
Owner’s Manual
Infrared Forehead Thermometer
Model DET-3010b
Introduction
The DET-3010b infrared forehead thermometer is specifically designed for safe use on the forehead. The Infrared Forehead Thermometer is a device capable of measuring people’s body temperature by detecting the intensity of infrared light emitted from the forehead. It converts the measured heat into a temperature reading displayed on the LCD. The infrared forehead thermometer is intended for the intermittent measurement of human body temperature from the skin surface of the forehead by people of all ages. When properly used, it will quickly assess your temperature in an accurate manner.
Please read all instructions carefully and thoroughly before using this product.
Warning:
- There is no gender or age limitation for using an infrared forehead thermometer.
- Do not touch the temperature probe with your hands.
- The use of this Forehead thermometer is not intended as a substitute for consultation with your physician.
- Do not allow children to take their temperatures unsupervised, some parts are small enough to be swallowed.
- Never immerse this device in water or other liquids(not waterproof).
- Do not modify this equipment without the authorization of the manufacturer.
- Do not expose the thermometer to temperature extremes (below -25℃/-13℉ or over 55℃/131℉) nor excessive humidity (>95%RH).
- Keep the battery away from children.
- Remove the battery from the device when not in operation for a long time.
Product Description
- Probe
- START Button
Button
Button- Battery Cover

LCD Display Introduction

Basic Functions
| Real-Time Clock | The real-time clock will be recorded with the memory function and help you to recognize each measurement result. → Please see the first use. |
| Forehead Mode | The thermometer has been designed for practical use It s not meant to replace a visit to the doctor Please also remember to compare the measurement result to your regular body temperature → Please see the how-to measure the body temperature |
| Object Mode | The object model shows the actual. unadjusted surface temperatures which is different from the body temperature It can help you to monitor if the object’s temperature is suitable for the baby or patient for example the baby s milk → Please see the to measure the object temperature |
| Beep Hint | When the testing is done, it will sound like one short beep. |
| Memory Mode | The machine can store up to 30 sets of measurements. Each memory also records the measurement results in date/time/mode. When the data exceeds 30 sets, the coverage starts from the earliest date. |
| ° C/°F Switch | Please see the ion to learn how to change between Celcius and Fahrenheit |
Forehead Thermometer Advantages
Infrared Forehead Thermometer measures core body temperature, which is the temperature of a body’s vital organs. (See Figure 1) This thermometer is designed to measure the temperature of the skin surface over the temporal artery, a major artery of the head. The temporal artery is connected to the heart via the carotid artery, directly leading from the aorta, the main trunk of the arterial system. It offers constant blood flow. Therefore, body temperature changes are reflected sooner in the forehead than they are in other parts of the body such as the oral, rectal, and underarm.
Real-Time Clock Setting
When using a thermometer for the first time, please set the parameters of the thermometer. With the thermometer off, press and hold the
BUTTON to enter into a setting mode for 3 seconds.
- Set the time format The device can display the time in either an AM/PM (12-hour) or a 24:00(24-hour) format. Press and release the START BUTTON to select the format. With the preferred time format on the display, press
BUTTON, and the Hour figure is flash automatically.
- Set the hour Press and release the START BUTTON to advance one hour until the correct hour appears. After the hour is set, press
BUTTON and the Minute figure is flashing automatically.
- Set the minute Press and release the START BUTTON to advance one minute until the correct minute appears. After the minute is set, press
BUTTON and the Year figure is flash automatically.
- Set the year Press and release the START BUTTON to advance one year until the correct year appears. After the year is set, press
BUTTON and the Month figure will appear.
- Set the month. Press and release the START BUTTON to advance one month until the correct month appears. After the month is set, press
BUTTON, the Date figure is flashed automatically.
- Set the date Press and release the START BUTTON to advance one day until the correct month appears. After the day is set, press
BUTTON to exit the setting mode.
Temperature Taking Hints
To ensure that the reading always reflects the body temperature accurately, you need to take account of the following factors which may affect an accurate reading.
- It is important to know each individual’s normal temperature when they are well. This is the only way to accurately diagnose a fever. To determine normal temperature, take multiple readings when healthy. Re-measure with a standard digital thermometer for confirmation.
- Users must be inside for 30 minutes before taking a measurement.
Note: Users and the thermometer should be in the same ambient temperature for at least 10 minutes before taking a reading. - Users should not drink, eat, or be physically active such as bathing, showering, shampooing, and hair drying before/while taking the measurement. Remove hat and hair and wait 10 minutes before taking a reading.
- Oils or cosmetics on the forehead may give a lower temperature reading than the actual one. Remove dirt from the forehead before taking a measurement. Wait at least 10 minutes after washing the forehead area before taking a reading.
- Holding a hand on the forehead for any length of time will affect the temperature reading.
- Do not take temperature over scar tissue, open sores or abrasions.
- Do not use the thermometer on a perspiring or sweating forehead, as this may affect the reading.
- Don’t take a measurement while or immediately after nursing a baby.
- Do not take temperatures with this thermometer near places that are very hot, such as fireplaces and stoves.
- The probe window of the thermometer is the most delicate part of the device. Do not touch the probe window. The accuracy of the reading may be affected if the probe window is damaged or dirty.
- If the thermometer is stored in a significantly different environment than the testing location, place it in the testing location for approximately 30 minutes prior to use.
- It is not intended for use in an oxygen-rich environment and presence of a flammable anesthetic mixture with air, oxygen or nitrous oxide.
Illustration For Use
To measure forehead temperature:
- Press the
BUTTON, The display is activated to show all segments. After self-checking Figure 2 appears on the display screen with voice, so you can start a new measurement. - Aim the thermometer at the center of the forehead at a distance of less than 5cm(See figure 3) and then press the START BUTTON.
Note: Do not remove the thermometer from the forehead before hearing the voice - Read the temperature on the display.
- Press the
BUTTON to turn off.

How to change the forehead mode and object mode:
You can press
BUTTON to switch the mode between Forehead mode and Object mode.
To measure object temperature:
- Press the
BUTTON to turn on the thermometer, you can take the object’s temperature after hearing voice .(see figure 4) - Aim the thermometer at the center of the object you want to measure with A distance of less than 5cm.
- Press the START BUTTON and then read the temperature on the display.
- Press the
BUTTON to turn off.

After measurement:
- Power off: The device will automatically shut off if left idle for more than 1 minute to extend battery life.
- Clean the probe after each use to ensure an accurate reading and avoid cross-contamination. (See the section on Care and Cleaning for details.)
BackLight:
In Forehead mode:
- The display will be lighted GREEN for 3 seconds with a happy face
when the unit is ready for measurement and measurement is completed with a reading of less than 37.3°C(99.17′). - The display will be lighted YELLOW for 3 seconds with a happy face
when a measurement is completed with a reading less than 37.8t(100.07). - The display will be lighted RED for 3 seconds with a bad face
when a measurement is completed with a reading equal to or higher than 37.8t(100.07).
In Object mode: - The display will only be lighted GREEN for 3 seconds when the unit is ready for measurement and measurement is completed.
Bluetooth requirements
The thermometer requires a Bluetooth device with:
- Bluetooth 4.0 or later.
- Android 6.0 or later
- IOS 8.0 or later And works with:
- iPhone, iPod, iPad.
- Android Phones and Tablets
Using for the first time
- Download the “JoyHeath” App from the Website or APP Store (Such as Apple Store).
- Open the App on your phone or tablet. If requested, you should enable Bluetooth on your device. You can enable Bluetooth under the Settings menu on your smartphone or tablet.
- Create a new user login or login with your existing user name and password.
- Selection device “Thermometer”.
Match your thermometer with a Smart Device
- If this is your first time using it, bind first. Open the “SETTING” menu, choose “Bind and unbind device” and select the appropriate model. The date and time on your thermometer will automatically be updated when it’s connected to your phone.
- Confirm that your thermometer is connected successfully. When your thermometer is connected successfully to your smartphone, the “
symbol stops flashing and keeps showing.
Transfer your readings
- As soon as your measurement is finished, open the app on your smartphone to transfer the readings.
Note: On the matched smartphone, Bluetooth must be enabled. - You can view your temperature readings in the app.
Memory Mode
- The Memory Mode can be accessed either in forehead mode or object mode: When the thermometer has been turned on and followed by Figure 2/4 or finished testing, press and hold the
BUTTON for three seconds. The letter M will appear in the center-right corner of the display. (See Figure 5) - The thermometer will automatically memorize the last 30 temperature readings. Each memory also records the measurement date/time/mode icon. Each time the
BUTTON is pressed, the screen displays past readings that correspond with a number 1-30. The number 1 reflects the most recent reading, while the number 30 reveals the oldest reading stored in memory.(See Figure 6) - In the memory mode,
the mark or
AI mark will not change. The user can press the START BUTTON to take new measurements.

Selecting A Temperature Scale
- Temperature readings are available on the Celsius (℃) or Fahrenheit (℉) scale.
- With the thermometer off, press and hold the START BUTTON for 3 seconds to enter into unit-changing mode.
- Press and release the START BUTTON to select the unit.
- When the preferred unit is on the display, press
BUTTON to exit the unit changing mode.

Care And Cleaning
- The probe window must be kept clean, dry, and undamaged at all times to ensure accurate readings. The accuracy of temperature readings can be affected by damage to the probe window, or the presence of dirt, fingerprints, earwax, dust, and other soiling compounds on the probe window. Degraded sensors can degrade performance or cause other problems.
- The probe window is the most delicate part of the thermometer. Use a soft cloth slightly moistened with a 75% isopropyl alcohol solution to disinfect the probe window and the thermometer. Do not use abrasive cleaners. After cleaning, allow at least 10 minutes of drying time before taking temperatures. Note: Do not use any chemical other than isopropyl alcohol to clean the probe window.
- Use a soft, dry cloth to clean the thermometer display and exterior.
- The thermometer is not waterproof. Do not submerge the unit in water when cleaning.
- Store the thermometer in a dry location, free from dust and contamination and away from direct sunlight.
- Strong electromagnetic fields may interfere with the proper operation of the thermometer. The device needs special precautions regarding EMC according to the EMC information.
- Put the thermometer back to the original packaging after use.
Battery Replacement
- Replace the battery when it ”
appears in the upper right corner ” of the LCD display. (See Figure 8) - Slide the battery cover down as shown in Figure 9.
- Remove the battery and install 2 new AAA alkaline batteries as shown in Figure 10.
- Slide the battery cover back on.

Specifications
| Measuring range | Forehead mode: 34.0r-43.0r (93.27-109.47) Object mode: O0-100r(327-2127) |
| Measuring site | Forehead(Forehead Mode) |
| Reference body site | Oral (This thermometer converts the forehead temperature to display its “oral equivalent.”) |
| Operation mode | Forehead mode(Adjust mode) |
| Laboratory accuracy | Forehead mode: -±0.2r (0.47) during 35.5r-42.0r (95.97-107.67) at 1st-35r (59.07-95.07) operating temperature range ±0.3r (0.57) for other measuring and operating temperature range Object mode: ±4% or ±2r(47) whichever is greater |
| Display resolution | 0.1r or 0.17 |
| Measure time | 1 second |
| Operating temperature range: | 10r-40r(50T-1047), 15%-85%RH, non-condensing Atmospheric Pressure : 700hPa – 1060hPa |
| Storage and transport temperature range | -25r… 55r (-137-1317), 15%-95%RH, non-condensing Atmospheric Pressure : 700hPa – 1060hPa |
| Clinical accuracy | Clinical bias: -0.09r (-0.167) Clinical repeatability: 0.13r (0.237) Limits of agreement: 0.87r (1.577) |
| Shock | withstands drop of 3 feet |
| Dimension | 1684137.94’47.3mm |
| Weight | Approx.84grams(with batteries) |
| Battery | DC3V(2 X AAA battery) |
| Battery life | Approx. 1 year/6000 readings |
| Expected service life | Three years |
| Ingress protecting rating | IP22 |
Troubleshooting
| Error message | Problem | Solution |
| The thermometer is not functioning properly. | Unload the battery, wait for 1 minute and repower it. If the message reappears, contact the retailer for service. | |
| The ambient temperature is not within the range between 10℃ and 40℃ (50℉~104℉). | Place the in a room for at least 30 minutes at room temperature between 10℃ and 40℃ (50℉~104℉) thermometer | |
| In Forehead mode: The temperature taken is higher than 43.0 ℃ (109.4℉). In Object mode: The temperature taken is higher than 100 ℃ (212℉). | Read Temperature Taking Hints Thoroughly, then take a new temperature measurement. | |
| In Forehead mode: The temperature taken is lower than 34.0 ℃ (93.2℉). In Object mode: Temperature taken is lower than 0℃ (32℉). | Read Temperature Taking Hints thoroughly, then make sure the lens filter is clean, then take a new temperature measurement. | |
| The thermometer could not work due to the low battery. | Replace two new alkaline batteries size AAA. |
Calibration
The thermometer is initially calibrated at the time of manufacture. If the thermometer is used according to the user’s instruction, periodic readjustment is not required. However, We recommend checking calibration every two years or whenever the clinical accuracy of the thermometer is in question. Please send the complete device to the dealers or manufacturer.
The above recommendations do not supersede the user of the legal requirement must always comply with legal requirements for the control of the measurement, functionality, and accuracy of the device which are required by the scope of relevant laws, directives or ordinances where the device is used.
A clinical summary and procedures for checking calibration are available upon request.(Turn on the thermometer and press the power button a long time until entering into calibrate mode, the software version will be displayed.)
ASTM laboratory accuracy requirements in the display range of 36.0 to 39.0 °C (96.8 to 102.2 °F) for IR thermometers is ±0.2°C(±0.4 °F), whereas, for mercury-in-glass and electronic thermometers, the requirement per ASTM Standards E 667-86 and E 1112-86 is ±0.1°C(±0.2°F).”
Type BF applied part
Direct Current
Disposal of this product and used batteries should be carried out in accordance with the national regulations for the disposal of electronic products
Consult Accompanying Documents
Batch Code
Storage and Transportation Temperature Limit: -13℉~131℉(-25℃~55℃)
Service
The thermometer has a limited one-year warranty. Do not attempt to disassemble or repair the thermometer by yourself. Should service be required during or after the warranty period you must contact the manufacturer. Repackage the thermometer carefully in its original packaging or securely packed to avoid damage during shipping. Include the original sales slip indicating the date of purchase, a note describing the problem, and your return address. Send the thermometer prepaid and insured. The lay operator or lay responsible organization should contact the manufacturer or the manufacturer’s representative:
– for assistance, if needed, in setting up, using, or maintaining the thermometer; or
– to report unexpected operations or events.
Warranty
This appliance conforms to the following standards: ISO 80601-2-56 Medical electrical equipment —Part 2-56: Particular requirements for basic safety and essential performance of clinical thermometers for body temperature measurement, IEC 60601-1-11 Medical electrical equipment —Part 1-11: General requirements for basic safety and essential performance –Collateral Standard: Requirements for medical electrical equipment and medical electrical systems used in the home healthcare environment and complies with the requirements of IEC 60601-1-2(EMC), IEC 60601-1(Safety) standards. And the manufacturer is ISO 13485 certified.
The thermometer is warranted by the manufacturer to be free from defects in material and workmanship under normal use and service for a period of one year from the date of delivery to the first user who purchases the instrument. This warranty does not cover batteries, damage to the probe window, or damage to the instrument caused by misuse, negligence, or accident, and extends only to the first purchaser of the product.
FCC Information
Caution: Changes or modifications to this unit not expressly approved by the party responsible for compliance could void the user’s authority to operate the equipment.
*Note: This equipment has been tested and found to comply with the limits for a Class B digital device, pursuant to Part 15 of the FCC Rules. These limits are designed to provide reasonable protection against harmful interference in a residential installation. This equipment generates, uses, and can radiate radio frequency energy. If this equipment does cause harmful interference to radio or television reception, which can be determined by turning the equipment off and on, the user is encouraged to try and correct the interference by one or more of the following measures:
- Reorient or relocate the receiving antenna.
- Increase the distance between the equipment and the receiver.
- Connect the equipment to an outlet on a circuit different from that to which the receiver is connected.
- Consult the dealer or an experienced radio/TV technician for help.
This device complies with part 15 of the FCC Rules. Operation is subject to the following two conditions: (1) This device may not cause harmful interference, and (2) this device must accept any interference received, including interference that may cause undesired operation. The device has been evaluated to meet general RF exposure requirements. The device can be used in portable exposure conditions without restriction.
Electromagnetic Compatibility Information
The device satisfies the EMC requirements of the international standard IEC 60601-1-2. The requirements are satisfied under the conditions described in the table below. The device is an electrical medical product and is subject to special precautionary measures with regard to EMC which must be published in the instructions for use. Portable and mobile HF communications equipment can affect the device. Use of the unit in conjunction with non-approved accessories can affect the device negatively and alter the electromagnetic compatibility. The device should not be used directly adjacent to or between other electrical equipment.
Table 1
| Guidance and declaration of manufacturer-electromagnetic emissions | ||
| The device is intended for use in the electromagnetic environment specified below. The customer or the user of the device should assure that it is used in such an environment. | ||
| Emissions test | Compliance | Electromagnetic environment-guidance |
| RF emissions CISPR 11 | Group 1 | The device uses RF energy only for its internal function. Therefore, its emissions are very low and are not likely to cause any interference in nearby electronic equipment. |
| RF emissions CISPR 11 | Class B | The device is suitable for use in all establishments, including domestic establishments and those directly connected to the public low-voltage power supply network that supplies buildings used for domestic purposes. |
| Harmonic emissions IEC 61000-3-2 | N/A | |
| Voltage fluctuations/ flicker emissions IEC 61000-3-3 | N/A | |
Warning:
- The Use of this equipment adjacent to or stacked with other equipment should be avoided because it could result in improper operation. If such use is necessary, this equipment and the other equipment should be observed to verify that they are operating normally.)
- Portable RF communications equipment (including peripherals such as antenna cables and external antennas) should be used no closer than 30 cm (12 inches) to any part of the [ME EQUIPMENT or ME SYSTEM], including cables specified by the manufacturer. Otherwise, degradation of the performance of this equipment could result.
Table 2
| Guidance and declaration of manufacturer-electromagnetic immunity | |||
| The device is intended for use in the electromagnetic environment specified below. The customer or the user of the device should assure that it is used in such an environment. | |||
| IMMUNITY test | IEC 60601 test level | Compliance level | Electromagnetic env iron guidance |
| Electrostatic discharge (ESD) IEC 61000-4-2 | ± 8 kV contact ± 2 kV ,± 4 kV ± 8 kV, ± 15 kV air | ± 8kV contact ± 2 kV , ± 4 kV ± 8 kV, ± 15 kV air | Floors should be wood, concrete or ceramic tile. If floors are covered with synthetic material, the relative humidity should be at least 30 %. |
| Electrostatic transient/burst IEC 61000-4-4 | ± 2 kV for power supply lines ± 1 kV for input/output lines | N/A | |
| Surge IEC 61000-4-5 | ± 1 kV differential mode ± 2 kV common mode | N/A | |
| Voltage dips, short interrupt i- ons and voltage variations on power supply in- put lines IEC 61000-4-11 | < 5% UT (>95% dip in UT) for 0.5 cycle 40% UT (60% dip in UT) for 5 cycle 70% UT (30% dip in UT) for 25 cycle <5% UT (>95% dip in UT) for 5 sec | N/A | |
| Power frequency (50/60 Hz) magnetic field IEC 61000-4-8 | 30A/m;50Hzor 60Hz | 30A/m;5011/ or 60Hz | Power frequency magnetic fields should be at levels characteristic of a typical location in a typical commercial or hospital environment. |
Table 3
| Guidance and declaration of manufacturer-electromagnetic immunity | |||
| The device is intended for use in the electromagnetic environment specified below. | |||
| The customer or the user of the device should assure that it is used in such an environment. | |||
| IMMUNITY test | IEC 60601 test level | Compliance level | Electromagnetic environment guidance |
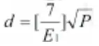
| Conducted RF IEC 61000-4-6 Radiated RF IEC 610004-3 RF Wireless CommunicatioEquipment IEC 610004-3 | 3 V 0.15MHz to 80 MHz 6V in ISM and amateur radio bands between 0.15MHz and 80 MHZ 80% AM at 1kHz 10 V/m 80 MHz to 2.7 GHz 380MHz, 27V /m 450MHz, 28V /m 710MHz,745 MHZ,780MHz 9V/m 810MHz,870 MHZ,930MHz 28V/m 1720MHz,1845 MHZ,1970MHz 28V/m 2450MHz, 28V/m 5240MHz,5500 MHZ,5785MHz 9V/m | N/A 10 V/m 380MHz, 27V /m 450MHz, 28V /m 710MHz,745 MHZ,780MHz 9V/m 810MHz,870 MHZ,930MHz 28V/m 1720MHz,1845 MHZ,I 970MHz 28V/m 2450MHz, 28V /m 5240MHz,5500 MHZ,5785MHz 9V/m | Portable and mobile RF communications equipment should be used no closer to any part of the device, including cables, than the recommended separation distance calculated from the equation applicable to the frequency of the transmitter. Recommended preparation distance where P is the maximum output power rating of the transmitter in watts (W) according to the transmitter manufacturer and d is the recommended separation distance in meters (m). Field strengths from fixed RF transmitters, as determined by an electromagnetic site survey, should be less than the compliance level in each frequency range. Interference may occur in the vicinity of equipment marked with the following symbol: |
Table 4
Recommended separation distances between portable and mobile RF communications equipment and the device
The device is intended for use in an electromagnetic environment in which radiated, therefore, disturbances are controlled. The customer or the user of the device can help prevent electromagnetic interference by maintaining a minimum distance between portable and mobile RF communications equipment (transmitters) and the device as recommended below, according to the maximum output power of the communications equipment.
| Rated maximum output power of transmitter W | Separation distance according to the frequency of the transmitter m | |||
| 80 MHz to 800MHz | 800 MHz to 2.7 GHz | |||
| 0.01 | 0.12 | 0.23 | ||
| 0.1 | 0.38 | 0.73 | ||
| 1 | 1. | 2. | ||
| 10 | 4. | 7. | ||
| 100 | 12 | 23 | ||
| For transmitters rated at a maximum output power not listed above, the recommended separation – – distance d in meters (m) can be estimated using the equation applicable to the frequency of the transmitter, where P is the maximum output power rating of the transmitter in watts (W) according to the transmitter manufacturer. NOTE1 At 80 MHz and 800 MHz, the separation distance for the higher frequency range applies. NOTE2 These guidelines may not apply in all situations. Electromagnetic propagation is affected by absorption and reflection from structures, objects, and people. | ||||
Manufacturer:
JOYTECH HEALTHCARE CO. LTD.
No.365,Wuzhou Road,Yuhang Economic Development Zone ,
Hangzhou city,311100 Zhejiang, China
Telephone: +86-571-81957767
Fax: +86-571-81957750
Made in China
























