Apogee SQ-422 QUANTUM SENSOR

EU Declaration of Conformity
This declaration of conformity is issued under the sole responsibility of the manufacturer:
- Apogee Instruments, Inc. 721 W 1800 N
- Logan, Utah 84321
- USA
for the following product(s):
- Models: SQ-422
- Type: Quantum Sensor
The object of the declaration described above is in conformity with the relevant Union harmonization legislation:
- 2014/30/EU Electromagnetic Compatibility (EMC) Directive
- 2011/65/EU Restriction of Hazardous Substances (RoHS 2) Directive
- 2015/863/EU Amending Annex II to Directive 2011/65/EU (RoHS 3)
Standards referenced during compliance assessment:
EN 61326-1:2013 Electrical equipment for measurement, control and laboratory use – EMC requirements
- EN 50581:2012 Technical documentation for the assessment of electrical and electronic products with respect to the restriction of hazardous substances
Please be advised that based on the information available to us from our raw material suppliers, the products manufactured by us do not contain, as intentional additives, any of the restricted materials including lead (see note below), mercury, cadmium, hexavalent chromium, polybrominated biphenyls (PBB), polybrominated diphenyls (PBDE), bis(2-ethylhexyl) phthalate (DEHP), butyl benzyl phthalate (BBP), dibutyl phthalate (DBP), and diisobutyl phthalate (DIBP). However, please note that articles containing greater than 0.1% lead concentration are RoHS 3 compliant using exemption 6c. Further note that Apogee Instruments does not specifically run any analysis on our raw materials or end products for the presence of these substances, but rely on the information provided to us by our material suppliers.
Signed for and on behalf of:
Apogee Instruments, January 2021
Bruce Bugbee President
Apogee Instruments, Inc.
INTRODUCTION
Radiation that drives photosynthesis is called photosynthetically active radiation (PAR) and is typically defined as total radiation across a range of 400 to 700 nm. PAR is often expressed as photosynthetic photon flux density
(PPFD): photon flux in units of micromoles per square meter per second (µmol m-2 s-1, equal to microEinsteins per square meter per second) summed from 400 to 700 nm (total number of photons from 400 to 700 nm). While Einsteins and micromoles are equal (one Einstein = one mole of photons), the Einstein is not an SI unit, so expressing PPFD as µmol m-2 s-1 is preferred.
The acronym PPF is also widely used and refers to the photosynthetic photon flux. The acronyms PPF and PPFD refer to the same parameter. The two terms have co-evolved because there is not a universal definition of the term “flux”. Some physicists define flux as per unit area per unit time. Others define flux only as per unit time. We have used PPFD in this manual because we feel that it is better to be more complete and possibly redundant. Sensors that measure PPFD are often called quantum sensors due to the quantized nature of radiation. A quantum refers to the minimum quantity of radiation, one photon, involved in physical interactions (e.g., absorption by photosynthetic pigments). In other words, one photon is a single quantum of radiation. Typical applications of quantum sensors include incoming PPFD measurement over plant canopies in outdoor environments or in greenhouses and growth chambers, and reflected or under-canopy (transmitted) PPFD measurement in the same environments.
Apogee Instruments SQ series quantum sensors consist of a cast acrylic diffuser (filter), photodiode, and signal processing circuitry mounted in an anodized aluminum housing, and a cable to connect the sensor to a measurement device. Sensors are potted solid with no internal air space, and are designed for continuous PPFD measurement in indoor or outdoor environments. The SQ-422 model outputs a digital signal using Modbus RTU communication protocol over RS-232 or RS-485.
SENSOR MODELS
This manual covers the Modbus RTU communication protocol, original quantum sensor model SQ-422 (in bold below). Additional models are covered in their respective manuals.
| Model | Signal | Calibration |
| SQ-422 | Modbus | Sunlight and Electric light |
| SQ-110 | Self-powered | Sunlight |
| SQ-120 | Self-powered | Electric light |
| SQ-311 | Self-powered | Sunlight |
| SQ-313 | Self-powered | Sunlight |
| SQ-316 | Self-powered | Sunlight |
| SQ-212 | 0-2.5 V | Sunlight |
| SQ-222 | 0-2.5 V | Electric light |
| SQ-214 | 4-20 mA | Sunlight |
| SQ-224 | 4-20 mA | Electric light |
| SQ-215 | 0-5 V | Sunlight |
| SQ-225 | 0-5 V | Electric light |
| SQ-420 | USB | Sunlight and Electric light |
| SQ-421 | SDI-12 | Sunlight and Electric light |

Sensor model number and serial number are located on the bottom of the sensor. If you need the manufacturing date of your sensor, please contact Apogee Instruments with the serial number of your sensor.
SPECIFICATIONS
| SQ-422 | |
| Input Voltage Requirement | 5.5 to 24 V DC |
| Average Max Current Draw | RS-232 37 mA; RS-485 quiescent 37 mA, active 42 mA |
| Calibration Uncertainty | ± 5 % (see Calibration Traceability below) |
| Measurement Repeatability | Less than 1 % |
| Long-term Drift (Non-stability) | Less than 2 % per year |
| Non-linearity | Less than 1 % (up to 4000 µmol m-2 s-1) |
| Field of View | 180° |
| Spectral Range | 410 to 655 nm (wavelengths where response is greater than 50% of maximum; see Spectral Response below) |
| Directional (Cosine) Response | ± 5 % at 75° zenith angle (see Cosine Response below) |
| Temperature Response | 0.06 ± 0.06 % per C (see Temperature Response below) |
| Operating Environment | -40 to 70 C; 0 to 100 % relative humidity; can be submerged in water up to depths of 30 m |
| Dimensions | 30.5 mm diameter, 37 mm diameter |
| Mass (with 5 m of cable) | 140 g |
| Cable | 5 m of two conductor, shielded, twisted-pair wire; TPR jacket (high water resistance, high UV stability, flexibility in cold conditions); pigtail lead wires; stainless steel (316), M8 connector |
Calibration Traceability
Apogee SQ series quantum sensors are calibrated through side-by-side comparison to the mean of transfer standard quantum sensors under a reference lamp. The reference quantum sensors are recalibrated with a 200 W quartz halogen lamp traceable to the National Institute of Standards and Technology (NIST).
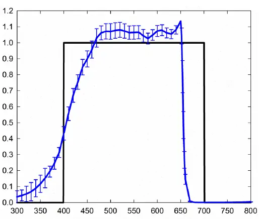
Spectral Response

Mean spectral response of six SQ-100 series quantum sensors (error bars represent two standard deviations above and below mean) compared to defined plant response to photons. Spectral response measurements were made at 10 nm increments across a wavelength range of 300 to 800 nm with a monochromator and an attached electric light source. Measured spectral data from each quantum sensor were normalized by the measured spectral response of the monochromator/electric light combination, which was measured with a spectroradiometer.
Temperature Response

Mean temperature response of eight SQ-100 series quantum sensors (errors bars represent two standard deviations above and below mean). Temperature response measurements were made at 10 C intervals across a temperature range of approximately -10 to 40 C in a temperature controlled chamber under a fixed, broad spectrum, electric lamp. At each temperature set point, a spectroradiometer was used to measure light intensity from the lamp and all quantum sensors were compared to the spectroradiometer. The spectroradiometer was mounted external to the temperature control chamber and remained at room temperature during the experiment.
Cosine Response

Directional (cosine) response is defined as the measurement error at a specific angle of radiation incidence. Error for Apogee SQ-100 series quantum sensors is approximately ± 2 % and ± 5 % at solar zenith angles of 45° and 75°, respectively.

Mean directional (cosine) response of six apogee SQ-100 series quantum sensors. Directional response measurements were made on the rooftop of the Apogee building in Logan, Utah. Directional response was calculated as the relative difference of SQ-500 quantum sensors from the mean of replicate reference quantum sensors (LI-COR models LI-190 and LI-190R, Kipp & Zonen model PQS 1). Data were also collected in the laboratory using a reference lamp and positioning the sensor at varying angles.
DEPLOYMENT AND INSTALLATION
Mount the sensor to a solid surface with the nylon mounting screw provided. To accurately measure PPFD incident on a horizontal surface, the sensor must be level. An Apogee Instruments model AL-100 Leveling Plate is recommended to level the sensor when used on a flat surface or being mounted to surfaces such as wood. To facilitate mounting on a mast or pipe, the Apogee Instruments model AL-120 Solar Mounting Bracket with Leveling Plate is recommended.

Nylon Screw: 10-32×3/8

Nylon Screw: 10-32×3/8

Model AL-100

Model AL-120
To minimize azimuth error, the sensor should be mounted with the cable pointing toward true north in the northern hemisphere or true south in the southern hemisphere. Azimuth error is typically less than 1 %, but it is easy to minimize by proper cable orientation.

In addition to orienting the cable to point toward the nearest pole, the sensor should also be mounted such that obstructions (e.g., weather station tripod/tower or other instrumentation) do not shade the sensor. Once mounted, the blue cap should be removed from the sensor. The blue cap can be used as a protective covering for the sensor when it is not in use.
CABLE CONNECTORS
Apogee started offering cable connectors on some bare-lead sensors in March 2018 to simplify the process of removing sensors from weather stations for calibration (the entire cable does not have to be removed from the station and shipped with the sensor). The ruggedized M8 connectors are rated IP68, made of corrosion-resistant marine-grade stainless-steel, and designed for extended use in harsh environmental conditions.

Cable connectors are attached directly to the head.
Instructions
- Pins and Wiring Colors: All Apogee connectors have six pins, but not all pins are used for every sensor. There may also be unused wire colors inside the cable. To simplify connection to a measurement device, the unused pigtail lead wire colors are removed.
If a replacement cable is required, please contact Apogee directly to ensure ordering the proper pigtail configuration.
- Alignment: When reconnecting a sensor, arrows on the connector jacket and an aligning notch ensure proper orientation.
Disconnection for extended periods: When disconnecting the sensor for an extended period of time from a station, protect the remaining half of the connector still on the station from water and dirt with electrical tape or other method
- Tightening: Connectors are designed to be firmly finger-tightened only. There is an oring inside the connector that can be overly compressed if a wrench is used. Pay attention to thread alignment to avoid cross-threading. When fully tightened, 1-2 threads may still be visible.

OPERATION AND MEASUREMENT
The SQ-422 quantum sensor has a Modbus output, where photosynthetic photon flux density (PPFD) is returned in digital format. Measurement of SQ-422 quantum sensors requires a measurement device with a Modbus interface that supports the Read Holding Registers (0x03) function.
Wiring

- White: RS-232 RX / RS-485 Positive
- Blue: RS-232 TX / RS-485 Negative
- Green: Select (Switch between RS-232 and RS-485) Black: Ground
- Red: Power +12 V
The Green wire should be connected to Ground to enable RS-485 communication, or it should be connected to 12 V power for RS-232 communication. Text for the White and Blue wires above refers to the port that the wires should be connected to.
Sensor Calibration
All Apogee Modbus quantum sensors (model SQ-422) have sensor-specific calibration coefficients determined during the custom calibration process. Coefficients are programmed into the sensors at the factory.
Modbus Interface
The following is a brief explanation of the Modbus protocol instructions used in Apogee SQ-422 quantum sensors. For questions on the implementation of this protocol, please refer to the official serial line implementation of the Modbus protocol: http://www.modbus.org/docs/Modbus_over_serial_line_V1_02.pdf (2006) and the general Modbus protocol specification: http://www.modbus.org/docs/Modbus_Application_Protocol_V1_1b3.pdf (2012). Further information can be found at: http://www.modbus.org/specs.php
Overview
The primary idea of the Modbus interface is that each sensor exists at an address and appears as a table of values. These values are called Registers. Each value in the table has an associated index, and that index is used to identify which value in the table is being accessed.
Sensor addresses
Each sensor is given an address from 1 to 247. Apogee sensors are shipped with a default address of 1. If using multiple sensors on the same Modbus line, the sensor’s address will have to be changed by writing the Slave Address register.
Register Index
Each register in a sensor represents a value in the sensor, such as a measurement or a configuration parameter. Some registers can only be read, some registers can only be written, and some can be both read and written. Each register exists at a specified index in the table for the sensor. Often this index is called an address, which is a separate address than the sensor address, but can be easily confused with the sensor address.
However, there are two different indexing schemes used for Modbus sensors, though translating between them is simple. One indexing scheme is called one-based numbering, where the first register is given the index of 1, and is thereby accessed by requesting access to regis er 1. The other indexing scheme is called zero-based numbering, where the first register is given the index 0, and is thereby accessed by requesting access to register 0. Apogee Sensors use zero-based numbering. However, if using the sensor in a system that uses one-based numbering, such as using a CR1000X logger, adding 1 to the zero-based address will produce the one-based address for the register.
Register Format:
According to the Modbus protocol specification, Holding Registers (the type registers Apogee sensors contain) are defined to be 16 bits wide. However, when making scientific measurements, it is desirable to obtain a more precise value than 16 bits allows. Thus, several Modbus implementations will use two 16-bit registers to act as one 32-bit register. Apogee Modbus sensors use this 32-bit implementation to provide measurement values as 32-bit IEEE 754 floating point numbers.
Apogee Modbus sensors also contain a redundant, duplicate set of registers that use 16-bit signed integers to represent values as decimal-shifted numbers. It is recommended to use the 32-bit values, if possible, as they contain more precise values.
Communication Parameters:
Apogee Sensors communicate using the Modbus RTU variant of the Modbus protocol. The default communication parameters are as follows:
- Slave address: 1
- Baudrate: 19200
- Data bits: 8
- Stop bits: 1
- Parity: Even
- Byte Order: Big-Endian (most significant byte sent first)
The baudrate and slave address are user configurable. Valid slave addresses are 1 to 247. Since the address 0 is reserve as the broadcast address, setting the slave address to 0 will actually set the slave address to 1. (This will also reset factory-calibrated values and should NOT be done by the user unless otherwise instructed.)
Read only registers (function code 0x3).
| Float Registers | |
| 0 1 | calibrated output µmol m⁻² s⁻¹ |
| 2 3 | detector millivolts |
| 4 5 | immersed output µmol m⁻² s⁻¹ |
| 6 7 | solar output µmol m⁻² s⁻¹ |
| 8 9 | Reserved for Future Use |
| 10 11 | device status (1 means device is busy, 0 otherwise) |
| 12 13 | firmware version |
| Integer Registers | |
| 40 | calibrated output µmol m⁻² s⁻¹ (shifted one decimal point to the left) |
| 41 | detector millivolts (shifted one decimal point to the left) |
| 42 | immersed output µmol m⁻² s⁻¹ (shifted one decimal point to the left) |
| 43 | solar output µmol m⁻² s⁻¹ (shifted one decimal point to the left) |
| 44 | Reserved for Future Use |
| 45 | device status (1 means device is busy, 0 otherwise) |
| 46 | firmware version (shifted one decimal point to the left) |
Read/Write registers (function codes 0x3 and 0x10).
| Float Registers | |
| 16 17 | slave address |
| 18 19 | model number* |
| 20 21 | serial number* |
| 22 23 | baudrate (0 = 115200, 1 = 57600, 2 = 38400, 3 = 19200, 4 = 9600, any other number = 19200) |
| 24 25 | parity (0 = none, 1 = odd, 2 = even) |
| 26 27 | number of stopbits |
| 28 29 | multiplier* |
| 30 31 | offset* |
| 32 33 | immersion factor* |
| 34 35 | solar multiplier* |
| 36 37 | running average |
| 38 39 | heater status |
| Integer Registers | |
| 48 | slave address |
| 49 | model number* |
| 50 | serial number* |
| 51 | baudrate (0 = 115200, 1 = 57600, 2 = 38400, 3 = 19200, 4 = 9600, any other number = 19200) |
| 52 | parity (0 = none, 1 = odd, 2 = even) |
| 53 | number of stopbits |
| 54 | multiplier (shifted two decimal points to the left)* |
| 55 | offset (shifted two decimal points to the left)* |
| 56 | immersion factor (shifted two decimal points to the left)* |
| 57 | solar multiplier (shifted two decimal points to the left)* |
| 58 | running average |
| 59 | heater status |
Registers marked with an asterisk (*) cannot be written to unless a specific procedure is followed. Contact Apogee Instruments to receive the procedure for writing these registers.
Write only registers (function code 0x10).
| Integer Registers | |
| 190 | Writing to this register resets Coefficients to firmware defaults. (NOT factory calibrated values!) Slave Address = 1, Model = 422, Serial = 1000, Baud = 3, Parity = 2, Stopbits = 1, running average = 1 |
Packet Framing:
Apogee sensors use Modbus RTU packets and tend to adhere to the following pattern:
Slave Address (1 byte), Function Code (1 byte), Starting Address (2 bytes), Number of Registers (2 bytes), Data Length (1 byte, optional) Data (n bytes, optional) Modbus RTU packets use the zero-based address when addressing registers.
For information on Modbus RTU framing, see the official documentation at http://www.modbus.org/docs/Modbus_Application_Protocol_V1_1b3.pdf
Example Packets:
An example of a data packet sent from the controller to the sensor using function code 0x3 reading register address 0. Each pair of square brackets indicates one byte. [Slave Address][Function][Starting Address High Byte][Starting Address Low Byte][No of Registers High Byte][No of Registers Low Byte][CRC High Byte][CRC Low Byte]
0x01 0x03 0x00 0x00 0x00 0x02 0xC4 0x0B An example of a data packet sent from the controller to the sensor using function code 0x10 writing a 1 to register 26. Each pair of square brackets indicates one byte. [Slave Address][Function][Starting Address High Byte][Starting Address Low Byte][No of Registers High Byte][No of Registers Low Byte][Byte Count][Data High Byte][Data Low Byte][Data High Byte][Data Low Byte][CRC High Byte][CRC Low Byte] 0x01 0x10 0x00 0x1A 0x00 0x02 0x04 0x3f 0x80 0x00 0x00 0x7f 0x20.
Spectral Error
The combination of diffuser transmittance, interference filter transmittance, and photodetector sensitivity yields spectral response of a quantum sensor. A perfect photodetector/filter/diffuser combination would exactly match the defined plant photosynthetic response to photons (equal weighting to all photons between 400 and 700 nm, no weighting of photons outside this range), but this is challenging in practice. Mismatch between the defined plant photosynthetic response and sensor spectral response results in spectral error when the sensor is used to measure radiation from sources with a different spectrum than the radiation source used to calibrate the sensor (Federer and Tanner, 1966; Ross and Sulev, 2000).
Spectral errors for PPFD measurements made under common radiation sources for growing plants were calculated for Apogee SQ-100/300 and SQ-500 series quantum sensors using the method of Federer and Tanner (1966). This method requires PPFD weighting factors (defined plant photosynthetic response), measured sensor spectral response (shown in Spectral Response section on page 7), and radiation source spectral outputs (measured with a spectroradiometer). Note, this method calculates spectral error only and does not consider calibration, directional (cosine), temperature, and stability/drift errors. Spectral error data (listed in table below) indicate errors less than 5 % for sunlight in different conditions (clear, cloudy, reflected from plant canopies, transmitted below plant canopies) and common broad spectrum electric lamps (cool white fluorescent, metal halide, high pressure sodium), but larger errors for different mixtures of light emitting diodes (LEDs) for the SQ-100 series sensors. Spectral errors for the SQ-500 series sensors are smaller than those for SQ-100 series sensors because the spectral response of SQ-500 series sensors is a closer match to the defined plant photosynthetic response. Quantum sensors are the most common instrument for measuring PPFD, because they are about an order of magnitude lower cost the spectroradiometers, but spectral errors must be considered. The spectral errors in the table below can be used as correction factors for individual radiation sources. Spectral Errors for PPFD Measurements with Apogee SQ-100 and SQ-500 Series Quantum Sensors
| Radiation Source (Error Calculated Relative to Sun, Clear Sky) | SQ-100/300 Series PPFD Error [%] | SQ-500 Series PPFD Error [%] |
| Sun (Clear Sky) | 0.0 | 0.0 |
| Sun (Cloudy Sky) | 0.2 | 0.1 |
| Reflected from Grass Canopy | 3.8 | -0.3 |
| Transmitted below Wheat Canopy | 4.5 | 0.1 |
| Cool White Fluorescent (T5) | 0.0 | 0.1 |
| Metal Halide | -2.8 | 0.9 |
| Ceramic Metal Halide | -16.1 | 0.3 |
| High Pressure Sodium | 0.2 | 0.1 |
| Blue LED (448 nm peak, 20 nm full-width half-maximum) | -10.5 | -0.7 |
| Green LED (524 nm peak, 30 nm full-width half-maximum) | 8.8 | 3.2 |
| Red LED (635 nm peak, 20 nm full-width half-maximum) | 2.6 | 0.8 |
| Red LED (667 nm peak, 20 nm full-width half-maximum) | -62.1 | 2.8 |
| Red, Blue LED Mixture (80 % Red, 20 % Blue) | -72.8 | -3.9 |
| Red, Blue, White LED Mixture (60 % Red, 25 % White, 15 % Blue) | -35.5 | -2.0 |
| Cool White LED | -3.3 | 0.5 |
| Warm White LED | -8.9 | 0.2 |
Federer, C.A., and C.B. Tanner, 1966. Sensors for measuring light available for photosynthesis. Ecology 47:654-657. Ross, J., and M. Sulev, 2000. Sources of errors in measurements of PAR. Agricultural and Forest Meteorology 100:103-125.
Yield Photon Flux Density (YPFD) Measurements
Photosynthesis in plants does not respond equally to all photons. Relative quantum yield (plant photosynthetic efficiency) is dependent on wavelength (green line in figure below) (McCree, 1972a; Inada, 1976). This is due to the combination of spectral absorptivity of plant leaves (absorptivity is higher for blue and red photons than green photons) and absorption by non-photosynthetic pigments. As a result, photons in the wavelength range of approximately 600-630 nm are the most efficient.

Defined plant response to photons (black line, weighting factors used to calculate PPFD), measured plant response to photons (green line, weighting factors used to calculate YPFD), and SQ-100 series and SQ-300 series quantum sensor response to photons (sensor spectral response).
One potential definition of PAR is weighting photon flux density in units ofmol m-2 s-1 at each wavelength between 300 and 800 nm by measured relative quantum yield and summing the result. This is defined as yield photon flux density (YPFD, units of mol m-2 s-1) (Sager et al., 1988). There are uncertainties and challenges associated with this definition of PAR. Measurements used to generate the relative quantum yield data were made on single leaves under low radiation levels and at short time scales (McCree, 1972a; Inada, 1976). Whole plants and plant canopies typically have multiple leaf layers and are generally grown in the field or greenhouse over the course of an entire growing season. Thus, actual conditions plants are subject to are likely different than those the single leaves were in when measurements were made by McCree (1972a) and Inada (1976). In addition, relative quantum yield shown in the figure above is the mean from twenty-two species grown in the field (McCree, 1972a). Mean relative quantum yield for the same species grown in growth chambers was similar, but there were differences, particularly at shorter wavelengths (less than 450 nm). There was also some variability between species (McCree, 1972a; Inada, 1976).
McCree (1972b) found that equally weighting all photons between 400 and 700 nm and summing the result, defined as photosynthetic photon flux density (PPFD, in units of mol m-2 s-1), was well correlated to photosynthesis, and very similar to correlation between YPFD and photosynthesis. As a matter of practicality, PPFD is a simpler definition of PAR. At the same time as McCree’s work, others had proposed PPFD as an accurate measure of PAR and built sensors that approximated the PPFD weighting factors (Biggs et al., 1971; Federer and Tanner, 1966). Correlation between PPFD and YPFD measurements for several radiation sources is very high (figure below), as an approximation, YPFD = 0.9PPFD. As a result, almost universally PAR is defined as PPFD rather than YPFD, although YPFD has been used in some studies. The only radiation sources shown (figure below) that don’t fall on the regression line are the high pressure sodium (HPS) lamp, reflection from a plant canopy, and transmission below a plant canopy. A large fraction of radiation from HPS lamps is in the red range of wavelengths where the YPFD weighting factors (measured relative quantum yield) are at or near one. The factor for converting PPFD to YPFD for HPS lamps is 0.95, rather than 0.90. The factor for converting PPFD to YPFD for reflected and transmitted photons is 1.00.

Correlation between photosynthetic photon flux density (PPFD) and yield photon flux density (YPFD) for multiple different radiation sources. YPFD is approximately 90 % of PPFD. Measurements were made with a spectroradiometer (Apogee Instruments model PS-200) and weighting factors shown in the previous figure were used to calculate PPFD and YPFD.
Biggs, W., A.R. Edison, J.D. Eastin, K.W. Brown, J.W. Maranville, and M.D. Clegg, 1971. Photosynthesis light sensor and meter. Ecology 52:125-131.
Federer, C.A., and C.B. Tanner, 1966. Sensors for measuring light available for photosynthesis. Ecology 47:654-657.
Inada, K., 1976. Action spectra for photosynthesis in higher plants. Plant and Cell Physiology 17:355-365.
McCree, K.J., 1972a. The action spectrum, absorptance and quantum yield of photosynthesis in crop plants. Agricultural Meteorology 9:191-216.
McCree, K.J., 1972b.
Immersion Effect Correction Factor
When a radiation sensor is submerged in water, more of the incident radiation is backscattered out of the diffuser than when the sensor is in air (Smith, 1969; Tyler and Smith, 1970). This phenomenon is caused by the difference in the refractive index for air (1.00) and water (1.33), and is called the immersion effect. Without correction for the immersion effect, radiation sensors calibrated in air can only provide relative values underwater (Smith, 1969; Tyler and Smith, 1970). Immersion effect correction factors can be derived by making measurements in air and at multiple water depths at a constant distance from a lamp in a controlled laboratory setting.
Apogee SQ-100 series and SQ-300 series quantum sensors have an immersion effect correction factor of 1.08. This correction factor should be multiplied by PPFD measurements made underwater to yield accurate PPFD.
Further information on underwater measurements and the immersion effect can be found on the Apogee webpage (http://www.apogeeinstruments.com/underwater-par-measurements/).
Smith, R.C., 1969. An underwater spectral irradiance collector. Journal of Marine Research 27:341-351.
Tyler, J.E., and R.C. Smith, 1970. Measurements of Spectral Irradiance Underwater. Gordon and Breach, New York, New York.
MAINTENANCE AND RECALIBRATION
Blocking of the optical path between the target and detector can cause low readings. Occasionally, accumulated materials on the diffuser can block the optical path in three common ways:
- Moisture or debris on the diffuser.
- Dust during periods of low rainfall.
- Salt deposit accumulation from evaporation of sea spray or sprinkler irrigation water.
Apogee Instruments quantum sensors have a domed diffuser and housing for improved self-cleaning from rainfall, but active cleaning may be necessary. Dust or organic deposits are best removed using water, or window cleaner, and a soft cloth or cotton swab. Salt deposits should be dissolved with vinegar and removed with a cloth or cotton swab. Salt deposits cannot be removed with solvents such as alcohol or acetone. Use only gentle pressure when cleaning the diffuser with a cotton swab or soft cloth to avoid scratching the outer surface. The solvent should be allowed to do the cleaning, not mechanical force. Never use abrasive material or cleaner on the diffuser.
Although Apogee sensors are very stable, nominal calibration drift is normal for all research-grade sensors. To ensure maximum accuracy, recalibration every two years is recommended. Longer time periods between recalibration may be warranted depending on tolerances. See the Apogee webpage for details regarding return of sensors for recalibration (http://www.apogeeinstruments.com/tech-support-recalibration-repairs/).
To determine if a specific sensor needs recalibration, the Clear Sky Calculator (www.clearskycalculator.com) website and/or smartphone app can be used to indicate PPFD incident on a horizontal surface at any time of day at any location in the world. It is most accurate when used near solar noon in spring and summer months, where accuracy over multiple clear and unpolluted days is estimated to be ± 4 % in all climates and locations around the world. For best accuracy, the sky must be completely clear, as reflected radiation from clouds causes incoming radiation to increase above the value predicted by the clear sky calculator. Measured PPFD can exceed PPFD predicted by the Clear Sky Calculator due to reflection from thin, high clouds and edges of clouds, which enhances incident PPFD. The influence of high clouds typically shows up as spikes above clear sky values, not a constant offset greater than clear sky values.
To determine recalibration need, input site conditions into the calculator and compare PPFD measurements to calculated PPFD for a clear sky. If sensor PPFD measurements over multiple days near solar noon are consistently different than calculated PPFD (by more than 6 %), the sensor should be cleaned and re-leveled. If measurements are still different after a second test, email [email protected] to discuss test results and possible return of sensor(s).

Homepage of the Clear Sky Calculator. Two calculators are available: one for quantum sensors (PPFD) and one for pyranometers (total shortwave radiation).

Clear Sky Calculator for quantum sensors. Site data are input in blue cells in middle of page and an estimate of PPFD is returned on right-hand side of page.
TROUBLESHOOTING AND CUSTOMER SUPPORT
Independent Verification of Functionality
If the sensor does not communicate with the datalogger, use an ammeter to check the current drain. It should be near 37 mA when the sensor is powered. Any current drain significantly greater than approximately 37 mA indicates a problem with power supply to the sensors, wiring of the sensor, or sensor electronics.
- Compatible Measurement Devices (Dataloggers/Controllers/Meters)
Any datalogger or meter with RS-232/RS-485 that can read/write float or integer values.
An example datalogger program for Campbell Scientific dataloggers can be found at
https://www.apogeeinstruments.com/content/Quantum-Modbus.CR1. - Cable Length
All Apogee sensors use shielded cable to minimize electromagnetic interference. For best communication, the shield wire must be connected to an earth ground. This is particularly important when using the sensor with long lead lengths in electromagnetically noisy environments. - RS-232 Cable Length
If using an RS-232 serial interface, the cable length from the sensor to the controller should be kept short, no longer than 20 meters. For more information, see section 3.3.5 in this document:
http://www.modbus.org/docs/Modbus_over_serial_line_V1_02.pdf - RS-485 Cable Length
If using an RS-485 serial interface, longer cable lengths may be used. The trunk cable can be up to 1000 meters long. The length of cable from the sensor to a tap on the trunk should be short, no more than 20 meters. For more information, see section 3.4 in this document: http://www.modbus.org/docs/Modbus_over_serial_line_V1_02.pdf
Troubleshooting Tips
- Make sure to use the green wire to select between RS-232 and RS-485.
- Make sure that the sensor is wired correctly (refer to wiring diagram).
- Make sure the sensor is powered by a power supply with a sufficient output (e.g., 12 V).
- Make sure to use the appropriate kind of variable when reading Modbus registers. Use a float variable for float registers and an integer variable for integer registers.
- Make sure the baudrate, stop bits, parity, byte order, and protocols match between the control program and the sensor. Default values are:
- Baudrate: 19200
- Stop bits: 1
- Parity: Even
- Byte order: ABCD (Big-Endian/Most Significant Byte First)
- Protocol: RS-232 or RS-485
RETURN AND WARRANTY POLICY
RETURN POLICY
Apogee Instruments will accept returns within 30 days of purchase as long as the product is in new condition (to be determined by Apogee). Returns are subject to a 10 % restocking fee.
WARRANTY POLICY
- What is Covered
All products manufactured by Apogee Instruments are warranted to be free from defects in materials and craftsmanship for a period of four (4) years from the date of shipment from our factory. To be considered for warranty coverage an item must be evaluated by Apogee.
Products not manufactured by Apogee (spectroradiometers, chlorophyll content meters, EE08-SS probes) are covered for a period of one (1) year. - What is Not Covered
The customer is responsible for all costs associated with the removal, reinstallation, and shipping of suspected warranty items to our factory.
The warranty does not cover equipment that has been damaged due to the following conditions:- Improper installation or abuse.
- Operation of the instrument outside of its specified operating range.
- Natural occurrences such as lightning, fire, etc.
- Unauthorized modification.
- Improper or unauthorized repair.
Please note that nominal accuracy drift is normal over time. Routine recalibration of sensors/meters is considered part of proper maintenance and is not covered under warranty.
Who is Covered
This warranty covers the original purchaser of the product or other party who may own it during the warranty period.
What Apogee Will Do
At no charge Apogee will:
- Either repair or replace (at our discretion) the item under warranty.
- Ship the item back to the customer by the carrier of our choice.
Different or expedited shipping methods will be at the customer’s expense.
How To Return An Item
- Please do not send any products back to Apogee Instruments until you have received a Return Merchandise Authorization (RMA) number from our technical support department by submitting an online RMA form at
www.apogeeinstruments.com/tech-support-recalibration-repairs/. We will use your RMA number for tracking of the service item. Call (435) 245-8012 or email [email protected] with questions. - For warranty evaluations, send all RMA sensors and meters back in the following condition: Clean the sensor’s exterior and cord. Do not modify the sensors or wires, including splicing, cutting wire leads, etc. If a connector has been attached to the cable end, please include the mating connector – otherwise the sensor connector will be removed in order to complete the repair/recalibration.
Note: When sending back sensors for routine calibration that have Apogee’s standard stainless-steel connectors, you only need to send the sensor with the 30 cm section of cable and one-half of the connector. We have mating connectors at our factory that can be used for calibrating the sensor. - Please write the RMA number on the outside of the shipping container.
- Return the item with freight pre-paid and fully insured to our factory address shown below. We are not responsible for any costs associated with the transportation of products across international borders.
Apogee Instruments, Inc.
721 West 1800 North Logan, UT
84321, USA - Upon receipt, Apogee Instruments will determine the cause of failure. If the product is found to be defective in terms of operation to the published specifications due to a failure of product materials or craftsmanship, Apogee Instruments will repair or replace the items free of charge. If it is determined that your product is not covered under warranty, you will be informed and given an estimated repair/replacement cost.
PRODUCTS BEYOND THE WARRANTY PERIOD
For issues with sensors beyond the warranty period, please contact Apogee at [email protected] to discuss repair or replacement options.
OTHER TERMS
The available remedy of defects under this warranty is for the repair or replacement of the original product, and Apogee Instruments is not responsible for any direct, indirect, incidental, or consequential damages, including but not limited to loss of income, loss of revenue, loss of profit, loss of data, loss of wages, loss of time, loss of sales, accruement of debts or expenses, injury to personal property, or injury to any person or any other type of damage or loss.
This limited warranty and any disputes arising out of or in connection with this limited warranty (“Disputes”) shall be governed by the laws of the State of Utah, USA, excluding conflicts of law principles and excluding the Convention for the International Sale of Goods. The courts located in the State of Utah, USA, shall have exclusive jurisdiction over any Disputes. This limited warranty gives you specific legal rights, and you may also have other rights, which vary from state to state and jurisdiction to jurisdiction, and which shall not be affected by this limited warranty. This warranty extends only to you and cannot by transferred or assigned. If any provision of this limited warranty is unlawful, void or unenforceable, that provision shall be deemed severable and shall not affect any remaining provisions. In case of any inconsistency between the English and other versions of this limited warranty, the English version shall prevail. This warranty cannot be changed, assumed, or amended by any other person or agreement.
APOGEE INSTRUMENTS, INC
721 WEST 1800 NORTH, LOGAN, UTAH 84321, USA TEL: (435) 792-4700
FAX: (435) 787-8268
WEB: APOGEEINSTRUMENTS.COM
Copyright © 2021 Apogee Instruments, Inc.
References
Apogee Instruments | Official Site
Recalibration and Repair | Apogee Instruments
Underwater PAR Measurements | Apogee Instruments
Clear Sky Calculator | Apogee Instruments Inc.
Clear Sky Calculator | Apogee Instruments Inc.
Modbus Specifications and Implementation Guides
apogeeinstruments.com/content/Quantum-Modbus.CR1























