
User manual
PG-IRT1603
Infrared Ear/Forehead Thermometer
Thanks for buying and using this product, please read this manual carefully before use.

Safety caution items
- The warning signs and illustrations indicated in the manual are intended to enable you to use the product safely and correctly and to prevent any harm to you and others.
- Warning signs, illustrations, and their meanings are as follows.
Caution: Please refer to the attached file.
Legends |
This mark means prohibited disassembly. |
It means that you need to read the manual carefully before use. |
It means the package of this unit can comply with the requirements of green environmental protection. |
It means that the material the product or product itself is made of renewable material so that we can cycle this product, which benefits the environment and our earth. |
| IP Classification: IP22 |
Warning

- Please ask professional doctors to explain the measured value of body temperature.
- The product is only used for human body temperature measurement.
- Please do not use this product for purposes other than body temperature measurement.
- No mobile phones are allowed to use around this product.
- Please do not use equipment that generates electromagnetic fields near the product.

- Please do not disassemble or repair this device by yourself including changing the device.
- Please do not bend or stretch the device hard.
- Please do not impact or drop this product.

- This unit is only used for human body temperature measurement without the use of disease diagnosis; it cannot be used for emergency and continuous measurement in surgery.
- The kids should get away from this product. If the kids are in this range from zero to twelve years old, they need to use this unit to measure under their parent’s help.
The patients cannot diagnose the disease and get treatment by themselves on the basis of the measurement results, they must follow the instruction of doctors. - Children under 12 years of age and those who cannot express their thoughts are prohibited from using them.
- Please do not use this product for these people who suffer from otitis external, tympanitis, and other ear diseases.
If you use or store this product beyond the range of specified temperature and humidity, maybe it can not reach the original performance specification.
Use environment: temperature: from +10°C~+40 °C, humidity: from 15%RH~93%RH
Storage environment: temperature: from -25°C ~+55°C , humidity: from 0%RH~93%RH
Product introduction
Intended use: Infrared Forehead Thermometer intended to measure human body temperature by measuring ear canal or forehead.
Scope of application: It is suitable for displaying the body the temperature of the measured object by measuring the heat radiation in the ear canal or forehead.
Features:
- Non-touching type infrared measurement of ear/ forehead temperature.
- Multiple colors and backlight display: White, Green, Orange, and Red.
- 9 sets of memory values.
- The switch of a degree Fahrenheit ℉and degree Celsius °C.(original setting is degree Celsius°C )
- Instant measurement within 1 second.
- The design is convenient and economical without earmuff, which can save subsequent use costs.
- It has the function of sound on/off.
- The machine’s idle time of 30 seconds, turn off the power automatically.
- Warm tip:
The measurement results of this unit at any time only can be a reference, it can not replace the medical diagnosis of a professional doctor. If you have any questions about the personal temperature measurement result, please use and diagnose under the right instructions of the doctor.
Use caution items
Warning
- It is very dangerous for patients to judge and treat on their only by measurement results, so please be sure to own follow the doctor’s instructions.
◆Self-judgment may lead to a worsening condition of the patient. - Please do not touch your hands or blow the infrared sensor with your mouth.
◆When the infrared sensor is damaged or dirty, it may cause abnormal measurement results. - If there is a temperature difference between the storage site and the measurement site, please place it at room temperature (measurement site )for about 30 minutes
before the next measurement.
◆May result in incorrect measurement results. - Please keep this product out of the reach of children.
◆When the child sticks to measure by himself, his ears may get hurt. If he swallows the battery or the transparent cover accidentally, please contact your doctor immediately. - When measuring body temperature, please do not get close to air conditioning.
◆Avoid affecting the measurement accuracy. - Before and after use every time, use a cotton swab dipped 75% alcohol to wipe the probe surface. (If you see stains, fog, or water on the infrared sensor glass, please use a
cotton swab dipped in 75% alcohol for wiping the infrared sensor glass gently.)
◆If you wipe it with toilet paper or facial tissue, it will scratch the infrared sensor resulting in incorrect measurement results.
◆ Avoid cross-infection of ear disease and affect the accuracy of the measurement. - The product suffers mechanical damage.
◆There is a possibility that the measurement is not right. - The product touches water or immerses water accidentally, please fully dry before use, especially the water on the surface of the sensor should be clean by using a cotton swab.
◆Our aim is to avoid causing safety accidents and affecting measurement accuracy.
Caution:
- Please do not use this product for these people who suffer from otitis external, tympanitis, and other ear diseases.
◆It is possible to worsen the affected area. - Please do not use this product after swimming or bath or wet ears.
◆ It is possible to have a low measured temperature value. - Do not place waste batteries in the danger zone.
◆The battery may break. - When measuring the ear temperature of the human body, the product must be operated in the ear temperature mode.
◆Result in inaccurate measurement results.
Suggestions
- When you tell the doctor to measure body temperature value, please tell the doctor that you measured it with an ear thermometer.
- Please don’t force to impact, fall, trample and shake this product.
- Please do not disassemble, repair, and modify this product.
- Please do not allow the liquid(such as alcohol, water- drop, hot water, and so on) to enter the product body because this product is without water resistance.
- The product must be kept clean in a dry place.
- If you find any problems, please contact the sales, you can not repair the product by yourself.
- Please do not use it in the environment of electromagnetic interference.
- Please deal with the waste and residue of this product at the end of the service life according to local laws and regulations.
Common sense about body temperature
The comparison of different measurement methods.
The measured values are different if we use different measurement methods. The WHO provides normal human
body temperature reference values, please see the below table about the specific temperature difference.
| Measurement | Normal body temperature |
| methods Anal temperature | 36.6℃ 38 ~ ℃ |
| Oral temperature | 35.5 37.5 ℃~ ℃ |
| Axillary temperature | 34.7 ℃~ 37℃ |
| Cochlear temperature | 35.8 38 ℃~ ℃ |
| Oral temperature | 35.5 ℃~ ℃ 37.5 (PG-IRT1603 measured value) |
The changes in human body temperature
Human belongs to constant temperature animals, the body temperature is basically constant, but it is not totally changeless, the human body temperature is constantly
changing in a day, the details are as follows:
At night
Lowest Body temperature is lowest because of sleep and decreasing activity.(below 37℃ )
In the morning
Higher From warm bed to the lower temperature room in the morning, the whole body’s muscles get contractions and produce heat.
At noon
Highest After lunch, the human body reaches the highest temperature and the body will adjust naturally.
Three or four o’clock in the afternoon
Lower Due to physical exertion, blood sugar decreased.
In the evening
Lowest Due to the sundown, room temperature goes down.
Product layout

The screen display marks description

Battery installation explanation
Battery installation flow:
- The press battery cover, battery cover will bounce automatically.
- Prepare two pieces of battery with the module of 1.5V AAA ( number seven battery) batteries (It is recommended to use alkaline batteries), please install it into the base of the battery according to correct positive and negative poles.

Insufficient power caution:
when battery voltage is lack, LCD shows the “ LO ” sign and the battery mark is always on, which means you should replace the battery.

Warm prompts

- If you do not use this product for a long time, please take out the battery to assure its longevity. The liquid leakage of the battery will harm the product; as well as pollute our environment.
- It is recommended to use alkaline batteries.
- The way to handle scrapped batteries should match the requirements of local country government and environmental protection organ.
Basic parameter instructions
1.Sound function: turn on/off
- In the power-on state, press the “ mem ” key to set the sound on or off.
- Press the “mem” button, the LCD screen will show“
” it means the sound works, meanwhile we will hear a short beep sound. - Press the “mem” button again, ”
” will disappear, which means the sound is off.
2.The switch of or °C °F
In off status, long press “mem” button for six seconds, it can switch between Fahrenheit degree ( °F )and Celsius degree (°C ). Wait for 8 seconds to turn on the product
automatically or press “
” to turn off the product directly.
3.Memory storage function
In off status, press the “mem” button, the product can read and save 9 sets of measurement values in order (as the below picture shows). It will turn off automatically without operating for 30 seconds or press“
”button to turn off this product with your hands.

4.Backlight status instructions
When the measured temperature is <34 °C, it shows LO with a red backlight.
When the measured temperature value is 34°C~ 37.1, it °C shows a green backlight.
When the measured temperature value is 37.2 ~ 38.1, it °C °C shows an orange backlight.
When the measured temperature value is 38.2 ~43.0, it red backlight. °C °C shows
When the measured temperature value is >43.0, it shows a red backlight and shows HI. °C
Warm prompts: This function is for reference only.
Introduction of Measurement methods

1.Ear temperature measurement
Warm prompts:
Remove the head cover of the forehead thermometer which can measure ear temperature.

1.1 After removing the headcover, please press“
”button on this product to enter the ear temperature to turn measurement mode, LCD will display the measurement value last time. Then put the thermometer in your ear, the ear temperature can be measured directly by pressing“
”button.
1.2 After 1 second, you can see the measurement result.

Note: If you did not hear the beep sound, which represents the temperature measurement has not yet been completed. Please do not remove the thermometer probe from the ear canal at this time. (If you have closed the sound indication, it will have no sound indication.)
2.Forehead temperature measurement
Warm prompts:
Install headcover of forehead thermometer which can measure forehead temperature.

2.1 After installing the headcover of the forehead thermometer, press“
”button to turn on this product to enter the forehead temperature measurement mode, LCD will display the measurement value last time. Then the forehead thermometer is aimed at the forehead and the measurement distance should be 0~5mm, the forehead temperature can be measured directly by pressing “
” button.
2.2 After 1 second, you can see the measurement result.

Note: If you did not hear the beep sound, which represents the temperature measurement has not yet been completed. Please do not remove the thermometer probe from the forehead at this time. (If you have closed the sound indication, it will have no sound indication.)
3. Object pattern measurement
Warm prompt:
The installation of the head cover of forehead temperature has no influence to object pattern measurement.
3.1 Long press“
”button to enter the object measurement mode for 6 seconds, and then aim the thermometer at object, the temperature of the target object can be measured directly by pressing
button.
3.2 After 1 second, you can see the result of the measurement.

Note: If you did not hear the beep sound, which represents the temperature measurement has not yet been completed. Please do not remove the thermometer probe from the target object at this time.(If you have closed the sound indication, it will not have a sound indication.)
Product cleaning methods instructions
In order to ensure precise measurements, it is recommended to clean the device after each use.
Please use a cotton swab to dip 75% alcohol to wipe the thermometer probe and remove the residue and dirt. We recommend you clean the probe at least for 5 seconds. Then wipe the other components with a soft and dry cloth for 10 seconds at least. After cleaning, please ensure that there is no visible dirt or residue on your thermometer, Wait 10 minutes before measuring The device can be cleaned for a maximum of 40000 times.

Warm prompt:
Why do you need to do a cleaning job after each measurement?
Because infrared temperature adopts a highly sensitive technique to detect the temperature of the target object, not only will any earwax and dust paste affect the measurement accuracy, more likely to cause bacterial infection. So we suggest that you should do the cleaning job well as the picture shows after you use it every time.
Frequently Asked Questions and Solutions
| Screen display | Reasons | Solutions |
| HI | When the target object temperature is higher than measurement range which the ear temperature is more than 43.0℃, the LCD screen will show an “HI” indication. | 1. (When the measurement probe is not properly placed in the ear canal or if the measurement distance is too far during the measurement process, the measurement result may be below.) 2. When the measurement probe is dirty, the measurement value may be low; we should use a cotton swab to dip alcohol to wash the measurement probe properly. |
| Lo | When the target object temperature is lower than the measurement range which the ear temperature is less than 34℃, the LCD screen will show a “Lo” indication. | |
| Er.H | This product has an upper limit of the operating temperature of 40°C. When the ambient temperature exceeds this temperature point, the LCD screen will display an error message “Er. H”. | When you operate this product, the environment temperature cannot be greater than 40℃. |
| Er. L | This product has a lower limit of the operating temperature of 10°C. When the ambient temperature exceeds this temperature point, the LCD screen will display an error message “Er. L”. | When you operate this product, the environment temperature can’t be lower than 10℃. |
| Err | When the environment temperature changes rapidly about 5 degrees, it will show “ Err ” during measurement in object temperature mode, then shut down automatically. | When it shows “Err”, please place this product and keep steady in the current environment for 30 minutes before the next measurement. |
Troubleshooting
| Phenomenons | Reasons | Solutions |
| When the power is turned on, the screen can not be displayed. | The battery is exhausted. | Replace the new battery. |
| The battery polarity is wrong. | The battery polarity is the same as the battery case. | |
| The measurement temperature is low.
| The measurement position is not correct. | Measure the temperature correctly according to the instructions. |
| There is dirt stuff in the sensor or ear canal. | Please clear the dirt before the measurement. | |
| Big temperature fluctuations with continuous measurement. | The measurement interval is too small. | The interval for each measurement should be above 10 seconds. |
Specifications of the product
Product name: Infrared Ear/Forehead Thermometer
Model number: PG-IRT1603
Product appearance dimensions: 31×175×72mm
Product weight: about 77g (except battery)
Measuring range: 34.0°C-43.0°C.(93.2°F-109.4°F)
Object temperature: 0°C- 93.2°C (32°F-199.7°F)
Resolution ratio: 0.1°C/°F
Measurement Location: laboratory Accuracy: (35.0°C~42.0°C)±0.2°C,(95.0°F~107.9°F)
±0.4°F,other temperature±0.3°C.
Operation temperature: 10.0°C~40.0°C(50.0°F~104.0°F),
relative maximum humidity 15%RH~93%RH
Atmospheric pressure:70kPa~106kPa
Transportation/storage temperature: –25℃~55°C (-13°F~131°F), relative maximum humidity 0%RH~93%RH
Atmospheric pressure: 50kPa~106kPa
Display screen: an LCD display screen, 4-bit numbers, and special icons.
Sound: when you turn on the product and are ready to measure, a short beep will be heard. Infrared Ear/Forehead Thermometer
The measurement is finished with a long beep.
System error or fault: short beeps three times.
Fever alert: short beeps for ten times come with urgency.
Memory: in-memory mode, it can record nine temperature numbers.
Automatically shut down: if no operation for 30 seconds, it will shut down automatically.
Battery: two pieces of 1.5V AAA batteries (alkaline batteries are recommended to use).
Period of use: five years
1603 Forehead mode:
Clinical bias, Dcb: 0.078
Limits of Agreement, LA:0.243
Clinical Repeatability, σr:0.069
The reference body site: forehead
Measuring site: forehead
Packing parts list
- Main body
- Product manual
Appendix 1 Guidance and Manufacturer Declaration Tables
| Guidance and manufacturer’s declaration–electromagnetic emissions | ||
| The Model PG-IRT1603 is intended for use in the Infrared Thermometer of the electromagnetic environment specified below. The customer or the user of the Model PG-IRT1603 Infrared Thermometer should assure that it is used in such an environment | ||
| missions | Compliance | Electromagnetic environment-guidance |
| RF emissions CISPR 11 | Group 1 | The Thermometer uses RF energy only for its internal function. Therefore, its RF emissions are very low and are not likely to cause any interference in nearby electronic equipment. Model PG-IRT1603 Infrared |
| RF emissions CISPR 11 | class B | The Model PG-IRT1603 Infrared The thermometer is used in home and |
| Harmonic emissions IEC 61000-3-2 | N.A. | |
| Voltage fluctuations/ flicker emissions IEC 61000-3-3 | N.A. | |
Guidance and manufacturer’s declaration – electromagnetic immunity
The Model PG-IRT1603 Infrared Thermometer is intended for use in the electromagnetic environment specified below. The customer or the user of the Model PG-IRT1603 Infrared Thermometer should assure that it is used in such an environment.
| Immunity test | IEC 60601 test level | Compliance level | Electromagnetic environment-guidance |
| Electrostatic discharge (ESD)IEC 61000-4-2 | ±8 kV contact ±2 kV, ±4 kV, ±8 kV, ±15KV air | ±8 kV contact ±2 kV, ±4 kV, ±8 kV, ±15 VK air | Floors should be wood, concrete or ceramic tile. If floors are covered with synthetic material, the relative humidity should be at least 30 %. |
| Power frequency (50/60 Hz) magnetic field IEC 61000-4-8 | 30 A/m, 50/60Hz | 30 A/m, 50/60Hz | Power frequency magnetic fields should be at levels characteristic of a typical location in a typical commercial or hospital environment. |
Guidance and manufacturer’s declaration – electromagnetic immunity
The is intended for use Model PG-IRT1603 Infrared Thermometer in the electromagnetic environment specified below. The customer or the user of the Model PG-IRT1603 Infrared Thermometer should assure that it is used in such an environment.
| Immunity test | IEC 60601 test level | Compliance level | Electromagnetic environment – guidance |
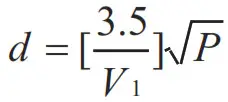
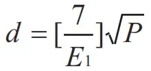
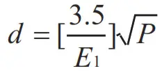
| Electromagnetic environment – guidance Radiated RF IEC 61000-4-3 | 3 Vrms150 kHz to 80 MHz 6 Vrms 150 kHz to 80 MHz outside ISM bandsa 10 V/m 80 MHZ to 2.7 GHz | Portable and mobile RF communications equipment should be used no closer to any part of the Model PG-IRT1603 Infrared Thermometer, including cables, then the recommended separation distance is calculated from the equation applicable to the frequency of the transmitter. Recommended separation Distance
where P is the maximum output power rating of the transmitter in watts (W) according to the transmitter manufacturer and d is the recommended separation distance in meters (m). Field strengths from fixed RF transmitters, as determined by an electromagnetic site survey, should be less than |
NOTE 1: At 80 MHz and 800 MHz, the higher frequency range applies.
NOTE 2: These guidelines may not apply in all situations. Electromagnetic propagation is affected by absorption and reflection from structures, objects, and people.
| a The ISM (industrial, scientific and medical) bands between 0,15 MHz and 80 MHz are 6,765 MHz to 6,795 MHz; 13,553 MHz to 13,567 MHz; 26,957 MHz to 27,283 MHz; and 40,66 MHz to 40,70 MHz. The amateur radio bands between 0,15 MHz and 80 MHz are 1,8 MHz to 2,0 MHz, 3,5 MHz to 4,0 MHz, 5,3 MHz to 5,4 MHz, 7 MHz to 7,3 MHz, 10,1 MHz to 10,15 MHz, 14 MHz to 14,2 MHz, 18,07 MHz to 18,17 MHZ, 21,0 MHz to 21,4 MHz, 24,89 MHz to 24,99 MHz, 28,0 MHz to 29,7 MHz and 50,0 MHz to 54,0 MHz. |
| b The compliance levels in the ISM frequency bands between 150 kHz and 80 MHz and in the frequency range 80 MHz to 2,7 GHz are intended to decrease the likelihood that mobile/portable communications equipment could cause interference if it is inadvertently brought into patient areas. For this reason, an additional factor of 10/3 has been incorporated into the formulae used in calculating the recommended separation distance for transmitters in these frequency ranges. |
| c Field strengths from fixed transmitters, such as base stations for radio (cellular/cordless) telephones and land mobile radios, amateur radio, AM, and FM radio broadcast, and TV broadcast cannot be predicted theoretically with accuracy. To assess the electromagnetic environment due to fixed RF transmitters, an electromagnetic site survey should be considered. If the measured field strength in the location in which the Model PG-IRT1603 Infrared Thermometer is used exceeds the applicable RF compliance level above, the Model PG-IRT1603 Infrared Thermometer should be observed to verify normal operation. If abnormal performance is observed, additional measures may be necessary, such as re-orienting or relocating the Model PG-IRT1603 Infrared Thermometer. |
| d Over the frequency range 150 kHz to 80 MHz, field strengths should be less than 3 V/m. |
Recommended separation distances between portable and mobile RF communications equipment and the Model PG-IRT1603 Infrared Thermometer
The Model PG-IRT1603 Infrared Thermometer is intended for use in an electromagnetic environment in which radiated RF disturbances are controlled. The customer or the user of the Model PG-IRT1603 Infrared Thermometer can help prevent electromagnetic interference by maintaining a minimum distance between portable and mobile RF communications equipment (transmitters) and the Model PG-IRT1603 Infrared Thermometer as recommended below, according to the maximum output power of the communications equipment.
| Rated maximum output of transmitter W | Separation distance according to the frequency of transmitter m | ||
50 kHz to 80 MHz ![]() | 80 MHz to 800 MHz ![]() | 800 MHz to 2.7 GHz ![]() | |
| 0.01 | 0.12 | 0.12 | 0.23 |
| 0.1 | 0.38 | 0.38 | 0.73 |
| 1 | 1.2 | 1.2 | 2.3 |
| 10 | 3.8 | 3.8 | 7.3 |
| 100 | 12 | 12 | 23 |
For transmitters rated at a maximum output power not listed above the recommended separation distance d in meters (m) can be estimated using the equation applicable to the frequency of the transmitter, what is the maximum output power rating of the transmitter in watts (W) according to the transmitter manufacturer.
NOTE 1 At 80 MHz and 800 MHz, the separation distance for the higher frequency range applies.
NOTE 2 These guidelines may not apply in all situations. Electromagnetic propagation is affected by absorption and reflection from structures, objects, and people.
It means that you need to read the manual carefully before use.
It means the package of this unit can comply with the requirements of green environmental protection.
It means that the material the product or product itself is made of renewable material so that we can cycle this product, which benefits the environment and our earth.























