should be applied to compensate for temperature effects. The equation to correct relative oxygen measurements in air for temperature effects is:

where O2M is as given above, TC is air temperature [K] at calibration, and TM is air temperature [K] at the time of measurement (note that temperatures in equation (4) must be in K). The effects of temperature on relative oxygen measurements, based on calculations from equation (4), are plotted in the figure below to show the significance of measuring and correcting for temperature. If not accounted for, temperature fluctuations show up in the measurement as an apparent change in relative oxygen concentration because sensors respond to absolute oxygen concentration, but are calibrated to read out in relative units. Effect of temperature on apparent relative oxygen concentration. As with barometric pressure, absolute oxygen concentration, and thus oxygen sensor output varies with temperature. As temperature changes, relative oxygen concentration remains constant at 20.95 %, but an apparent oxygen change is measured if the temperature correction is not applied to relative measurements. It is assumed the sensor was calibrated at 20 C, and the solid line shows how the apparent relative oxygen concentration is dependent on temperature.
Effect of Humidity on Oxygen Concentration
As absolute humidity in the atmosphere increases, water vapor molecules displace and dilute other gas molecules. This causes the signal output of a gas sensor to decrease. The water vapor effect on relative oxygen concentration as a function of relative humidity (RH) and at a constant temperature is a linear decrease with increasing RH, as shown in the figure below. Conversely, the effect as a function of temperature at constant RH is a curvilinear decrease with increasing temperature, essentially the inverse of the slope of vapor pressure curves from a psychrometric chart. Even though water vapor molecules dilute and displace oxygen molecules, and thus cause an actual and not an apparent decrease in relative oxygen concentration, humidity effects are often accounted for to yield relative oxygen concentrations for a dry atmosphere. The equation to correct for humidity effects is: 
where PC is barometric pressure at calibration [kPa], team is vapor pressure [kPa] of air at the time of measurement, and IEC is vapor pressure [kPa] of air at calibration. Vapor pressures in equation (5) are calculated from:
where RH is in % and eS is saturation vapor pressure [kPa] of air calculated from air temperature (TA, in C): 
In soil environments, relative humidity is generally between 99 and 100 % unless the soil is extremely dry (below the permanent wilting point of -1,500 kPa). Thus, the water vapor effect can be accounted for as a function of temperature by correcting oxygen measurements based on the shape of the curve for 100 % RH in the graph below. 
A) Relative humidity effects on relative oxygen concentration shown as a function of relative humidity at temperatures increments of 10 C and B) as a function of temperature at relative humidity increments of 20 %. The air in the soil is typically always saturated with water vapor (100 % relative humidity) unless the soil is very dry. 
For measurements in soil or saturated air (100 % relative humidity), it is recommended that the MO-200 is calibrated in conditions where the relative humidity is 100 %. A simple way to accomplish this is to mount the sensor in a sealed chamber over water, with ambient air filling the headspace, as shown below.

Apogee oxygen sensor mounted in a sealed chamber over water. For measurements in environments where the relative humidity is 100 %, sensors should be calibrated in conditions where the relative humidity is 100 % in order to account for any humidity effects on sensor electronics.
APOGEE AMS SOFTWARE
Downloading data to a computer requires the AC-100 communication cable and the free ApogeeAMS software. The meter outputs data using the UART protocol and requires the AC-100 to convert from UART to USB, so standard USB cables will not work. The most recent version of ApogeeAMS software can be downloaded at
http://www.apogeeinstruments.com/downloads/.
When the ApogeeAMS software is first opened, it will show a blank screen until communication with the meter is established. If you click “Open Port” it will say “connection failed.”

To establish communication, make sure the meter is plugged into your computer using the AC-100 communication cable. To connect click the dropdown menu button and “COM#” options will appear. For more details on how to figure out which COM is the right one, watch our video.

When you have connected to the correct COM#, the software will say “Connected”. Click “Sample Data” to view saved sample readings.
“Daily Totals” shows all of the saved Daily Light Integral (DLI) totals per day.

Click “30 Min Avg” to see the meter’s 99, 30-minute averages.

To analyze the data, click on “File” and “Save As” to save the data as a .csv file. Or, you can highlight the numbers, and copy, and paste them into a blank Excel spreadsheet. Data will need to be comma-delimited. 
MAINTENANCE AND RECALIBRATION
Visual inspection of the Teflon membrane should be made periodically to verify that the oxygen path is free from obstruction, as shown below. Avoid placing sharp objects inside the sensor opening, as the membrane can easily be punctured. 
The life expectancy of the oxygen sensor on the MO-200 oxygen meter is approximately five years of continuous use in 20.95 % oxygen and 20 C. Lifetime can be lengthened by storing the sensor in low oxygen environments and/or in cold temperatures (e.g., fridge) when not in use. Note that for long periods of storage in low oxygen, the sensor will need a few hours in ambient air before the response time returns to normal. Sensor calibration can be conducted periodically and should be determined by the level of measurement accuracy required for the application.
TROUBLESHOOTING AND CUSTOMER SUPPORT
Verify Functionality
Pressing the power button should activate the LCD and provide a real-time reading of percent oxygen concentration (perform calibration in ambient air if necessary). Since exhaled breath has a lower oxygen concentration than ambient air, gently blowing across the sensor opening should force the displayed reading to a lower oxygen percentage. The reading will take a few seconds to respond based on the sensor’s response time. Move the sensor to a well-ventilated area and the reading should return to the original reading (e.g., 20.9 %).
Battery Life
When the meter is maintained properly the coin cell battery (CR2320) should last for many months, even after continuous use. The low battery indicator will appear in the upper left-hand corner of the LCD display when the battery voltage drops below 2.8 V DC. The meter will still function correctly for some time, but once the battery is drained the pushbuttons will no longer respond and any logged measurements will be lost.
Pressing the power button to turn off the meter will actually put it in sleep mode, where there is still a slight amount of current draw. This is necessary to maintain the logged measurements in memory. Therefore, it is recommended to remove the battery when storing the meter for many months at a time, in order to preserve battery life.
Low-Battery Error after Battery Replacement
A master reset will usually correct this error, please see the master reset section for details and cautions. If a master reset does not remove the low battery indicator, please double-check that the voltage of your new battery is above 2.8 V, this is the threshold for the indicator to turn on.
Master Reset
If a meter ever becomes non-responsive or experiences anomalies, such as a low battery indicator even after replacing the old battery, a master reset can be performed that may correct the problem. Note that a master reset will erase all logged measurements from memory.
First press the power button so that the LCD display is activated. While still powered, slide the battery out of the holder, which will cause the LCD display to fade out. After a few seconds, slide the battery back into the holder. The LCD display will flash all segments and then show a revision number (e.g. “R1.0”). This indicates the master reset was performed and the display should return to normal.
Error Codes and Fixes
Error codes will appear in place of the real-time reading on the LCD display and will continue to flash until the problem is corrected. Contact Apogee if the following fixes do not rectify the problem.
Err 1: battery voltage out of range. Fix: replace the CR2320 battery and perform a master reset.
Err 2: sensor voltage out of range. Fix: perform a master reset.
Err 3 / Err 6: not calibrated. Fix: perform a master reset. If the reset doesn’t work and the meter is nearing five years old it may indicate the end of life for the oxygen sensor.
Err 4: CPU voltage below minimum. Fix: replace the CR2320 battery and perform a master reset.
Modifying Cable Length
Although it is possible to splice additional cable to the separate sensor of the MO-200, note that the cable wires are soldered directly into the circuit board of the meter. Care should be taken to remove the back panel of the meter in order to access the board and splice on the additional cable, otherwise, two splices would need to be made between the meter and sensor head. See the Apogee webpage for further details on how to extend sensor cable length: (http://www.apogeeinstruments.com/how-to-make-a-weatherproof-cable-splice/).
RETURN AND WARRANTY POLICY
RETURN POLICY
Apogee Instruments will accept returns within 30 days of purchase as long as the product is in new condition (to be determined by Apogee). Returns are subject to a 10 % restocking fee.
WARRANTY POLICY
What is Covered
All products manufactured by Apogee Instruments are warranted to be free from defects in materials and craftsmanship for a period of four (4) years from the date of shipment from our factory. To be considered for warranty coverage an item must be evaluated by Apogee.
Products not manufactured by Apogee (spectroradiometers, chlorophyll content meters, EE08-SS probes) are covered for a period of one (1) year.
What is Not Covered
The customer is responsible for all costs associated with the removal, reinstallation, and shipping of suspected warranty items to our factory.
The warranty does not cover equipment that has been damaged due to the following conditions:
- Improper installation or abuse.
- Operation of the instrument outside of its specified operating range.
- Natural occurrences such as lightning, fire, etc.
- Unauthorized modification.
- Improper or unauthorized repair.
Please note that nominal accuracy drift is normal over time. Routine recalibration of sensors/meters is considered part of proper maintenance and is not covered under warranty.
Who is Covered
This warranty covers the original purchaser of the product or other party who may own it during the warranty period.
What Apogee Will Do
At no charge Apogee will:
- Either repair or replace (at our discretion) the item under warranty.
- Ship the item back to the customer by the carrier of our choice. Different or expedited shipping methods will be at the customer’s expense.
How To Return An Item
- Please do not send any products back to Apogee Instruments until you have received a Return Merchandise Authorization (RMA) number from our technical support department by submitting an online RMA form at www.apogeeinstruments.com/tech-support-recalibration-repairs/. We will use your RMA number for tracking of the
service item. Call (435) 245-8012 or email [email protected] with questions. - For warranty evaluations, send all RMA sensors and meters back in the following condition: Clean the sensor’s exterior and cord. Do not modify the sensors or wires, including splicing, cutting wire leads, etc. If a connector has been attached to the cable end, please include the mating connector – otherwise, the sensor connector will be removed in order to complete the repair/recalibration.
Note: When sending back sensors for routine calibration that have Apogee’s standard stainless-steel connectors, you only need to send the sensor with the 30 cm section of cable and one-half of the connector. We have mating connectors at our factory that can be used for calibrating the sensor. - Please write the RMA number on the outside of the shipping container.
- Return the item with freight pre-paid and fully insured to our factory address shown below. We are not responsible for any costs associated with the transportation of products across international borders.
Apogee Instruments, Inc.
721 West 1800 North Logan, UT
84321, USA - Upon receipt, Apogee Instruments will determine the cause of failure. If the product is found to be defective in terms of operation to the published specifications due to a failure of product materials or craftsmanship, Apogee Instruments will repair or replace the items free of charge. If it is determined that your product is not covered under warranty, you will be informed and given an estimated repair/replacement cost.
PRODUCTS BEYOND THE WARRANTY PERIOD
For issues with sensors beyond the warranty period, please contact Apogee at [email protected] to discuss repair or replacement options.
OTHER TERMS
The available remedy of defects under this warranty is for the repair or replacement of the original product, and Apogee Instruments is not responsible for any direct, indirect, incidental, or consequential damages, including but not limited to loss of income, loss of revenue, loss of profit, loss of data, loss of wages, loss of time, loss of sales, accruement of debts or expenses, injury to personal property, or injury to any person or any other type of damage or loss. This limited warranty and any disputes arising out of or in connection with this limited warranty (“Disputes”) shall be governed by the laws of the State of Utah, USA, excluding conflicts of law principles and excluding the Convention for the International Sale of Goods. The courts located in the State of Utah, USA, shall have exclusive jurisdiction over any Disputes.
This limited warranty gives you specific legal rights, and you may also have other rights, which vary from state to state and jurisdiction to jurisdiction, and which shall not be affected by this limited warranty. This warranty extends only to you and cannot be transferred or assigned. If any provision of this limited warranty is unlawful, void or unenforceable, that provision shall be deemed severable and shall not affect any remaining provisions. In case of any inconsistency between the English and other versions of this limited warranty, the English version shall prevail.
This warranty cannot be changed, assumed, or amended by any other person or agreement
APOGEE INSTRUMENTS, INC. | 721 WEST 1800 NORTH, LOGAN, UTAH 84321, USA
TEL: (435) 792-4700 | FAX: (435) 787-8268 | WEB: APOGEEINSTRUMENTS.COM
Copyright © 2021 Apogee Instruments, Inc.
References
Apogee Instruments | Official Site
AC-100: Communication Cable - Apogee Instruments, Inc.
Barometric Pressure Sensor | Apogee Instruments
Software Downloads - Datalogger Programs | Apogee Instruments
How to Make a Weatherproof Cable Splice
Recalibration and Repair | Apogee Instruments
AC-100: Communication Cable - Apogee Instruments, Inc.


















