Owner’s Manual
Infrared Forehead Thermometer
Model DET-30 b23

Introduction
Please read all instructions carefully and thoroughly before using this product.
The DET-3023b infrared forehead thermometer is specifically designed for safe use on the forehead. The Infrared Forehead Thermometer is a device capable of measuring people’s body temperature by detecting the intensity of infrared light emitted from the forehead. It converts the measured heat into a temperature reading displayed on the LED display. When properly used, it will quickly assess your temperature in an accurate manner. Indications for Use:The infrared forehead thermometer is intended for the intermittent measurement of human body temperature from the skin surface of forehead. The device can be reused by people of all ages for home use and clinical use. Intended use:The infrared forehead thermometer is used to measure body temperature by measuring forehead.
This appliance conforms to the following standards: ASTM E1965-98 Standard Specification for Infrared Thermometers for Intermittent Determination of Patient Temperature, ISO 80601-2-56 Medical electrical equipment —Part 2-56: Particular requirements for basic safety and essential performance of clinical thermometers for body temperature measurement, IEC 60601-1-11 Medical electrical equipment —Part 1-11: General requirements for basic safety and essential performance –Collateral Standard: Requirements for medical electrical equipment and medical electrical systems used in the home healthcare environment and complies with the requirements of IEC 60601-1-2(EMC) , AAMI ANSI ES60601-1(Safety) standards. And the manufacturer is ISO 13485 certified.
Warning
- There is no gender or age limitation for using infrared forehead thermometer.
- Do not touch the temperature probe with hands .
- Use of this Forehead thermometer is not intended as a substitute for consultation with your physician.
- Do not allow children to take their temperatures unsupervised, some parts are small enough to be swallowed.
- Never immerse this device in water or other liquids.
- Do not modify this equipment without authorization of manufacturer.
- Do not expose the thermometer to temperature extremes (below -25℃/-13℉ or over 55℃/131℉) nor excessive humidity (>95%RH).
- Keep the battery away from children.
- Remove battery from the device when not in operation for a long time.
- Do not put the thermometer in direct sunlight or with cotton wool, otherwise the accuracy will be affected.
- Portable and mobile RF communications can affect the devise.
The device needs special precaution regarding EMC according to the EMC information provided in the accompany documents - ME equipment should not be cleaned and wiped while in use.
- Any serious incident that has occurred in relation to the device should be reported to the manufacturer and the competent authority of the Member State in which the user and/or patient is established.
- The probe of the ME equipment shall not be serviced or maintained while in use with a patient.
- The Applied part is the shell.
Product Description
- Probe
- Test Button
- Memory Switch
- Setting Button
- Battery Cover
- Display

LED Display Introduction

Basic Functions
|
Forehead Mode | The thermometer has been designed for practical use. It’s not meant to replace a visit to the doctor. Please also remember to compare the measurement result to your regular body temperature. → Please see the Illustration For Use section to learn how to measure the body temperature. |
|
Object Mode | The object mode shows the actual, unadjusted surface temperatures, which is different from the body temperature. It can help you to monitor if the object temperature is suitable for the baby or patient, for example the baby’s milk. → Please see the Illustration For Use section to learn how to measure the object temperature. |
| Memory Mode | There are each 30 sets memories for forehead and object measurements. Each memory also records the measurement mode icon. |
| Bluetooth sign | If the APP is successfully connected to the machine,the Bluetooth sign will always be on, otherwise it will keep flashing. |
| ℃/ ℉ Switch | Please see the Setting to learn how to change between Celsius and Fahrenheit. |
| Language Switch | Please see the Setting to learn how to change between Chinese and English. |
| Voice | The thermometer will broadcast the result after finishing measurement. |
| Sound Switch | The thermometer can turn on or off sound. →Please see the Illustration For Use. |
Forehead Thermometer Advantages
Infrared Forehead Thermometer measures core body temperature, which is the temperature of a body’s vital organs. (See Figure 1) This thermometer is designed to measure the temperature of the skin surface over the temporal artery, a major artery of the head. The temporal artery is connected to the heart via the carotid artery, directly leading from the aorta, the main trunk of the arterial system. It offers constant blood flow. Therefore, body temperature changes are reflected sooner in the forehead than they are in other parts of the body such as oral, rectal and underarm.

Setting
When installing the battery, please set the parameters of the thermometer. With the thermometer off, press and hold Setting Button to enter into setting mode.
- Set the unit
Press Button to select the unit you want.
After the unit is set,press Setting Button , Test language will appear .
Set the language of voice
The device can set the language of voice in either Chinese or English. Press and release Button to select the language. With the preferred language on the display,press Test Button to exit Setting the setting mode.
Temperature Taking Hints
To ensure that the reading always reflects the body temperature accurately, you need to take account of the following factors which may affect an accurate reading.
- It is important to know each individual’s normal temperature when they are well. This is the only way to accurately diagnose a fever. To determine normal temperature, take multiple readings when healthy. Re-measure with a standard digital thermometer for confirmation.
- Users must be inside for 30 minutes before taking a measurement.
Note: Users and the thermometer should be in the same ambient temperature for at least 10 minutes before taking a reading. - Users should not drink, eat, or be physically active such as bathing, showering, shampooing and hair drying before/while taking the measurement. Remove hat and hair and wait 10 minutes before taking a reading.
- Oils or cosmetics on the forehead may give a lower temperature reading than the actual one. Remove dirt from the forehead before taking a measurement. Wait at least 10 minutes after washing the forehead area before taking a reading.
- Holding a hand on the forehead for any length of time will affect the temperature reading.
- Do not take temperature over scar tissue, open sores or abrasions.
- Do not use the thermometer on a perspiring or sweating forehead, as this may affect the reading.
- Don’t take a measurement while or immediately after nursing a baby.
- Do not take temperatures with this thermometer near places that are very hot, such as fireplaces and stoves.
- The probe window of the thermometer is the most delicate part of the device. Do not touch the probe window. The accuracy of the reading may be affected if the probe window is damaged or dirty.
- If the thermometer is stored in a significantly different environment than testing location, place it in the testing location for approximately 30 minutes prior to use.
- It is not intended for use in the oxygen rich environment and presence of flammable anesthetic mixture with air, oxygen or nitrous oxide.
Illustration For Use
▶ To measure forehead temperature:
- Press the Test Button, The display is activated to show all segments.
After self-checking Figure 2 appears on the display
Note: Do not remove the thermometer from the forehead before screen with voice, so you can start a new measurement. - Aim the thermometer at the center of the forehead with a distance less than cm (See figure 3) and then press the Test Button. voice 8 hearing .
- Read the temperature on the display.
- Device will automatically shut off if left idle for 30 seconds.

▶ How to turn on or off sound:
You can press the Setting Button to turn on or off sound.
▶ How to change the forehead mode and object mode:
You can press and hold Setting Button to switch the mode between Forehead mode and Object mode.
▶ To measure object temperature:
- Press the Test Button to turn on the thermometer, you can take the object temperature after going into object measurement mode. (see figure 4)
- Aim the thermometer at the center of the object you want to measure with a distance less than 8cm.
- Press the Test Button and then read the temperature on the display.
- Device will automatically shut off if left idle for 30 seconds.

▶ After measurement:
- Power off: Device will automatically shut off if left idle for more than to extend battery life. 30 seconds
- Clean the probe after each use to ensure an accurate reading. (See the section of Care and Cleaning for details.)
▶ Bluetooth requirements
The thermometer requires a bluetooth device with:
- Bluetooth 5.0 or later
- Android 6.0 or later
- IOS 10.0 or later
And works with: - iphone , iPod, iPad
- Android Phones and Tablets
▶ Using for the first time
- Download the “JoyHealth” App from Website or APP Store (Such as Apple Store).
- Open the App on your phone or tablet. If requested, you should enable Bluetooth on your device. You can enable Bluetooth under the Settings menu on your smart phone or tablet.
- Create a new user login, or login with your existing user name and password.
- Selection device “Thermometer”.
▶ Match your thermometer with a Smart Device
- If this is your first time using it, bind first.Open “SETTING” menu,choose“Bind and unbind device” and select the appropriate model. The date and time on your thermometer will automatically be updated when it’s connected with your phone.
- Confirm that your thermometer is connected successfully. When your thermometer is connected successfully to your smart phone, the “
” symbol stop flashing and keep showing.
▶ Transfer your readings
- As soon as your measurement is finished, open the app on your smart phone to transfer the readings.
Note: On the matched smart phone, Bluetooth must be enabled. - You can view your temperature readings in the app.
Memory Mode
- The Memory Mode can be accessed either in forehead mode or object mode: When the thermometer has been turned on and followed by Figure 2/4 or finished testing, press and hold the Memory Button The letter M will appear in the upper right corner of the display. (See Figure 5)
- The thermometer will automatically memorize the last 30 temperature readings. Each memory also records the measurement mode icon. Each time the Memory Button is pressed, the screen displays past readings that correspond with a number 1-30. The number 1 reflects the most recent reading, while the number 30 reveals the oldest reading stored in memory.(See Figure 6)
- In the memory mode,
mark or
mark will not change. The user can press the Test Button to take new measurements.

Care And Cleaning
- The probe window must be kept clean, dry, and undamaged at all times to ensure accurate readings. The accuracy of temperature readings can be affected by damage to the probe window, or the presence of dirt, fingerprints,dust and other soiling compounds on the probe window. Degraded sensors can degrade performance or cause other problems.
- For cleaning:
1) Soak a clean soft cloth in drinking water,wring it out,and then wipe the thermometer(including probe) no less than 3 times;
2) Visual or use magnifying glass to observe the thermometer have no visible dirt and stains ,then use another clean soft cloth to wipe the thermometer residue water;
3) Put the thermometer in the original packaging. - For disinfection:
1) Soak a clean soft cloth in drinking water,wring it out,and then wipe the thermometer(including probe) no less than 3 times;
2) Visual or use magnifying glass to observe the thermometer have no visible dirt and stains ,then use another clean soft cloth to wipe the thermometer residue water;
3) Using a clean soft cloth dipped in 70% medical alcohol,wipe the probe for 3 Times,each time 1 minute.
4) Using a clean cotton swab dipped in 70% medical alcohol,wipe the sensor window 3 times;
5) Wait at least 10 minutes to let the alcohol volatilization and put it in the original packaging. - Do not put the thermometer into water directly.
- Store the thermometer in a dry location, free from dust and contamination and away from direct sunlight.
- Put the thermometer back to the original packaging after using.
Battery Replacement
- When
flashes, it indicates that the power is low, but you can continue to measure; replace battery when “
” remains displayed in the upper right corner of LCD display as shown in Figure 7. - Turn battery cover clockwise as shown in Figure 8.
- Remove battery and install 2 new AAA alkaline batteries as shown in Figure 9.
- Turn battery cover on counterclockwise.

Specifications
| Measuring range | Forehead mode: 34.0t-43.0t(93.27-109.47) Object mode: Ot-100t(327-2127) |
| Measuring site | Forehead(Forehead Mode) |
| Reference body site | Oral (This thermometer converts the forehead temperature to display its “oral equivalent.”) |
| Operation mode | Forehead mode(Adjust mode) |
| Laboratory accuracy | Forehead mode: ±0.2t (0.47) during 35.5t-42.0t (95.97-107.6°F) at 15t-35r (59.07-95.07) operating temperature range -arc (0.5°F) for other measuring and operating temperature range Object mode: ±4% or ±2t(47) whichever is greater |
| Display resolution | 0.1t or 0.17 |
| Measure time | Approximately 1 second |
| Operating temperature range: | 5t-40t(417-1047), 15%-85%RH, non-condensing Atmospheric Pressure : 70kPa – 106kPa |
| Storage and transport temperature range | -25t- 55t (-137-1317), 15%-95%RH, non-condensing Atmospheric Pressure : 70kPa – 106kPa |
| Clinical accuracy | 0-1 year: Clinical bias: -0.1i0 (-0.317) ; Clinical repeatability: 0.06t (0.117) ; Limits of agreement: 0.24t (0.437) 1-5 years: Clinical bias: -0.1i0 (-0.317) ; Clinical repeatability: 0.07’C (0.137) ; Limits of agreement: 0.22t (0.407) over 5 years : Clinical bias: -0.1it (-0.317) ; Clinical repeatability: 0.200 (0.367) ; Limits of agreement: 0.26°C (0.477) |
| Shock | withstands drop of 3 feet |
| Dimension | 134*37.5*79mm |
| Weight | Approx. 106 grams(with batteries) |
| Battery | DC3V(2 X AAA battery) |
| Battery life | Approx. 300 readings |
| Expected service life | Three years |
| Ingress protecting rating | IP22 |
| Contraindication | No contraindication |
Troubleshooting
| Error message | Problem | Solution |
| The thermometer is not functioning properly. | Unload the battery, wait for 1 minute and repower it. If the message reappears, contact the retailer for service. | |
| The ambient temperature is not within the range between 5℃ and 40℃ ( ℉~104℉). | Place the in a room for at least 30 minutes at room temperature between 5℃ and 40℃ ( ℉~104℉) |
| Error message | Problem | Solution |
| In Forehead mode: Temperature taken is higher than 43.0 r (109.47). In Object mode: Temperature taken is higher than 100 t (2127). | Read Temperature Taking Hints Thoroughly, then take a new temperature measurement. | |
| In Forehead mode: Temperature taken is lower than 34.0 r (93.27). In Object mode: Temperature taken i s lower than Or (327). | Read Temperature Taking Hints thoroughly , then make sure the lens filter are clean, then take a new temperature measurement. | |
| The thermometer works properly. | Use the thermometer normally | |
| When battery outline flashes, it indicates that the power is low, but you can continue to measure. | The thermometer will take a proper measurement but batteries must be replaced soon. | |
| The thermometer could not work due to low battery. | Replace two new alkaline batteries size AAA. |
Calibration
The thermometer is initially calibrated at the time of manufacture. If the thermometer is used according to the use instruction, periodic readjustment is not required. However, We recommends checking calibration every two years or whenever clinical accuracy of the thermometer is in question. Please send the complete device to the dealers or manufacturer.
The above recommendations do not supersede the legal requirements. The user must always comply with legal requirements for the control of the measurement, functionality, and accuracy of the device which are required by the scope of relevant laws, directives or ordinances where the device is used.
A clinical summary and procedures for checking calibration are available upon request.(Turn on the thermometer and press the Memory button long time until entering into calibrate mode, software version will be displayed.)
Symbol Explanation
| Caution | |
| Direct Current | |
| Batch Code | |
| Storage and Transportation Temperature Limit: -1317-131°F(-25t-55t) | |
| TYPE BF APPLIED PART | |
| Refer to instruction manual/booklet | |
| General symbol for recovery/recyclable | |
| Disposal of this product and used batteries should be carried out in accordance with the national regulations for the disposal of electronic products. | |
| Atmospheric pressure limitation | |
| Storage and Transportation Humidity limitation: 15%-95%RH | |
| Manufacturing Date | |
| Manufacturer | |
| The first num. 2:Protected against solid foreign objects of 12,5 mm 0 and greater. The second num. 2:Protection against vertically falling water drops when ENCLOSUREtilted up to 15° . |
Service
The thermometer has a limited one year warranty. Do not attempt to disassemble or repair the thermometer by yourself. Should service be required during or after the warranty period you must contact the manufacturer. Repackage the thermometer carefully in its original packaging or securely pack to avoid damage during shipping. Include the original sales slip indicating the date of purchase, a note describing the problem, and your return address. Send the thermometer prepaid and insured. The lay operator or lay responsible organization should contact the manufacturer or the manufacturer’s representative:
– for assistance, if needed, in setting up, using or maintaining the thermometer; or
– to report unexpected operation or events.
Warranty
Thermometer is warranted by manufacture to be free from defects in material and workmanship under normal use and service for a period of one year from the date of delivery to the first user who purchases the instrument. This warranty does not cover batteries, damage to the probe window, or damage to the instrument caused by misuse,
negligence or accident, and extends to only to the first purchaser of the product.
FCC Information
Caution: Changes or modifications to this unit not expressly approved by the party responsible for compliance could void the user authority to operate the equipment.
*Note:
This equipment has been tested and found to comply with the limits for a Class B digital device, pursuant to Part 15 of the FCC Rules. These limits are designed to provide reasonable protection against harmful interference in a residential installation. This equipment generates, uses, and can radiate radio frequency energy. If this equipment does cause harmful interference to radio or television reception, which can be determined by turning the equipment off and on, the user is encouraged to try and correct the interference by one or more of the following measures:
- Reorient or relocate the receiving antenna.
- Increase the distance between the equipment and the receiver.
- Connect the equipment to an outlet on a circuit different from that to which the receiver is connected.
- Consult the dealer or an experienced radio/TV technician for help.
This device complies with part 15 of the FCC Rules. Operation is subject to the following two conditions:
(1) This device may not cause harmful interference, and
(2) this device must accept any interference received, including interference that may cause undesired operation.
The device has been evaluated to meet general RF exposure requirement. The device can be used in portable exposure condition without restriction.
Electromagnetic Compatibility Information
The device satisfies the EMC requirements of the international standard IEC 60601-1-2.The requirements are satisfied under the conditions described in the table below.The device is an electrical medical product and is subject to special precautionary measures with regard to EMC which must be published in the instructions for use.Portable and mobile HF communications equipment can affect the device.Use of the unit in conjunction with non-approved accessories can affect the device negatively and alter the electromagnetic compatibility.The device should not be used directly adjacent to or between other electrical equipment.
Table 1
| Guidance and manufacturer’s declaration — electromagnetic emission | ||
| The device is intended for use in the electromagnetic environment specified below. The customer or the user of the device should assure that it is used in such an environment. | ||
| Emissions test | Compliance | Electromagnetic environment – guidance |
| RF emissions CISPR 11 | Group I | The device uses RF energy only for its internal function. Therefore, its RF emissions are very low and are not likely to cause any interference in nearby electronic equipment. |
| RF emissions CISPR 11 | Class B | The device is suitable for use in all establishments, including domestic establishments and those directly connected to the public low-voltage power supply network that supplies buildings used for domestic purposes. |
| Harmonic emissions IEC 61000-3-2 | Not applicable | |
| Voltage fluctuations / flicker emissions IEC 61000-3-3 | Not applicable | |
Table 2
| Guidance and manufacturer’s declaration — electromagnetic immunity | |||
| The device is intended for use in the electromagnetic environment specified below. The customer or the user of the device should assure that it is used in such an environment. | |||
| Immunity test | IEC 60601 test level | Compliance level | Electromagnetic environment – guidance |
| Electrostatic discharge (ESD) IEC 61000-4-2 | * 8 kV contact +.2 kV, t4 kV, +.8 kV, ±15 kV air | *8 kV contact +2 kV, *4 kV, t8 kV, t15 kV air | Floors should be wood, concrete or ceramic tile. If floors are covered with synthetic material, the relative humidity should be at least 30 %. |
| Electrostatic transient / burst [EC 61000-44 | *2 kV for power supply lines 100 kHz repetition frequency ± 1 kV for input/output lines | N/A | N/A |
| Surge IEC 61000-4-5 | *0.5 kV, * I kV differential mode line-line | N/A | N/A |
| Voltage dips, short interruptions and voltage variations on power supply input lines IEC 61000-4-11 | 0 % UT (100% dip in UT) for 0.5 cycle at 0°, 45°, 90°, 135°,180°, 225°, 270°, and 315° 0 % UT (100% dip in UT ) for 1 cycle at 0° 70 % UT (30 % dip in UT ) for 25/30 cycles at 0° 0 % UT (IN % dip in UT) for 250/300 cycle at 0° | N/A | N/A |
| Power frequency (50/60 Hz) magnetic field 1EC 61000-4-8 | 30 A/m, 50/6011z | 30 A/m, 50/60Hz environment. | Power frequency magnetic fields should be at levels characteristic of a typical location in a typical commercial or hospital |
| NOTE: UT is the a. c. mains voltage prior to application of the test level. | |||
Table 3
| Guidance and manufacturer’s declaration — electromagnetic immunity | |||
| The device is intended device should assure tl- | for use in the electromagnetic environment at it is used in such an environment. | specified below. The customer or the user of the | |
| Immunity test | IEC 60601 test level | Compliance level | Electromagnetic environment – guidance |
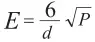
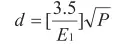
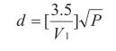
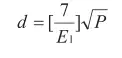
| Conducted RI. IEC 61000-4-6 Radiated RF IEC 61000-4-3 | 3 Vnns 150 kHz to 80 MHz 6 Vnns 150 kHz to 80 MHz outside ISM bandsa 10 V/m 80 MHz to 2.7 GHz | N/A lo v in | Portable and mobile RF communications equipment should be used no closer to any part of the device, including cables, than the recommended separation distance calculated from the equation applicable to the frequency of the transmitter. Recommended separation distance where P is the maximum output power rating of the transmitter in watts (W) according to the transmitter manufacturer and d is the recommended separation distance in metres(m). Field strengths from fixed RF transmitters, as determined by an electromagnetic site survey, • should be less than the compliance level in each frequency range • Interference may occur in the vicinity of equipment marked with the following symbol: OHS |
Table 3 continued
NOTE 1At 80 MHz and 800 MHz, the higher frequency range applies.NOTE 2 These guidelines may not apply in all situations. Electromagnetic propagation is affected by absorption and reflection from structures, objects and people.
a The ISM(industrial, scientific and medical) bands between 0,15 MHz and 80 MHz are 6,765 MHzto6,795 MHz;13,553 MHz to 13,567 MHZ;26,957 MHz to 27,283 MHz; and 40,66 MHz to 40,70 MHz. The amateur radio bands between 0,15 MHz
and 80 MHz are 1,8 MHz to 2,0 MHz,3,5 MHz to 4,0 MHz,5,3 MHz to 5,4 MHz,7 MHz to 7,3 MHz,10,1 MHz to 10,15 MHz,14 MHz to 14,2 MHz,18,07 MHz to 18,17 MHz,21,0MHz to 21,4MHz,24,89 MHz to 24,99 MHz,28,0 MHz to 29,7 MHz and 50,0 MHz to 54,0 MHZ.
b The compliance levels in the ISM frequency bands between 150 kHz and 80 MHz and in the frequency range 80 MHz to 2,7 GHz are intended to decrease the likelihood that mobile/portable communications equipment could cause interference if it is inadvertently brought into patient areas. For this reason, an additional factor of 10/3 has been incorporated into the formulae used in calculating the recommended separation distance for transmitters in these frequency ranges.
c Field strengths from fixed transmitters, such as base stations for radio(cellular/ cordless) telephones and land mobile radios, amateur radio, AM and FM radio broadcast and TV broadcast cannot be predicted theoretically with accuracy. To assess the electromagnetic environment due to fixed RF transmitters, an electromagnetic site survey should be considered. If the measured field strength in the location in which the device is used exceeds the applicable RF compliance level above, the device should be observed to verify normal operation. If abnormal performance is observed, additional measures may be necessary, such as re-orienting or relocating the device.
d Over the frequency range 150 kHz to 80 MHz, field strengths should be less than 3 V/m.
Table 4
| Recommended separation distances between portable and mobile RF communications equipment and the device | |||
| The device is intended for use in an electromagnetic environment in which radiated RF disturbances are controlled. The customer or the user of the device can help prevent electromagnetic interference by maintaining a minimum distance between portable and mobile RF communications equipment (transmitters) and the device as recommended below, according to the maximum output power of the communications equipment. | |||
| Separation distance according to frequency of transmitter | |||
| m | |||
| Rated maximum | 150 kHz to 80 MHz | 80 MHz to 800 MHz | 800 MHz to 2.7 GHz |
| output of transmitter | |||
| w | VI | El | El |
| 0.01 | 0.12 | 0.04 | 0.07 |
| 0.1 | 0.37 | 0.12 | 0.23 |
| 1 | 1.17 | 0.35 | 0.7 |
| 10 | 3.7 | 1.11 | 2.22 |
| 100 | 11.7 | 3.5 | 7.0 |
| For transmitters rated at a maximum output power not listed above the recommended separation distance d in | |||
| metres (m) can be estimated using the equation applicable to the frequency of the transmitter, where P is the | |||
| maximum output power rating of the transmitter in watts (W) according to the transmitter manufacturer. | |||
| NOTE 1 At 80 MHz and 800 MHz, the separation distance for the higher frequency range applies. | |||
| NOTE 2 These guidelines may not apply in all situations. Electromagnetic propagation is affected by absorption | |||
| and reflection from structures, objects and people. | |||
Table 5
| Recommended separation distances between RF wireless communications equipment | |||||
| The device is intended for use in an electromagnetic environment in which radiated RF disturbances are controlled. The customer or the user of the device can help prevent electromagnetic interference by maintaining a minimum distance between RF wireless communications equipment and the device as recommended below, according to the maximum output power of the communications equipment. | |||||
| Frequency MHz | Maximum Power W | Distance | 1EC 60601 Test Level | Compliance Level | Electromagnetic Environment – Guidance |
| 385 | 1.8 | 0.3 | 27 | 27 | RF wireless communications equipment should be used no closer to any part of the device, including cables, than the recommended separation distance calculated from the equation applicable to the frequency of the transmitter. Recommended separation distance Where P is the maximum output power rating of the ransmitter in watts (W) according to the transmitter manufacturer and d is the recommended separation distance in meters (m). Field strengths from fixed RF transmitter, as determined by an electromagnetic site survey, should be less than the compliance level in each frequency range. Interference may occur in the vicinity of equipment marked with the following symbol: |
| 450 | 0.3 | 28 | 28 | ||
| 710 | 0 2 | 0 | 9 | ||
| 745 | |||||
| 780 | |||||
| 810 | ‘s | ||||
| 870 | |||||
| 930 | |||||
| 1720 | Cl | ‘x | “s | ||
| 1845 | |||||
| 1970 | |||||
| 2450 | 2 | i | 2S | ||
| 5240 | 0.2 | 0.3 | 9 | ||
| 5500 | |||||
| 5785 | |||||
| Note 1: These guidelines may not apply in all situations. Electromagnetic propagation is affected by absorption and reflection from structures, objects and people. | |||||
WARNINGS!
- This device should not be used in the vicinity or on the top of other electronic equipment such as cell phone, transceiver or radio control products. If you have to do so, the device should be observed to verify normal operation.
- The use of accessories and power cord other than those specified, with the exception of cables sold by the manufacturer of the equipment or system as replacement parts for internal components, may result in increased emissions or decreased immunity of the equipment or system.
- Use of this equipment adjacent to or stacked with other equipment should be avoided because it could result in improper operation.
- Use of accessories, transducers and cables other than those specified or provided by the manufacturer of this equipment could result in increased electromagnetic emissions or decreased electromagnetic immunity of this equipment and result in improper operation.
- Portable RF communications equipment (including peripherals such as antenna cables and external antennas) should be used no closer than 30 cm (12 inches) to any part of the device,including cables specified by the manufacturer. Otherwise, degradation of the performance of this equipment could result.
- Portable and mobile RF communications can affect the device. The device needs special pre-cautions regarding EMC according to the EMC information provided in the accompany documents.
- Do not use the devices in the MR environment.
- The Operator should not use the system and should inform the customer service, if the ESSENTIAL PERFORMANCE is lost or degraded due to EM DISTURBANCES.
- PRECAUTION: The performance of the device may be degraded should one or more of the following occur:
– Operation outside the manufacturer’s stated temperature and humidity range.
– Storage outside the manufacturer’s stated temperature and humidity range.
– Mechanical shock (for example, drop test) or degraded sensor.
– Patient temperature is below ambient temperature.
JOYTECH Healthcare Co., Ltd.
No.365, Wuzhou Road, Yuhang Economic Development Zone,
Hangzhou , Zhejiang 311100 China
Telephone: +86-571-81957767
Fax: +86-571-81957750
Made in China
Document No.: JDET-2704-005
Article No.: 002
Version: Z
Date of Issue: 20XX-XX






















