Apogee SQ-421 QUANTUM SENSOR

CERTIFICATE OF COMPLIANCE
EU Declaration of Conformity
This declaration of conformity is issued under the sole responsibility of the manufacturer:
Apogee Instruments, Inc. 721 W 1800 N
Logan, Utah 84321
USA
for the following product(s):
Models: SQ-204X
Type: Quantum Sensor
The object of the declaration described above is in conformity with the relevant Union harmonization legislation:
- 2014/30/EU Electromagnetic Compatibility (EMC) Directive
- 2011/65/EU Restriction of Hazardous Substances (RoHS 2) Directive
- 2015/863/EU Amending Annex II to Directive 2011/65/EU (RoHS 3)
Standards referenced during compliance assessment:
- EN 61326-1:2013 Electrical equipment for measurement, control and laboratory use – EMC requirements
- EN 50581:2012 Technical documentation for the assessment of electrical and electronic products with respect to the restriction of hazardous substances
Please be advised that based on the information available to us from our raw material suppliers, the products manufactured by us do not contain, as intentional additives, any of the restricted materials including lead (see note below), mercury, cadmium, hexavalent chromium, polybrominated biphenyls (PBB), polybrominated biphenyls (PBDE), bis(2-Ethylhexyl) phthalate (DEHP), butyl benzyl phthalate (BBP), dibutyl phthalate (DBP), and di isobutyl phthalate (DIBP). However, please note that articles containing greater than 0.1% lead concentration are RoHS 3 compliant using exemption 6c.
Further note that Apogee Instruments does not specifically run any analysis on our raw materials or end products for the presence of these substances, but rely on the information provided to us by our material suppliers.
Signed for and on behalf of:
Apogee Instruments, June 2021
Bruce Bugbee President
Apogee Instruments, Inc.
INTRODUCTION
Radiation that drives photosynthesis is called photosynthetically active radiation (PAR) and is typically defined as total radiation across a range of 400 to 700 nm. PAR is often expressed as photosynthetic photon flux density
(PPFD): photon flux in units of micromoles per square meter per second (µmol m-2 s-1, equal to microEinsteins per square meter per second) summed from 400 to 700 nm (total number of photons from 400 to 700 nm). While Einsteins and micromoles are equal (one Einstein = one mole of photons), the Einstein is not an SI unit, so expressing PPFD as µmol m-2 s-1 is preferred.
The acronym PPF is also widely used and refers to the photosynthetic photon flux. The acronyms PPF and PPFD refer to the same variable. The two terms have co-evolved because there is not a universal definition of the term “flux”. Some physicists define flux as per unit area per unit time. Others define flux only as per unit time. We have used PPFD in this manual because we feel that it is better to be more complete and possibly redundant. Sensors that measure PPFD are often called quantum sensors due to the quantized nature of radiation. A quantum refers to the minimum quantity of radiation, one photon, involved in physical interactions (e.g., absorption by photosynthetic pigments). In other words, one photon is a single quantum of radiation. Typical applications of quantum sensors include incoming PPFD measurement over plant canopies in outdoor environments or in greenhouses and growth chambers, and reflected or under-canopy (transmitted) PPFD measurement in the same environments. Apogee Instruments SQ-100X series quantum sensors consist of a cast acrylic diffuser (filter), interference filter, photodiode, and signal processing circuitry mounted in an anodized aluminum housing, and a cable to connect the sensor to a measurement device. Sensors are potted solid with no internal air space, and are designed for continuous PPFD measurement in indoor or outdoor environments. SQ-100X series sensors output an analog voltage that is directly proportional to PPFD. The voltage signal from the sensor is directly proportional to radiation incident on a planar surface (does not have to be horizontal), where the radiation emanates from all angles of a hemisphere.
SENSOR MODELS
This manual covers the SDI-12 communication protocol, original quantum sensor model SQ-421. Additional models are covered in their respective manuals.
| Model | Signal | Calibration |
| SQ-421 | SDI-12 | Sunlight and Electric light |
| SQ-110 | Self-powered | Sunlight |
| SQ-120 | Self-powered | Electric light |
| SQ-311 | Self-powered | Sunlight |
| SQ-321 | Self-powered | Electric light |
| SQ-313 | Self-powered | Sunlight |
| SQ-323 | Self-powered | Electric light |
| SQ-316 | Self-powered | Sunlight |
| SQ-326 | Self-powered | Electric light |
| SQ-212 | 0-2.5 V | Sunlight |
| SQ-222 | 0-2.5 V | Electric light |
| SQ-214 | 4-20 mA | Sunlight |
| SQ-224 | 4-20 mA | Electric light |
| SQ-215 | 0-5 V | Sunlight |
| SQ-225 | 0-5 V | Electric light |
| SQ-420 | USB | Sunlight and Electric light |
| SQ-422 | ModBus | Sunlight and Electric light |
Serial Numbers 2401 and above: Sensor model number and serial number are located on the bottom of the sensor. If you need the manufacturing date of your sensor, please contact Apogee Instruments with the serial number of your sensor.
Serial Number 0-2400: Sensor model number and serial number are located near the pigtail leads on the sensor cable. If you need the manufacturing date of your sensor, please contact Apogee Instruments with the serial number of your sensor. 
SPECIFICATIONS
| SQ–421 | |
| Input Voltage Requirement | 5.5 to 24 V DC |
| Current Drain | 1.4 mA (quiescent), 1.8 mA (active) |
| Calibration Uncertainty | ± 5 % (see Calibration Traceability below) |
| Measurement Repeatability | Less than 1 % |
| Long-term Drift (Non-stability) | Less than 2 % per year |
| Non-linearity | Less than 1 % (up to 4000 µmol m-2 s-1) |
| Response Time | 0.6 s, time for detector signal to reach 95 % following a step change; fastest data transmission rate for SDI-12 circuitry is 1 s |
| Field of View | 180° |
| Spectral Range | 410 to 655 nm (wavelengths where response is greater than 50% of maximum; see Spectral Response below) |
| Directional (Cosine) Response | ± 5 % at 75° zenith angle (see Cosine Response below) |
| Temperature Response | 0.06 ± 0.06 % per C (see Temperature Response below) |
| Operating Environment | -40 to 70 C; 0 to 100 % relative humidity; can be submerged in water up to depths of 30 m |
| Dimensions Serial # 2401 and above | 30.5 mm diameter, 37 mm height |
| Dimensions Serial # 0-2400 | 44.0 mm height, 23.5 mm diameter |
| Mass (with 5 m cable) Serial # 2401 and above | 140 g |
| Mass (with 5 m cable) Serial # 0-2400 | 117 g |
| Cable | 5 m of two-conductor, shielded, twisted-pair wire; TPR jacket (high water resistance, high UV stability, flexibility in cold conditions); pigtail lead wires; stainless steel (316), M8 connector |
Calibration Traceability
Apogee SQ series quantum sensors are calibrated through side-by-side comparison to the mean of transfer standard quantum sensors under a reference lamp. The reference quantum sensors are recalibrated with a 200 W quartz halogen lamp traceable to the National Institute of Standards and Technology (NIST).
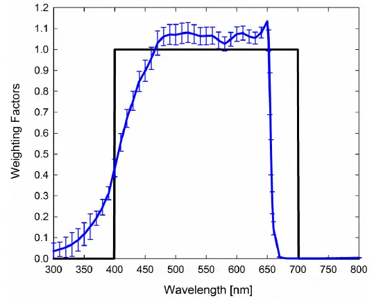
Spectral Response
Mean spectral response of six SQ-100 series quantum sensors (error bars represent two standard deviations above and below mean) compared to defined plant response to photons. Spectral response measurements were made at 10 nm increments across a wavelength range of 300 to 800 nm with a monochromator and an attached electric light source. Measured spectral data from each quantum sensor were normalized by the measured spectral response of the monochromator/electric light combination, which was measured with a spectroradiometer.
Temperature Response 
Mean temperature response of eight SQ-100 series quantum sensors (errors bars represent two standard deviations above and below mean). Temperature response measurements were made at 10 C intervals across a temperature range of approximately -10 to 40 C in a temperature-controlled chamber under a fixed, broad-spectrum, electric lamp. At each temperature set point, a spectroradiometer was used to measure light intensity from the lamp and all quantum sensors were compared to the spectroradiometer. The spectroradiometer was mounted external to the temperature control chamber and remained at room temperature during the experiment.
Cosine Response
Directional, or cosine, response is defined as the measurement error at a specific angle of radiation incidence. Error for Apogee SQ-100X series quantum sensors is approximately ± 2 % and ± 5 % at solar zenith angles of 45° and 75°, respectively. 
Mean cosine response of five SQ-100 series quantum sensors. Cosine response measurements were made by direct side-by-side comparison to the mean of seven reference SQ-500 quantum sensors from the mean of replicate reference quantum sensors (LI-COR models LI-190 and LI-190R, Kipp & Zonen model PQS 1). Data were also collected in the laboratory using a reference lamp and positioning the sensor at varying angles.
DEPLOYMENT AND INSTALLATION
Mount the sensor to a solid surface with the nylon mounting screw provided. To accurately measure PPFD incident on a horizontal surface, the sensor must be level. An Apogee Instruments model AL-100 Leveling Plate is recommended to level the sensor when used on a flat surface or being mounted to surfaces such as wood. To facilitate mounting on a mast or pipe, the Apogee Instruments model AL-120 Solar Mounting Bracket with Leveling Plate is recommended. 
To minimize azimuth error, the sensor should be mounted with the cable pointing toward true north in the northern hemisphere or true south in the southern hemisphere. Azimuth error is typically less than 1 %, but it is easy to minimize by proper cable orientation. 
In addition to orienting the cable to point toward the nearest pole, the sensor should also be mounted such that obstructions (e.g., weather station tripod/tower or other instrumentation) do not shade the sensor. Once mounted, the blue cap should be removed from the sensor. The blue cap can be used as a protective covering for the sensor when it is not in use.
CABLE CONNECTORS
Apogee sensors offer cable connectors to simplify the process of removing sensors from weather stations for calibration (the entire cable does not have to be removed from the station and shipped with the sensor). The ruggedized M8 connectors are rated IP68, made of corrosion-resistant marine-grade stainless steel, and designed for extended use in harsh environmental conditions.
Instructions
Pins and Wiring Colors: All Apogee connectors have six pins, but not all pins are used for every sensor. There may also be unused wire colors inside the cable. To simplify datalogger connection, we remove the unused pigtail lead colors at the datalogger end of the cable. If a replacement cable is required, please contact Apogee directly to ensure ordering the proper pigtail configuration.
Alignment: When reconnecting a sensor, arrows on the connector jacket and an aligning notch ensure proper orientation.
Disconnection for extended periods: When disconnecting the sensor for an extended period of time from a station, protect the remaining half of the connector still on the station from water and dirt with electrical tape or other methods.
Tightening: Connectors are designed to be firmly finger-tightened only. There is an o-ring inside the connector that can be overly compressed if a wrench is used. Pay attention to thread alignment to avoid cross-threading. When fully tightened, 1-2 threads may still be visible. 
WARNING: Do not tighten the connector by twisting the black cable or sensor head, only twist the metal connector (blue arrows).
OPERATION AND MEASUREMENT
The SQ-421 quantum sensor has a SDI-12 output, where shortwave radiation is returned in digital format. Measurement of SQ-421 quantum sensors requires a measurement device with SDI-12 functionality that includes the M or C command.
VERY IMPORTANT: Apogee changed the wiring colors of all our bare-lead sensors in March 2018 in conjunction with the release of inline cable connectors on some sensors. To ensure proper connection to your data device, please note your serial number or if your sensor has a stainless-steel connector 30 cm from the sensor head then use the appropriate wiring configuration listed below. With the switch to connectors, we also changed to using cables that only have 4 or 7 internal wires. To make our various sensors easier to connect to your device, we clip off any unused wire colors at the end of the cable depending on the sensor. If you cut the cable or modify the original pigtail, you may find wires inside that are not used with your particular sensor. In this case, please disregard the extra wires and follow the color-coded wiring guide provided.
Wiring for SQ-421 Serial Numbers 2053 and above or with a cable connector
Wiring for SQ-421 Serial Numbers within the range 0-2052 
Sensor Calibration
All Apogee SDI-12 SQ-400 series quantum sensors have sensor-specific calibration coefficients determined during the custom calibration process. Coefficients are programmed into the microcontrollers at the factory.
SDI-12 Interface
The following is a brief explanation of the serial digital interface SDI-12 protocol instructions used in Apogee SQ-421 quantum sensors. For questions on the implementation of this protocol, please refer to the official version of the SDI-12 protocol: http://www.sdi-12.org/specification.php (version 1.4, August 10, 2016).
Overview
During normal communication, the data recorder sends a packet of data to the sensor that consists of an address and a command. Then, the sensor sends a response. In the following descriptions, SDI-12 commands and responses are enclosed in quotes. The SDI-12 address and the command/response terminators are defined as follows:
Sensors come from the factory with the address of “0” for use in single sensor systems. Addresses “1 to 9” and “A to Z”, or “a to z”, can be used for additional sensors connected to the same SDI-12 bus. “!” is the last character of a command instruction. In order to be compliant with SDI-12 protocol, all commands must be terminated with a “!”. SDI-12 language supports a variety of commands. Supported commands for the Apogee Instruments SQ-421 quantum sensors are listed in the following table (“a” is the sensor address. The following ASCII Characters are valid addresses: “0-9” or “A-Z”).
Supported Commands for Apogee Instruments SQ-421 Quantum Sensors
| Instruction Name | Instruction Syntax | Description |
| Acknowledge Active Command | a! | Responds if the sensor with address a is on the line |
| Send Identification Command | aI! | Responds with sensor information |
| Measurement Command | aM! | Tells the sensor to take a measurement |
| Measurement Command w/ Check Character | aMC! | Tells the sensor to take a measurement and return it with a check character |
| Change Address Command | aAb! | Changes the sensor address from a to b |
| Concurrent Measurement Command | aC! | Used to take a measurement when more than one sensor is used on the same data line |
| Concurrent Measurement Command w/ Check Character | aCC! | Used to take a measurement when more than one sensor is used on the same data line. Data is returned with a check character. |
| Address Query Command | ?! | Used when the address is unknown to have the sensor identify its address, all sensors on data line respond |
| Get Data Command | aD0! | Retrieves the data from a sensor |
| Running Average Command | aXAVG! | Returns or sets the running average for sensor measurements. |
Make Measurement Command: M!
The make measurement command signals a measurement sequence to be performed. Data values generated in response to this command are stored in the sensor’s buffer for subsequent collection using “D” commands. Data will be retained in sensor storage until another “M”, “C”, or “V” command is executed. M commands are shown in the following examples:
| Command | Response | Response to 0D0! |
| aM! or aM0! | a0011<cr><If> | Returns µmol m-2 s-1 using electric light calibration |
| aM1! | a0011<cr><If> | Returns millivolt output |
| aM2! | a0011<cr><If> | Returns µmol m-2 s-1 using sunlight calibration |
| aM3! | a0011<cr><If> | Returns immersed µmol m-2 s-1 for underwater measurements with electric light calibration |
| aM4! | a0011<cr><If> | Returns angle offset from vertical in degrees. (0 degrees if pointed up, 180 degrees if pointed down.) Available in sensors with serial number 2401 or greater. |
| aMC0! | a0011<cr><If> | Returns µmol m-2 s-1 using electric light calibration w/CRC |
| aMC1! | a0011<cr><If> | Returns millivolt output w/ CRC |
| aMC2! | a0011<cr><If> | Returns µmol m-2 s-1 using sunlight calibration w/ CRC |
| aMC3! | a0011<cr><If> | Returns immersed µmol m-2 s-1 for underwater measurements with electric light calibration w/ CRC |
| aMC4! | a0011<cr><If> | Returns angle offset from vertical in degrees w/CRC. (0 degrees if pointed up, 180 degrees if pointed down.) Available in sensors with serial numbers 2401 or greater. |
where a is the sensor address (“0-9”, “A-Z”, “a-z”) and M is an upper-case ASCII character.
The data values are separated by the sign “+”, as in the following example (0 is the address):
| Command | Sensor Response | Sensor Response when data is ready |
| 0M0! | 00011<cr><lf> | 0<cr><lf> |
| 0D0! | 0+2000.0<cr><lf> | |
| 0M1! | 00011<cr><lf> | 0<cr><lf> |
| 0D0! | 0+400.0<cr><lf> | |
| 0M2! | 00011<cr><If> | 0<cr><If> |
| 0D0! | 0+2000.0<cr><If> | |
| 0M3! | 00011<cr><If> | 0<cr><If> |
| 0D0! | 0+2000.0<cr><If> | |
| 0M4! | a0011<cr><If> | 0<cr><lf> |
| 0D0! | 0+90.2<cr><lf> |
where 2000.0 is µmol m-2 s-1 and 400.0 is mV.
Concurrent Measurement Command: aC!
A concurrent measurement is one which occurs while other SDI-12 sensors on the bus are also making measurements. This command is similar to the “aM!” command, however, the nn field has an extra digit and the sensor does not issue a service request when it has completed the measurement. Communicating with other sensors will NOT abort a concurrent measurement. Data values generated in response to this command are stored in the sensor’s buffer for subsequent collection using “D” commands. The data will be retained in the sensor until another “M”, “C”, or “V” command is executed:
| Command | Response | Response to 0D0! |
| aC! or aC0! | a00101<cr><lf> | Returns µmol m-2 s-1 using electric light calibration |
| aC1! | a00101<cr><lf> | Returns millivolt output |
| aC2! | a00101<cr><lf> | Returns µmol m-2 s-1 using sunlight calibration |
| aC3! | a00101<cr><lf> | Returns immersed µmol m-2 s-1 for underwater measurements with electric light calibration |
| aC4! | a00101<cr><lf> | Returns angle offset from vertical in degrees. (0 degrees if pointed up, 180 degrees if pointed down.) Available in sensors with serial number 2401 or greater. |
| aCC! or aCC0! | a00101<cr><lf> | Returns µmol m-2 s-1 using electric light calibration w/CRC |
| aCC1! | a00101<cr><lf> | Returns millivolt output w/CRC |
| aCC2! | a00101<cr><lf> | Returns µmol m-2 s-1 using sunlight calibration w/CRC |
| aCC3! | a00101<cr><lf> | Returns immersed µmol m-2 s-1 for underwater measurements with electric light calibration w/CRC |
| aCC4! | a00101<cr><lf> | Returns angle offset from vertical in degrees w/CRC. (0 degrees if pointed up, 180 degrees if pointed down.) Available in sensors with serial numbers 2401 or greater. |
where a is the sensor address (“0-9”, “A-Z”, “a-z”, “*”, “?”) and C is an upper-case ASCII character.
For example (0 is the address):
| Command | Sensor Response |
| 0C0! | 000101<cr><lf> |
| 0D0! | 0+2000.0<cr><lf> |
| 0C1! | 000101<cr><If> |
| 0D0! | 0+400.0<cr><If> |
| 0C2! | 000101<cr><lf> |
| 0D0! | 0+2000.0<cr><lf> |
| 0C3! | 000101<cr><If> |
| 0D0! | 0+2000.0<cr><If> |
| 0C4! | 000101<cr><If> |
| 0D0! | 0+90.2<cr><lf> |
where 2000.0 is μmol m-2 s-1 and 400.0 is mV.
Change Sensor Address: aAb!
The change sensor address command allows the sensor address to be changed. If multiple SDI-12 devices are on the same bus, each device will require a unique SDI-12 address. For example, two SDI-12 sensors with the factory address of 0 requires changing the address on one of the sensors to a non-zero value in order for both sensors to communicate properly on the same channel:
| Command | Response | Description |
| aAb! | b<cr><lf> | Change the address of the sensor |
where a is the current (old) sensor address (“0-9”, “A-Z”), A is an upper-case ASCII character denoting the instruction for changing the address, b is the new sensor address to be programmed (“0-9”, “A-Z”), and ! is the standard character to execute the command. If the address change is successful, the datalogger will respond with the new address and a <cr><lf>.
Send Identification Command: aI!
The send identification command responds with sensor vendor, model, and version data. Any measurement data in the sensor’s buffer is not disturbed:
| Command | Response | Description |
| “aI!” | a13Apogee SQ-421vvvxx…xx<cr><lf> | The sensor serial number and other identifying values are returned |
where a is the sensor address (“0-9”, “A-Z”, “a-z”, “*”, “?”), 421 is the sensor model number, vvv is a three character field specifying the sensor version number, and xx…xx is serial number.
Running Average Command
The running average command can be used to set or query the number of measurements that are averaged together before returning a value from a M! or MC! command. For example, if a user sends the command “0XAVG10!” to sensor with address 0, that sensor will average 10 measurements before sending the averaged value to the logger. To turn off averaging, the user should send the command “aXAVG1” to the sensor. To query the sensor to see how many measurements are being averaged, send the command “aXAVG!” and the sensor will return the number of measurements being averaged (see table below). The default for sensors is to have averaging turned off.
| Command Name | Characters Sent | Response | Description |
| Query running Average | aXAVG! | an | a = sensor address, n = number of measurements used in average calculation. Note: n may be multiple digits. |
| Set running Average | aXAVGn! | a | a = sensor address, n = number of measurements to be used in average calculation. Note: n may be any value from 1 to 100. |
Metadata Commands
Identify Measurement Commands
The Identify Measurement Commands can be used to view the command response without making a measurement. The command response indicates the time it takes to make the measurement and the number of data values that it returns. It works with the Verification Command (aV!), Measurement Commands (aM!, aM1! … aM9!, aMC!, aMC1! … aMC9!), and Concurrent Measurement Commands (aC!, aC1! … aC9! , aCC!, aCC1! … aCC9!).
The format of the Identify Measurement Command is the address, the capital letter I, the measurement command, and the command terminator (“!”), as follows:
<address>I<command>!
The format of the response is the same as if the sensor is making a measurement. For the Verification Command and Measurement Commands, the response is atttn<CR><LF>. For the C Command, it is atttnn<CR><LF>. For the High Volume Commands, it is atttnnn<CR><LF>. The address is indicated by a, the time in seconds to make the measurement is indicated by ttt, and the number of measurements is indicated by n, nn, and nnn. The response is terminated with a Carriage Return (<CR>) and Line Feed (<LF>).
Identify Measurement Command example:
| 3IMC2! | The Identify Measurement Command for sensor address 3, M2 command, requesting a CRC. |
| 30032<CR><LF> | The response from sensor address three indicating that the measurement will take three seconds and two data values will be returned. |
Identify Measurement Parameter Commands
The Measurement Parameter Commands can be used to retrieve information about each data value that a command returns. The first value returned is a Standard Hydrometeorological Exchange Format (SHEF) code. SHEF codes are published by the National Oceanic and Atmospheric Administration (NOAA). The SHEF code manual can be found at http://www.nws.noaa.gov/oh/hrl/shef/indexshef.htm. The second value is the units of the parameter. Additional fields with more information are optional.
The Measurement Parameter Commands work with the Verification Command (aV!), Measurement Commands (aM!, aM1! … aM9!, aMC!, aMC1! … aMC9!), and Concurrent Measurement Commands (aC!, aC1! … aC9! , aCC!, aCC1! … aCC9!).
The format of the Identify Measurement Parameter Command is the address, the capital letter I, the measurement command, the underscore character (“_”), a three-digit decimal number, and the command terminator (“!”). The three-digit decimal indicates which number of measurements that the command returns, starting with “001” and continuing to “002” and so on, up to the number of measurements that the command returns.
<address>I<command>_<three-digit decimal>!
The format of the response is comma delimited and terminated with a semicolon. The first value is the address. The second value is the SHEF code. The third value is the units. Other optional values may appear, such as a description of the data value. The response is terminated with a Carriage Return (<CR>) and Line Feed (<LF>).
a,<SHEF Code>,<units>;<CR><LF>
Identify Measurement Parameter Command example:
| 1IC_001! | The Identify Measurement Parameter Command for sensor address 1, C command, data value 1. |
| 1,RW,Watts/meter squared,incoming solar radiation;<CR><LF> | The response from sensor address 1, SHEF code RW, units of Watts/meter squared, and additional information of incoming solar radiation. |
Sunlight and Electric light Calibration
Apogee SQ-421 quantum sensors are calibrated to measure PPFD for both sunlight and electric light. The difference between the calibrations is 12 %. The electric light calibration (calibration source is T5 cool white fluorescent lamps) will read approximately 12 % low in sunlight. The aM!, aMC!, aC!, or aCC! commands return the sensor PPFD measurement with electric light calibration. The aM2!, aMC2!, aC2!, or aCC2! commands return the sensor PPFD measurement with sunlight calibration.
Spectral Errors
Apogee SQ-100X series sensors can measure PPFD for sunlight and electric light with a single calibration factor. However, errors occur in various light sources due to changes in spectral output. If the light source spectrum is known then errors can be estimated and used to adjust the measurements. The weighting function for PPFD is shown in the graph below, along with the spectral response of Apogee SQ-100X series quantum sensors. The closer the spectral response matches the defined PPFD spectral weighting functions, the smaller spectral errors will be. The table below provides spectral error estimates for PPFD measurements from light sources different than the calibration source. The method of Federer and Tanner (1966) was used to determine spectral errors based on the PPFD spectral weighting functions, measured sensor spectral response, and radiation source spectral outputs (measured with a spectroradiometer). This method calculates spectral error and does not consider calibration, cosine, and temperature errors. Federer, C. A., and C. B. Tanner, 1966. Sensors for measuring light available for photosynthesis. Ecology 47:654-657. McCree, K. J., 1972. The action spectrum, absorptance and quantum yield of photosynthesis in crop plants. Agricultural Meteorology 9:191-216.
Spectral Errors for PPFD and YPFD Measurements with Apogee SQ-100X Series Quantum Sensors
| Radiation Source (Error Calculated Relative to Sun, Clear Sky) | SQ-100/300 Series PPFD Error [%] | SQ-500 Series PPFD Error [%] |
| Sun (Clear Sky) | 0.0 | 0.0 |
| Sun (Cloudy Sky) | 0.2 | 0.1 |
| Reflected from Grass Canopy | 3.8 | -0.3 |
| Transmitted below Wheat Canopy | 4.5 | 0.1 |
| Cool White Fluorescent (T5) | 0.0 | 0.1 |
| Metal Halide | -2.8 | 0.9 |
| Ceramic Metal Halide | -16.1 | 0.3 |
| High-Pressure Sodium | 0.2 | 0.1 |
| Blue LED (448 nm peak, 20 nm full-width half-maximum) | -10.5 | -0.7 |
| Green LED (524 nm peak, 30 nm full-width half-maximum) | 8.8 | 3.2 |
| Red LED (635 nm peak, 20 nm full-width half-maximum) | 2.6 | 0.8 |
| Red LED (667 nm peak, 20 nm full-width half-maximum) | -62.1 | 2.8 |
| Red, Blue LED Mixture (80 % Red, 20 % Blue) | -72.8 | -3.9 |
| Red, Blue, White LED Mixture (60 % Red, 25 % White, 15 % Blue) | -35.5 | -2.0 |
| Cool White LED | -3.3 | 0.5 |
| Warm White LED | -8.9 | 0.2 |
Federer, C.A., and C.B. Tanner, 1966. Sensors for measuring light available for photosynthesis. Ecology 47:654-657.
Ross, J., and M. Sulev, 2000. Sources of errors in measurements of PAR. Agricultural and Forest Meteorology
100:103-125.
Yield Photon Flux Density (YPFD) Measurements
Photosynthesis in plants does not respond equally to all photons. Relative quantum yield (plant photosynthetic efficiency) is dependent on wavelength (green line in figure below) (McCree, 1972a; Inada, 1976). This is due to the combination of spectral absorptivity of plant leaves (absorptivity is higher for blue and red photons than green photons) and absorption by non-photosynthetic pigments. As a result, photons in the wavelength range of approximately 600-630 nm are the most efficient.
Defined plant response to photons (black line, weighting factors used to calculate PPFD), measured plant response to photons (green line, weighting factors used to calculate YPFD), and SQ-100 series and SQ-300 series quantum sensor response to photons (sensor spectral response).
One potential definition of PAR is weighting photon flux density in units of mol m-2 s-1 at each wavelength between 300 and 800 nm by measured relative quantum yield and summing the result. This is defined as yield photon flux density (YPFD, units of mol m-2 s-1) (Sager et al., 1988). There are uncertainties and challenges associated with this definition of PAR. Measurements used to generate the relative quantum yield data were made on single leaves under low radiation levels and at short time scales (McCree, 1972a; Inada, 1976). Whole plants and plant canopies typically have multiple leaf layers and are generally grown in the field or greenhouse over the course of an entire growing season. Thus, actual conditions plants are subject to are likely different than those the single leaves were in when measurements were made by McCree (1972a) and Inada (1976). In addition, relative quantum yield shown in the figure above is the mean from twenty-two species grown in the field (McCree, 1972a). Mean relative quantum yield for the same species grown in growth chambers was similar, but there were differences, particularly at shorter wavelengths (less than 450 nm). There was also some variability between species (McCree, 1972a; Inada, 1976). McCree (1972b) found that equally weighting all photons between 400 and 700 nm and summing the result, defined as photosynthetic photon flux density (PPFD, in units of mol m-2 s-1), was well correlated to photosynthesis, and very similar to correlation between YPFD and photosynthesis. As a matter of practicality, PPFD is a simpler definition of PAR. At the same time as McCree’s work, others had proposed PPFD as an accurate measure of PAR and built sensors that approximated the PPFD weighting factors (Biggs et al., 1971; Federer and Tanner, 1966). Correlation between PPFD and YPFD measurements for several radiation sources is very high (figure below), as an approximation, YPFD = 0.9PPFD. As a result, almost universally PAR is defined as PPFD rather than YPFD, although YPFD has been used in some studies. The only radiation sources shown (figure below) that don’t fall on the regression line are the high pressure sodium (HPS) lamp, reflection from a plant canopy, and transmission below a plant canopy. A large fraction of radiation from HPS lamps is in the red range of wavelengths where the YPFD weighting factors (measured relative quantum yield) are at or near one. The factor for converting PPFD to YPFD for HPS lamps is 0.95, rather than 0.90. The factor for converting PPFD to YPFD for reflected and transmitted photons is 1.00.
Correlation between photosynthetic photon flux density (PPFD) and yield photon flux density (YPFD) for multiple different radiation sources. YPFD is approximately 90 % of PPFD. Measurements were made with a spectroradiometer (Apogee Instruments model PS-200) and weighting factors shown in the previous figure were used to calculate PPFD and YPFD.
Immersion Effect Correction Factor
When a radiation sensor is submerged in water, more of the incident radiation is backscattered out of the diffuser than when the sensor is in air (Smith, 1969; Tyler and Smith, 1970). This phenomenon is caused by the difference in the refractive index for air (1.00) and water (1.33), and is called the immersion effect. Without correction for the immersion effect, radiation sensors calibrated in air can only provide relative values underwater (Smith, 1969; Tyler and Smith, 1970). Immersion effect correction factors can be derived by making measurements in air and at multiple water depths at a constant distance from a lamp in a controlled laboratory setting.
Apogee SQ-100 series and SQ-300 series quantum sensors have an immersion effect correction factor of 1.08. This correction factor should be multiplied by PPFD measurements made underwater to yield accurate PPFD. Further information on underwater measurements and the immersion effect can be found on the Apogee webpage (http://www.apogeeinstruments.com/underwater-par-measurements/).
Smith, R.C., 1969. An underwater spectral irradiance collector. Journal of Marine Research 27:341-351.
Tyler, J.E., and R.C. Smith, 1970. Measurements of Spectral Irradiance Underwater. Gordon and Breach, New York,
New York. 103 pages
MAINTENANCE AND RECALIBRATION
Blocking of the optical path between the target and detector can cause low readings. Occasionally, accumulated materials on the diffuser of the upward-looking sensor can block the optical path in three common ways:
- Moisture or debris on the diffuser.
- Dust during periods of low rainfall.
- Salt deposit accumulation from evaporation of sea spray or sprinkler irrigation water.
Apogee Instruments upward-looking sensors have a domed diffuser and housing for improved self-cleaning from rainfall, but active cleaning may be necessary. Dust or organic deposits are best removed using water, or window cleaner, and a soft cloth or cotton swab. Salt deposits should be dissolved with vinegar and removed with a cloth or cotton swab. Salt deposits cannot be removed with solvents such as alcohol or acetone. Use only gentle pressure when cleaning the diffuser with a cotton swab or soft cloth to avoid scratching the outer surface. The solvent should be allowed to do the cleaning, not mechanical force. Never use abrasive material or cleaner on the diffuser. Although Apogee sensors are very stable, nominal accuracy drift is normal for all research-grade sensors. To ensure maximum accuracy, we generally recommend sensors are sent in for recalibration every two years, although you can often wait longer according to your particular tolerances. To determine if your sensor needs recalibration, the Clear Sky Calculator (www.clearskycalculator.com) website and/or smartphone app can be used to indicate the total shortwave radiation incident on a horizontal surface at any time of day at any location in the world. It is most accurate when used near solar noon in spring and summer months, where accuracy over multiple clear and unpolluted days is estimated to be ± 4 % in all climates and locations around the world. For best accuracy, the sky must be completely clear, as reflected radiation from clouds causes incoming radiation to increase above the value predicted by the clear sky calculator. Measured values of total shortwave radiation can exceed values predicted by the Clear Sky Calculator due to reflection from thin, high clouds and edges of clouds, which enhances incoming shortwave radiation. The influence of high clouds typically shows up as spikes above clear sky values, not a constant offset greater than clear sky values. To determine recalibration need, input site conditions into the calculator and compare total shortwave radiation measurements to calculated values for a clear sky. If sensor shortwave radiation measurements over multiple days near solar noon are consistently different than calculated values (by more than 6 %), the sensor should be cleaned and re-leveled. If measurements are still different after a second test, email [email protected] to discuss test results and possible return of sensor(s).
Homepage of the Clear Sky Calculator. Two calculators are available: one for quantum sensors (PPFD) and one for pyranometers (total shortwave radiation). 
Clear Sky Calculator for quantum sensors. Site data are input in blue cells in middle of page and an estimate of PPFD is returned on right-hand side of page. 
TROUBLESHOOTING AND CUSTOMER SUPPORT
Independent Verification of Functionality
If the sensor does not communicate with the datalogger, use an ammeter to check the current draw. It should be near 1.4 mA when the sensor is not communicating and spike to approximately 1.8 mA when the sensor is communicating. Any current draw greater than approximately 6 mA indicates a problem with power supply to the sensors, wiring of the sensor, or sensor electronics.
Compatible Measurement Devices (Dataloggers/Controllers/Meters)
Any datalogger or meter with SDI-12 functionality that includes the M or C command.
An example datalogger program for Campbell Scientific dataloggers can be found on the Apogee webpage at https://www.apogeeinstruments.com/datalogger/#downloads.
Modifying Cable Length
SDI-12 protocol limits cable length to 60 meters. For multiple sensors connected to the same data line, the maximum is 600 meters of total cable (e.g., ten sensors with 60 meters of cable per sensor). See Apogee webpage for details on how to extend sensor cable length (http://www.apogeeinstruments.com/how-to-make-a-weatherproof-cable-splice/).
Unit Conversion Charts
Apogee SQ series quantum sensors are calibrated to measure PPFD in units of µmol m-2 s-1. Units other than photon flux density (e.g., energy-flux density, illuminance) may be required for certain applications. It is possible to convert the PPFD value from a quantum sensor to other units, but it requires spectral output of the radiation source of interest. Conversion factors for common radiation sources can be found in the Unit Conversions page of the Support Center on the Apogee website (http://www.apogeeinstruments.com/unit-conversions/). A spreadsheet to convert PPFD to energy flux density or illuminance is also provided in the in the Unit Conversions page of the Support Center on the Apogee website (http://www.apogeeinstruments.com/content/PPFD-to-Illuminance-Calculator.xls).
RETURN AND WARRANTY POLICY
RETURN POLICY
Apogee Instruments will accept returns within 30 days of purchase as long as the product is in new condition (to be determined by Apogee). Returns are subject to a 10 % restocking fee.
WARRANTY POLICY
- What is Covered
All products manufactured by Apogee Instruments are warranted to be free from defects in materials and craftsmanship for a period of four (4) years from the date of shipment from our factory. To be considered for warranty coverage an item must be evaluated by Apogee. Products not manufactured by Apogee (spectroradiometers, chlorophyll content meters, EE08-SS probes) are covered for a period of one (1) year. - What is Not Covered
The customer is responsible for all costs associated with the removal, reinstallation, and shipping of suspected warranty items to our factory. The warranty does not cover equipment that has been damaged due to the following conditions:
- Improper installation or abuse.
- Operation of the instrument outside of its specified operating range.
- Natural occurrences such as lightning, fire, etc.
- Unauthorized modification.
- Improper or unauthorized repair.
Please note that nominal accuracy drift is normal over time. Routine recalibration of sensors/meters is considered part of proper maintenance and is not covered under warranty.
Who is Covered
This warranty covers the original purchaser of the product or other party who may own it during the warranty period.
What Apogee Will Do
At no charge Apogee will:
- Either repair or replace (at our discretion) the item under warranty.
- Ship the item back to the customer by the carrier of our choice.
Different or expedited shipping methods will be at the customer’s expense.
How To Return An Item
- Please do not send any products back to Apogee Instruments until you have received a Return Merchandise Authorization (RMA) number from our technical support department by submitting an online RMA form at www.apogeeinstruments.com/tech-support-recalibration-repairs/. We will use your RMA number for tracking of the service item. Call (435) 245-8012 or email [email protected] with questions.
- For warranty evaluations, send all RMA sensors and meters back in the following condition: Clean the sensor’s exterior and cord. Do not modify the sensors or wires, including splicing, cutting wire leads, etc. If a connector has been attached to the cable end, please include the mating connector – otherwise, the sensor connector will be removed in order to complete the repair/recalibration. Note: When sending back sensors for routine calibration that have Apogee’s standard stainless-steel connectors, you only need to send the sensor with the 30 cm section of cable and one-half of the connector. We have mating connectors at our factory that can be used for calibrating the sensor.
- Please write the RMA number on the outside of the shipping container.
- Return the item with freight pre-paid and fully insured to our factory address shown below. We are not responsible for any costs associated with the transportation of products across international borders.
Apogee Instruments, Inc.
721West 1800 North Logan, UT
84321, USA - Upon receipt, Apogee Instruments will determine the cause of failure. If the product is found to be defective in terms of operation to the published specifications due to a failure of product materials or craftsmanship, Apogee Instruments will repair or replace the items free of charge. If it is determined that your product is not covered under warranty, you will be informed and given an estimated repair/replacement cost.
PRODUCTS BEYOND THE WARRANTY PERIOD
For issues with sensors beyond the warranty period, please contact Apogee at [email protected] to discuss repair or replacement options.
OTHER TERMS
The available remedy of defects under this warranty is for the repair or replacement of the original product, and Apogee Instruments is not responsible for any direct, indirect, incidental, or consequential damages, including but not limited to loss of income, loss of revenue, loss of profit, loss of data, loss of wages, loss of time, loss of sales, accruement of debts or expenses, injury to personal property, or injury to any person or any other type of damage or loss. This limited warranty and any disputes arising out of or in connection with this limited warranty (“Disputes”) shall be governed by the laws of the State of Utah, USA, excluding conflicts of law principles and excluding the Convention for the International Sale of Goods. The courts located in the State of Utah, USA, shall have exclusive jurisdiction over any Disputes. This limited warranty gives you specific legal rights, and you may also have other rights, which vary from state to state and jurisdiction to jurisdiction, and which shall not be affected by this limited warranty. This warranty extends only to you and cannot by transferred or assigned. If any provision of this limited warranty is unlawful, void or unenforceable, that provision shall be deemed severable and shall not affect any remaining provisions. In case of any inconsistency between the English and other versions of this limited warranty, the English version shall prevail. This warranty cannot be changed, assumed, or amended by any other person or agreement.
APOGEE INSTRUMENTS, INC. | 721 WEST 1800 NORTH, LOGAN, UTAH 84321, USA TEL: (435) 792-4700 | FAX: (435) 787-8268 | WEB: APOGEEINSTRUMENTS.COM
Copyright © 2021 Apogee Instruments, Inc.
References
Apogee Instruments | Official Site
apogeeinstruments.com/content/PPFD-to-Illuminance-Calculator.xls
How to Make a Weatherproof Cable Splice
Recalibration and Repair | Apogee Instruments
Underwater PAR Measurements | Apogee Instruments
Unit Conversions | Apogee Instruments
Clear Sky Calculator | Apogee Instruments Inc.
Clear Sky Calculator | Apogee Instruments Inc.
Office of Water Prediction
SDI-12 Specification





















