
Infrared Ear/Forehead Thermometer
Thanks for buying and using this product, please read this manual carefully before use.
User manual
PG- IRT1603
Safety caution items
- The warning signs and illustrations indicated in the manual are intended to enable you to use the product safely and correctly and to prevent any harm to you and others.
- Warning signs, illustrations and their meanings are as follows.
Caution: please refer to attached file.
Icon | Legends |
| This mark means warning things(the things that you have to follow), the left graph shows general compulsion. | |
| It means general warning. | |
| This mark means prohibited things (not allowed things), it means general prohibition in left picture. | |
| This mark means prohibited disassembly. | |
| Type BF Applied part | |
| Water resistance, moisture resistance. | |
| It means that you need to read the manual carefully before use. | |
| It means the package of this unit can comply with the requirements of green environmental protection. | |
| It means that the material of product or product itself is made of renewable material so that we can cycle this product, which benefits the environment and our earth. | |
| No discard it at will is allowed. | |
| IP Classification: IP22 | |
| • Please ask professional doctors to explain the measured value of body temperature. • The product is only used for human body temperature measurement. • Please do not use this product for purposes other than body temperature measurement. • No mobile phones are allowed to use around this product. • Please do not use equipment that generates electromagnetic fields near the product. | |
| • Please do not disassemble or repair this device by yourself including changing device. • Please do not bend or stretch the device hard. • Please do not impact or drop this product. | |
| • This unit is only used for human body temperature measurement without use of disease diagnosis; it cannot be used for emergency and continuous measurement in surgery. • The kids should get away from this product. If the kids are in this range from zero to twelve years old, they need to use this unit to measure under their parents help. • The patients cannot diagnose the disease and get treatment by themselves on the base of measurement result, they must follow the instruction of doctors. • Children under 12 years of age and those who cannot express their thoughts are prohibited from using them. • Please do not use this product for these people who suffer from otitis external, tympanitis and other ear diseases. | |
If you use or store this product beyond the range of specified temperature and humidity, maybe it can not reach original performance specification.
Use environment: temperature: from +10°C~+40°C,
humidity: from 15%RH~93%RH
Storage environment: temperature: from -25°C~+55°C,
humidity: from 0%RH~93%RH
Product introduction
Intended use: Infrared Forehead Thermometer intended to measure human body temperature by measuring ear canal or forehead.
Scope of application: It is suitable for displaying the body temperature of the measured object by measuring the heat radiation in the ear canal or forehead.
Features:
- Non-touching type infrared measurement of ear/forehead temperature.
- Multiple colors and backlight display: White, Green, Orange and Red.
- 9 sets of memory values.
- The switch of degree Fahrenheit and degree Celsius °C.(original setting is degree Celsius°C )
- Instant measurement within 1 second.
- The design is convenient and economical without earmuff, which can save subsequent use costs.
- It has the function of sound on/off.
- The machine idle time of 30 seconds, turn off power automatically.
- Warm tip: The measurement results of this unit at any time only can be a reference, it can not replace the medical diagnosis of professional doctor. If you have any question about the personal temperature measurement result , please use and diagnose under the right instructions of doctor.
Use caution items
Warning
- It is very dangerous for patients to judge and treat on their own only by measurement results, so please be sure to follow the doctor’s instructions.
• Self-judgment may lead to a worsening condition of patient. - Please do not touch with your hands or blow infrared sensor with your mouth.
• When the infrared sensor is damaged or dirty, it may cause abnormal measurement results. - If there is a temperature difference between the storage site and the measurement site, please place it at room temperature (measurement sitefor about 30 minutes before next measurement.
• May result in incorrect measurement results. - Please keep this product out of the reach of children.
• When the child sticks to measure by himself, his ears may get hurt. If he swallows the battery or the transparent cover accidentally , please contact your doctor immediately. - When measuring body temperature, please do not get close to air conditioning.
• Avoid affecting the measurement accuracy. - Before and after use every time, use a cotton swab dipped 95% absolute alcohol to wipe the probe surface.(If you see stains, fog or water on the infrared sensor glass, please use a cotton swab dipped 95% anhydrous alcohol for wiping the infrared sensor glass gently.)
• If you wipe it with toilet paper or facial tissue, it will scratch the infrared sensor resulting in incorrect measurement result.
• Avoid cross-infection of ear disease and affect the accuracy of the measurement. - The product suffers mechanical damage.
• There is a possibility that the measurement is not right. - The product touches water or immerses water accidentally, please fully dry before use, especially the water on the surface of the sensor should be clean by using cotton swab.
• Our aim is to avoid causing safety accidents and affecting measurement accuracy.
Caution:
- Please do not use this product for these people who suffer from otitis external, tympanitis and other ear diseases.
• It is possible to worsen the affected area. - Please do not use this product after swimming or bath or wet ears.
• It is possible to have low measured temperature value. - Do not place waste battery to danger zone.
• The battery may break. - When measuring the ear temperature of human body, the product must be operated in the ear temperature mode.
• Result in inaccurate measurement result.
Suggestions
- When you tell the doctor measured body temperature value, please tell the doctor that you measured it with ear thermometer.
- Please don’t force to impact, fall, trample and shake this product.
- Please do not disassemble, repair and modify this product.
- Please do not allow liquid(such as alcohol, water- drop, hot water and so on) to enter the product body because of this product without water resistance.
- The product must be kept clean in a dry place.
- If you find any problems, please contact the sales , you can not repair the product by yourself.
- Please do not use it under the environment of electromagnetic interference.
- Please deal with the waste and residue of this product at the end of the service life according to local laws and regulations.
Common sense about body temperature
The comparison of different measurement methods. The measured values are different if we use different measurement methods. The WHO provides normal human body temperature reference values, please see below table about the specific temperature difference.
| Measurement methods | Normal body temperature |
| Anal temperature | 36.6℃ 38~ ℃ |
| Oral temperature | 35.5℃ ~ 37.5 ℃ |
| Axillary temperature | 34.7 ℃~ 37.3℃ |
| Cochlear temperature | 35.8℃ ~ 38 ℃ |
| Oral temperature | 35.5 ℃~37.5℃ (PG-IRT1603 measured value) |
The changes in human body temperature
Human belongs to constant temperature animals , the body temperature is basically constant, but it is not totally changeless, the human body temperature is onstantly changing in a day, the details as follows:
At night
Lowest Body temperature is lowest because of sleep and decreasing activity.(below 37℃ )
In the morning
Higher From warm bed to the lower temperature room in the morning, the whole body’s muscles get contractions and produce heat.
At noon
Highest After lunch, human body reaches the highest temperature and the body will adjust naturally.
Three or four o’clock in the afternoon
Lower Due to physical exertion, blood sugar decreased.
In the evening
Lowest Due to the sun down, room temperature goes down.
Product layout

The screen display marks description

Battery installation explanation
Battery installation flow:
- Press battery cover, the battery cover will bounce automatically.
- Prepare two pieces of battery with the module of 1.5V AAA ( number seven battery) batteries (It is recommended to use alkaline batteries), please install it into base of battery according to correct positive and negative poles.

Insufficient power caution: when battery voltage is lack, LCD shows”LO”
sign and battery mark is always on, which means you should replace the battery.
Warm prompts
- If you do not use this product for a long time, please take out battery to assure its longevity. The liquid leakage of battery will harm the product; as well as pollute our environment.
- It is recommended to use alkaline batteries.
- The way to handle scrapped battery should match the requirements of local country government and environmental protection organ.

Basic parameter instructions
- Sound function: turn on/off
1) In the power-on state, press “mem” key to set the sound on or off.
2) Press “mem” button, LCD screen will show “
” it means the sound works, meanwhile we will hear a short beep sound.
3) Press “mem” button again, “
” will change into, “
” it means the sound will be off. - The switch of °For °C
In off status , long press “mem” button for six seconds, it can switch between Fahrenheit degree (°F)and Celsius degree (°C). Wait for 8 seconds to turn on the product automatically or press “
” to turn off the product directly. - Memory storage function
In off status, press “mem” button, the product can read and save 9 sets of measurement values in order (as below picture shows). It will turn off automatically without operating for 30 seconds or press”
“button to turn off this product with your hands.
- Back light status instructions
When measured temperature is <34°C, it shows LO with red backlight.
When measured temperature value is ≥34°C, <37.2°C, it means normal body temperature and shows green backlight.
When measured temperature value is ≥37.2°C, <38.2°C, it means that you have a bit of fever and shows orange backlight.
When measured temperature value is ≥38.2°C, ≤43.0°C, it means that you are in fever stage and shows red backlight.
When measured temperature value is >43.0°C, it shows red backlight and shows HI.
Warm prompts: This function is for reference only.
Introduction of Measurement methods

Please pull back ears of your kid who is within one year old.
Ear temperature

Please pull these persons’ ears back above.(over one year old kids and adults)
Ear temperature

The center of forehead
Forehead temperature
- Ear temperature measurement
Warm prompts: Remove the head cover of forehead thermometer which can measure ear temperature.
1.1 After removing head cover, please press”
“button to turn on this product to enter the ear temperature measurement mode, LCD will display measurement value last time. Then put the thermometer in your ear, the ear temperature can be measured directly by pressing”
“button.
1.2 After 1 second, you can see the measurement result.
When LCD is flashing, we are waiting for starting measurement. Measurement result
Note: If you did not hear the beep sound, which represents the temperature measurement has not yet been completed. Please do not remove the thermometer probe from ear canal at this time. (If you have closed the sound indication, it will have no sound indication.) - Forehead temperature measurement
Warm prompts: Install head cover of forehead thermometer which can measure forehead temperature.
2.1 After installing head cover of forehead thermometer, press”
“button to turn on this product to enter the forehead temperature measurement mode, LCD will display measurement value last time. Then the forehead thermometer is aimed at the center of the forehead and measurement distance should be 0~5mm, the forehead temperature can be measured directly by pressing “
” button.
2.2 After 1 second, you can see the measurement result.
When LCD is flashing, we are waiting for starting measurement. Measurement result
Note: If you did not hear the beep sound, which represents the temperature measurement has not yet been completed. Please do not remove the thermometer probe from forehead at this time. (If you have closed the sound indication, it will have no sound indication.) - Object pattern measurement
Warm prompt: The installation of the head cover of forehead temperature has no influence to object pattern measurement.
3.1 Long press”
“button to enter the object measurement mode for 6 seconds, and then aim the thermometer at the object, the temperature of the target object can be measured directly by pressing”
“button.
3.2 After 1 second, you can see the result of the measurement.
When LCD is flashing, we are waiting for starting measurement. Measurement result
Note: If you did not hear the beep sound, which represents the temperature measurement has not yet been completed. Please do not remove thermometer probe from target object at this time. (If you have closed the sound indication, it will not have sound indication.)
Product cleaning methods instructions
- About thermometer probe: please use cotton swab to dip alcohol without water to clean thermometer probe to avoid cross infection after we finish temperature measurement every time. (Note: please don’t wash the product directly under the faucet.)
- This product itself: please wipe the product with a soft and dry cloth to avoid scratching of the product; please do not clean the product directly with water.
Warm prompt: Why do you need to do a cleaning job after each measurement? Because infrared temperature adopts highly sensitive technique to detect the temperature of the target object, not only will any earwax and dust paste affect the measurement accuracy, more likely to cause bacteria infection. So we suggest that you should do cleaning job well as the picture shows after you use every time.
Frequently Asked Questions and Solutions
Screen display | Reasons | Solutions |
| HI | When the target object temperature is higher than measurement range which the ear temperature is more than 43.0℃, the LCD screen will show “HI” indication. | 1. (When the measurement probe is not properly placed in the ear canal or if the measurement distance is too far during the measurement process, the measurement result may be low.) 2. When measurement probe is dirty, the measurement value may be low; we should use a cotton swab to dip alcohol to wash the measurement probe properly. |
| Lo | When the target object temperature is lower than measurement range which the ear temperature is less than 34℃, the LCD screen will show “Lo” indication. | |
| Er.H | This product has an upper limit of operating temperature of 40°C. When the ambient temperature exceeds this temperature point, the LCD screen will display an error message “Er.H”. | When you operate this product, the environment temperature cannot be greater than 40℃. |
| Er.L | This product has a lower limit of operating temperature of 10°C. When the ambient temperature exceeds this temperature point, the LCD screen will display an error message “Er.L”. | When you operate this product, the environment temperature can not be lower than 10℃. |
| Err | When the environment temperature changes rapidly about 5 degrees, it will show “ Err ” during measurement in object temperature mode, then shutdown automatically. | When it shows “Err”, please place this product and keep steady in current environment for 30 minutes before next measurement. |
Troubleshooting
| Phenomenons | Reasons | Solutions |
| When the power is turned on, the screen can not be displayed. | The battery is exhausted. | Replace the new battery. |
| The battery polarity is wrong. | The battery polarity is the same as the battery case. | |
| The measurement temperature is low. | The measurement position is not correct. | Measure the temperature correctly according to the instructions. |
| There are dirt stuff in the sensor or ear canal. | Please clear the dirt before the measurement. | |
| Big temperature fluctuations with continuous measurement. | The measurement interval is too small. | The interval for each measurement should be above 10 seconds. |
Specifications of the product
Product name: Infrared Ear/Forehead Thermometer
Model number: PG-IRT1603
Product appearance dimensions: 31×175×72mm
Product weight: about 77g (except battery)
Measuring range: 34.0°C-43.0°C.(93.2-109.4°F)
Object temperature: 0- 93.2°C (32-199.7°F)
Resolution ratio: 0.1°C/°F
Measurement Location: laboratory
Accuracy: (35.0°C~42.0°C)±0.2°C(95.0~107.9°F) ±0.4°Fother temperature±0.3°C.
Operation temperature: 10.0°C~40.0°C(50.0°F~104.0°F) relative maximum humidity 15%RH~93%RH
Atmospheric pressure:70kPa~106kPa
Transportation/storage temperature: -25~55°C (-13°F~131°F), relative maximum humidity 0%RH~93%RH
Atmospheric pressure: 50kPa~106kPa
Display screen: LCD display screen, 4 bit numbers and special icons.
Sound: when you turn on the product and ready to measure, a short beep will be heard.
The measurement is finished with a long beep. System error or fault: short beeps for three times. Fever alert: short beeps for ten times come with urgency.
Memory: in memory mode, it can record nine temperature numbers.
Automatically shut down: if no operation for 30 seconds, it will shutdown automatically.
Battery: two pieces of 1.5V AAA (number seven)batteries (alkaline batteries are recommended to use).
Period of use: five years
1603 Forehead mode
Clinical bias, Dcb: 0.078
Limits of Agreement, LA0.243
Clinical Repeatability, r0.069
The reference body site: forehead
Measuring site: forehead
Packing parts list
- Main body
- Product manual
Appendix 1 Guidance and Manufacturer Declaration Tables
| Guidance and manufacturer’s declaration–electromagnetic emissions | ||
| The Model PG-IRT1603 is intended for use in Infrared Thermometer the electromagnetic environment specified below. The customer or the user of the Model PG-IRT1603 Infrared Thermometer should assure that it is used in such an environment. | ||
| Emissions | Compliance | Electromagnetic environment-guidance |
| RF emissions CISPR 11 | Group 1 | The Thermometer uses RF energy only for its internal function. Therefore, its RF emissions are very low and are not likely to cause any interference in nearby electronic equipment. Model PG-IRT1603 Infrared |
| RF emissions CISPR 11 | Class B | The Model PG-IRT1603 Infrared Thermometer is used in home and it’s powered by DC 3V |
| Harmonic emissions IEC 61000-3-2 | N.A. | |
| Voltage fluctuations/flicker emissions IEC 61000-3-3 | N.A. | |
| Guidance and manufacturer’s declaration – electromagnetic immunity | |||
| The Model PG-IRT1603 Infrared Thermometer is intended for use in the electromagnetic environment specified below. The customer or the user of the Model PG-IRT1603 Infrared Thermometer should assure that it is used in such an environment. | |||
| Immunity test | IEC 60601 test level | Compliance level | Electromagnetic environment-guidance |
| Electrostatic discharge (ESD)IEC 61000-4-2 | ±8 kV contact ±2 kV, ±4 kV, ±8 kV, ±15KV air | ±8 kV contact ±2 kV, ±4 kV, ±8 kV, ±15 KV air | Floors should be wood, concrete or ceramic tile. If floors are covered with synthetic material, the relative humidity should be at least 30 %. |
| Power frequency (50/60 Hz) magnetic field IEC 61000-4-8 | 30 A/m, 50/60Hz | 30 A/m, 50/60Hz | Power frequency magnetic fields should be at levels characteristic of a typical location in a typical commercial or hospital nvironment. |
| NOTE U T is the a.c. mains voltage prior to application of the test level | |||
| Guidance and manufacturer’s declaration – electromagnetic immunity | |||
| The is intended for use Model PG-IRT1603 Infrared Thermometer in the electromagnetic environment specified below. The customer or the user of the Model PG-IRT1603 Infrared Thermometer should assure that it is used in such an environment. | |||
| Immunity test | IEC 60601 test level | Compliance level | Electromagnetic environment – guidance |
| Conducted RF IEC 61000-4-6
Radiated RF IEC 61000-4-3 | 3 Vrms150 kHz to 80 MHz 6 Vrms 150 kHz to 80 MHz outside ISM bandsa
10 V/m 80 MHZ to 2.7 GHz | N/A
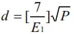
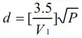
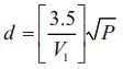
10 V/m | Portable and mobile RF communications equipment should be used no closer to any part of the Model PG-IRT1603 Infrared Thermometer, including cables, than the recommended separation distance calculated from the equation applicable to the frequency of the transmitter. Recommended separation distance |
| NOTE 1 At 80 MHz and 800 MHz, the higher frequency range applies. NOTE 2 These guidelines may not apply in all situations. Electromagnetic propagation is affected by absorption and reflection from structures, objects and people. |
| a The ISM (industrial, scientific and medical) bands between 0,15 MHz and 80 MHz are 6,765 MHz to 6,795 MHz; 13,553 MHz to 13,567 MHz; 26,957 MHz to 27,283 MHz; and 40,66 MHz to 40,70 MHz. The amateur radio bands between 0,15 MHz and 80 MHz are 1,8 MHz to 2,0 MHz, 3,5 MHz to 4,0 MHz, 5,3 MHz to 5,4 MHz, 7 MHz to 7,3 MHz, 10,1 MHz to 10,15 MHz, 14 MHz to 14,2 MHz, 18,07 MHz to 18,17 MHZ, 21,0 MHz to 21,4 MHz, 24,89 MHz to 24,99 MHz, 28,0 MHz to 29,7 MHz and 50,0 MHz to 54,0 MHz. |
| b The compliance levels in the ISM frequency bands between 150 kHz and 80 MHz and in the frequency range 80 MHz to 2,7 GHz are intended to decrease the likelihood that mobile/portable communications equipment could cause interference if it is inadvertently brought into patient areas. For this reason, an additional factor of 10/3 has been incorporated into the formulae used in calculating the recommended separation distance for transmitters in these frequency ranges. |
| c Field strengths from fixed transmitters, such as base stations for radio (cellular/cordless) telephones and land mobile radios, amateur radio, AM and FM radio broadcast and TV broadcast cannot be predicted theoretically with accuracy. To assess the electromagnetic environment due to fixed RF transmitters, an electromagnetic site survey should be considered. If the measured field strength in the location in which the Model PG-IRT1603 Infrared Thermometer is used exceeds the applicable RF compliance level above, the Model PG-IRT1603 Infrared Thermometer should be observed to verify normal operation. If abnormal performance is observed, additional measures may be necessary, such as re-orienting or relocating the Model PG-IRT1603 Infrared Thermometer. |
| d Over the frequency range 150 kHz to 80 MHz, field strengths should be less than 3 V/m. |
| Recommended separation distances between portable and mobile RF communications equipment and the Model PG-IRT1603 Infrared Thermometer | |||
| The is intended for use in an Model PG-IRT1603 Infrared Thermometer electromagnetic environment in which radiated RF disturbances are controlled. The customer or the user of the Model PG-IRT1603 Infrared Thermometer can help prevent electromagnetic interference by maintaining a minimum distance between portable and mobile RF communications equipment (transmitters) and the Model PG-IRT1603 Infrared Thermometer as recommended below, according to the maximum output power of the communications equipment. | |||
Rated maximum output of transmitter W | Separation distance according to frequency of transmitter m | ||
| 150 kHz to 80 MHz | 80 MHz to 800 MHz | 800 MHz to 2.7 GHz | |
| 0.01 | 0.12 | 0.12 | 1.23 |
| 0.1 | 0.38 | 0.38 | 0.73 |
| 1 | 1.2 | 1.2 | 2.3 |
| 10 | 3.8 | 3.8 | 7.3 |
| 100 | 12 | 12 | 23 |
| For transmitters rated at a maximum output power not listed above the recommended separation distance d in metres (m) can be estimated using the equation applicable to the frequency of the transmitter, where P is the maximum output power rating of the transmitter in watts (W) according to the transmitter manufacturer. NOTE 1 At 80 MHz and 800 MHz, the separation distance for the higher frequency range applies. NOTE 2 These guidelines may not apply in all situations. Electromagnetic propagation is affected by absorption and reflection from structures, objects and people. | |||
Date: 2020-05-15 Rev : A/0


1.1 After removing head cover, please press”
2.1 After installing head cover of forehead thermometer, press”
When LCD is flashing, we are waiting for starting measurement. Measurement result
When LCD is flashing, we are waiting for starting measurement. Measurement result
Warm prompt: Why do you need to do a cleaning job after each measurement? Because infrared temperature adopts highly sensitive technique to detect the temperature of the target object, not only will any earwax and dust paste affect the measurement accuracy, more likely to cause bacteria infection. So we suggest that you should do cleaning job well as the picture shows after you use every time.


















