SPENCER Electronic lung ventilator

0123 Class IIb Medical Device, compliant with the Medical device directive 93/42/CE
Warning
The information contained in this manual is subject to change without notice.
The Diagrams are inserted only for reference and may vary slightly from the actual device.
Spencer Italia S.r.l. assumes no responsibility for any errors contained herein or for damage, accidents or consequences connected with the supply, performance or use of this manual
Prima emission: 2016
Rev. 2: 28/06/2017
MODELS
The standard following models can undergo change, revision and implementation without any notice.
- Spencer 190 Electronic lung ventilator
Please contact the manufacturer for more information’s about Kompak and Portavent versions.
The connection standard of the device is the one determined by the customer on the order.
INTENDED USE
Spencer 190 is a breathing control/assistance volumetric device, with electronic control of the respiratory function, capable of delivering two different concentrations of medical gas with a single gas supply, equipped with mechanical and electronic safety systems able to monitor some of the main breathing parameters. The range of volumes, respiratory frequencies and monitoring systems for the safety of the patient, allow its use in both adults and children. Is not indicated for use with newborns. The device is designed to provide temporary non-invasive ventilation support for patients having a minimal essential breathing capacity. The device is designed for permanent installation inside ambulances. If the device needs to be transported, is necessary to use an adequate transport bag.
REFERENCE STANDARDS
| As Distributor or final User of the products manufactured and/or sold by Spencer Italia S.r.l., it’s strictly required to know the law dispositions applied in the Country of destination of the goods, applicable to the supplied devices (including the regulations about technical specifications and/or safety requirements.). |
RIFERIMENTO | TITOLO DEL DOCUMENTO |
| EN 794-3 | Lung ventilators. Part 3: Particular requirements for emergency and transport ventilators. |
| CEI EN 60601-1 | Medical electrical equipment – Part 1: General requirements for basic safety and essential performance |
| EN 60601-1-2 | Medical electrical equipment – part 1: general requirements for safety 2. Collateral standard: electromagnetic compatibility – requirements and tests |
| Regulation 10 | Uniform provisions concerning the approval of vehicles with regard to electromagnetic compatibility |
INTRODUCTION
Use of the manual
This manual is intended to provide the health care operator with the all the necessary information for its safe and appropriate use as well as adequate maintenance of the device
Note: The manual is an integral part of the device. It must be kept for the duration of the device and must accompany the device in case of change of ownership or destination. If the operating instructions received relate to products not received, you must immediately contact the manufacturer before use
The Spencer product manuals can be downloaded from the website or can be requested by http://support.spencer.it or by contacting the manufacturer. Exceptions are items whose essentiality for reasonable and predictable use is such as to make it unnecessary to prepare instructions in addition to the following warnings and directions on the label.
| Regardless of the level of experience gained in the past with similar devices, it is recommended that you carefully read this manual before installing, operating or using the product or any maintenance |
Labelling and tracking control of the device
Each device has got an identification label positioned on the device itself and/or on its box, which includes identification data about the manufacturer, the product, the CE mark, the serial number (SN) or lot number (LOT).
It must never be removed or covered.
In case of damage or loss, request a duplicate from the manufacturer. Failure to do so will interrupt the validity of the guarantee as the device can no longer be traced.
| The Directive 93/42/EEC requires manufacturers and distributors of medical devices to keep track of the device location. If the device was in a different location to the address where it was sent or to where it had been sold, donated, lost, stolen, exported, or destroyed, permanently removed from use, or if the device had not been delivered directly from Spencer Italia S.r.l., register your device at http://service.spencer.it or inform the customer (see § 4.4). |
SYMBOLS
| Symbols | Meanings |
![]() | See instructions for use |
![]() | Do not lubricate |
![]() | Lot number |
![]() | Product code |
![]() | Serial number |
![]() | Product compliant with the requirements of Directive 93/42 / EEC |
![]() | The device must be used before the date indicated on the package (Accessories) |
![]() | Protection against electric shock Class II |
![]() | Type BF applied part |
![]() | Alternating current |
![]() | Direct current |
![]() | Fuse |
![]() | Frequency (where applicable) |
![]() | Keep in a cool and dry place |
![]() | Protection of enclosures for electrical devices First digit: protection against ingress of particulate greater than 2.5 mm diameter Second digit: Protected against splashing water from all directions |
![]() | Warning for the correct disposal of the product according to the European Directive 2012/19/UE |
![]() | ON/OFF |
![]() | AUDIO PAUSED |
![]() | Non-ionizing radiation |
![]() | Obligation to read operating instructions |
![]() | Device E-Marked according to Regulation 10 |
| Caution: Federal Law restricts this device to sale by or on the order of a licensed practitioner Restrictions for USA market | |
Warranty and support
Spencer Italia S.r.l. guarantees products from manufacturing defects for a period of one year from the date of purchase. For any information regarding the correct interpretation of the instruction manual, the use, maintenance, installation and restore of the product, contact the Spencer customer care service ph. +39.0521.541111, fax +39.0521.541222 or e-mail [email protected].
In order to facilitate the assistance service, please always indicate the lot number (LOT) or serial number (SN) shown on the label applied on the box or on the device.
Conditions for warranty and assistance can be viewed on http://support.spencer.it.
Note: Record and store; these instructions, lot (LOT) or serial number (SN) if any, date and place of purchase, date of first use, date servicing, user names and comments.
WARNINGS
The warnings, notes and other important safety information are indicated in this section and are clearly visible throughout the entire manual.
User training
Note: Laboratory testing, post production tests, instruction manuals cannot always consider every possible scenario for use.
This means that in some cases the performance of the product could be notable different from results to date obtained.
The best instructions consist in continuous practice under the supervision of trained and competent staff.
- Regardless of the level of experience gained previously with similar devices, it is recommended that you carefully read this manual before installing, operating or using the product or carrying out any maintenance. If in doubt, contact Spencer Italia S.r.l. to obtain the necessary clarifications.
- The device must be used by a physician trained in the use of this product, having attended specific training for this device and not for similar products, with appropriate clinical knowledge in the field of artificial ventilation in order to correctly set the values available on the device according to the patient’s clinical status.
- The suitability of the user to use the product may be attested by the records of training, where the names of those trained, of the trainers, dates and place are Indicated. This register which certifies the eligibility of the operators to use the Spencer device must be kept for a period of 10 years after the disposal of the device itself. This register will be made available to the competent Authorities and/or manufacturer if requested. In the absence of such documentation, sanctions will be applied.
- Do not allow any untrained person to help during the use of the device, because they could cause damage to the patient or to themselves.
Note: Spencer Italia S.r.l. is always at your disposal to organize product training.
Installers training
The installer of the device must be able to ensure that all equipment, systems, containers and connections comply with their specific safety standards and regulations. This requires knowledge of all regulations and standards applicable.
In the particular case of connection to the main supply through a power adapter, this need to be compliant with IEC 60601-1, EN 60601-1-2 standards and periodic checks as prescribed by EN 62353 need to be established before the installation of the device.
If these conditions are not met, safety of the device and for the operators will be compromised
Product functionality
| Use of the device in anyway other than described in this manual is forbidden |
- Before each use of device the perfect operating state of the device must be checked as specified in the instruction manual. If any damage or abnormalities which could in any way influence the correct functioning and the safety of the device are detected, the device must be
immediately removed from service and the manufacturer must be contacted. - If any failure or incorrect functioning of the device is detected, it must be immediately substituted with a similar item so that the rescue
procedures are guaranteed without any interruption. - The appliance must not in any way be tampered with (modification, adjustment, addition, replacement). In such cases all responsibility will be denied for any malfunctions or injuries caused by the appliance itself; moreover CE certification and product warranty will be considered void
- Those who modify or have modified, prepare or have prepared medical appliances in such a way that they no longer serve the purpose for which they were intended, or no longer supply the intended service, must satisfy the valid conditions for the introduction onto the market.
- During use, position and adjust the device taking care not to cause any obstruction to rescuers and or any other rescue equipment.
- Ensure that all the necessary precautions are taken in order to avoid the hazards that can arise as the result of contact with blood or body fluids, when applicable.
- Ensure that the fixing system is suitable to keep fixed the device in the medical vehicle in all circumstances.
- The warranty seals, where present, must not be removed; in such case, the manufacturer will no longer recognize the product warranty and will accept no responsibility in case of incorrect operation or damage caused by the product itself.
- Avoid contact with sharp objects.
- Operating temperature: from -10°C to +40°C
- Atmospheric pressure: from 70 to 110 kPa
- Relative humidity: 15% – 95%
Storage
- The device should not be exposed to or come into contact with any source of combustion or inflammable agents. Store in a cool, dry, dark place and do not expose to direct sun.
- Do not store the device underneath any heavy objects which could cause structural damage.
- Store and transport the device in its original packaging. Failure to do so makes the warranty void
- Before storage of the device, is necessary to recharge the batteries, remove them and to store them in a separate room with a temperature between -20°C and 35°C.
- Storage temperature: from -30°C to + 70°C
- Transient operating conditions are the same as operating conditions
Maintenance/cleaning
| Spencer Italia S.r.l. disclaims any liability for any damage, direct or indirect, which is a result of improper use of the product and replacement parts and / or otherwise of any repairs made by an entity other than the authorized Spencer service centres; this will also invalidate the warranty |
- The operator must always wear adequate personal protection such as gloves and mask etc. during all checking, maintenance and cleaning procedures.
- Establish a maintenance program and periodic testing, identifying an employee responsible for overseeing. The person to whom the ordinary maintenance of the device is entrusted must ensure the basic requirements foreseen by the manufacturer in the user’s manual.
- The frequency of inspection is determined by factors such as legal requirements, the type of use, frequency of use, environmental conditions during use and storage.
- Spencer Italia S.r.l. disclaims any liability for any damage, direct or indirect, that is the result of incorrect repairs or use of products made by Spencer Italia S.r.l. Repairs must necessarily be carried out by an authorized Spencer Italia service centre, which in using original spare parts will provide a quality repair service in strict accordance with the technical specifications given by the manufacturer. Spencer Italia S.r.l. disclaims any liability for any damage, direct or indirect, which is a result of improper use of spare parts and/or otherwise of any repairs made by an entity other than the Spencer service centres authorized to repair or make substitutions on this product and parts and/or otherwise of any repairs made by an entity other than the Spencer service centres authorized to do so; the warranty will also be invalidated.
- Use only original components, spare parts and or accessories, approved by Spencer Italia S.r.l., in order to carry out any operation without causing any alteration or modification to the device.
- All maintenance and revision must be recorded and documented with the corresponding report for technical assistance; documentation shall be maintained for at least 10 years from the end of life and must be made available to the competent authorities and/or the manufacturer if requested.
- The cleaning schedule for reusable products must be performed in accordance with the directions provided by the manufacturer in the user manual, in order to avoid the risk of cross-infection due to the presence of secretions and/or residuals.
- The device and all its components, after washing, should be allowed to dry completely before storing.
Regulatory requirements
| As a distributor or end user of products manufactured and/or marketed by Spencer Italia S.r.l., you are strictly required to have a basic knowledge of any legal requirements applying to the devices contained in this supply that are in power in the final destination Country (including laws and norms regarding technical specifications and/or safety requirements) of the goods and therefore you are also strictly required to have the necessary knowledge to guarantee all aspects regarding the total conformity of the products to the regulations in the relevant territory |
- Promptly notify Spencer Italia S.r.l. (already during the first product enquiry) when requesting in details regarding any revisions to be made by manufacturer in order to guarantee the conformity of the products to the territory’s legal specifications (including those resulting from rules and/or norms of other kind).
- Act, with all due care and diligence, and contribute to ensure conformity to general safety requirements of all devices marketed in the territory, by providing final users with all necessary information for carrying out periodical checks on their devices, exactly as specified in the relevant user’s manual.
- Actively contribute to safety checks on product sold, by communicating any relevant risk analysis information both to the manufacturer and to any competent authorities so that the necessary action can be promptly taken.
- The distributor or final user is aware that in the event of any failure to conform to the above mentioned requirements you will be deemed fully responsible for all damages that might occur. Therefore Spencer Italia S.r.l. expressly disclaims any responsibility and/or liability for your non-compliance with the present regulatory provisions.
General warnings for medical devices
| The user must carefully read not only these general warnings, but also those listed below. |
- It is not foreseen that the use of the device is prolonged beyond the time necessary for the first responders to the complete their operation and the subsequent stages of transport to the nearest rescue point.
- When the device is being used, the assistance of qualified staff must be guaranteed and at least one qualified physician must be present.
- When using the device, the assistance of qualified personnel must be guaranteed and must be present at least one physician trained in the use of this product.
- Follow the procedures and protocols approved by the internal organization.
- If disposable accessories are used, use only once and for only one patient. Do not wash or sterilize after use. Reuse may cause cross infection. Some symbols contained in this manual refer to the standard accessories included In the purchased device.
- The activities of disinfection and sterilization should be carried out in accordance with the parameters given in the validated cycle as specified in the technical standards. Sterilization could reduce the lifespan of the devices.
- Don’t use accessories after the expiration date indicated on the package, if present.
- With reference to the D. Lgs. 24th February 1997, n. 46 emended by D. Lgs. 25/01/2010, n. 37 – Acknowledgement of Directive 93/42/CEE and 2007/47/CE concerning Medical Devices, we remind both public and private operators, , That in the exercise of their activity detect an accident involving a medical product are required to notify the Ministry of Health, under the terms and in the manner established by the relative ministerial decrees and also to the manufacturer. Health care providers whether public or private are required to communicate to the manufacturer, any other inconvenience that may allow for the adoption of measures to ensure the protection and health of patients and users
SPECIFIC WARNINGS
- The device is intended to be used on medical vehicles and not for home therapy.
- The device should be used only in a professional healthcare environment except near active HF SURGICAL EQUIPMENT and the RF shielded room of an ME SYSTEM for magnetic resonance imaging, where the intensity of EM DISTURBANCES is high. The installation should consider the parameters described in paragraph 9 according to electromagnetic compatibility.
- Portable and mobile RF equipment can affect the operation of the device.
- The installation and placing of the device must consider what is described in tables of paragraph 9 in order to ensure that the device maintain its essential performance and basic safety.
- Use of cables or power supplies other than those approved by the manufacturer, can adversely affect the electromagnetic performance of the device.
- The use of RF equipment, including antennas, can adversely affect the device. The lung ventilator or its supply cables should be kept away from other devices according to parameters listed in paragraph 9.
- The use of accessories other than those approved by the manufacturer, may result in increased electromagnetic emissions or reduction of the immunity level of the device.
- The device should not be used adjacent to or stacked with other equipment. If adjacent or stacked use is necessary, the device should be observed to verify normal operation in the configuration in which i twill be used.
- Failure to follow warnings related to electromagnetic compatibility, can compromise the essential performance or basic safety of the device, affect the proper operation of components, affect the software, unexpected change or behavior in the ventilation mode, false alarms, interruption of operations or wrong measurement of ventilation parameters.
- Portable RF communications equipment (including peripherals such as antenna cables and external antennas) should be used no closer than 30 cm (12 inches) to any part of the device, including cables. Otherwise, degradation of the performance of the equipment could result.
- In order to maintain the basic safety and the essential performance of the device, is essential to check before and after each use, the integrity of the electrical connections and to verify that the environment in which the device is installed has not been changed for example by installation of additional devices.
- Don’t use the device in patients between 0 and 18 months and with not drained pneumothorax.
- Do not use the device on patient in respiratory arrest, or that don’t have minimal essential breathing capacity.
- The device is intended for NIV. It is not suitable for procedures requiring intubation.
- Do not use if the device presents any kind of damage or poor cleaning state.
- The proper operation of the lung ventilator, is closely linked to the suitability of the pneumatic power source. Is therefore essential to check that pneumatic supplies comply with requirements described in this manual as well as to specific guidelines and standards for such devices.
- Ensure that the medical gas supply, is free from condensation, residual materials and/or substances which may compromise the proper operation of the device and the efficacy of the therapy and that should contaminate the patient.
- The device must be protected from bumps, falls and spillage of liquids that could damage the device.
- Remove the battery if the device is stored or when unused for a long time.
- The device must be used by a physician trained in the use of this product.
- The user must not have impairments that prevent proper reading and interpretation of informations displayed on the device and prevent proper operation of controls.
- Do not wash or clean the device with water jets or pressurized air.
- Do not use drying machines
- Condensation, water, ice and dust accumulation can affect the correct functioning of the device, making it dangerous for the patient and for the operators.
- Before and after each use, check the status of enclosures and of the fixing system of the device; if altered or yielding is noticed, is necessary to restore its safety status before use the device. Otherwise we assume no responsibility about proper functioning or any damage caused by the device.
- Regularly check the status of connections to the medical gas supply system as well as the electric ones.
- Before turning on the device, charge the battery for at least 7 hours
- The battery should never be completely discharged.
- If any failure or incorrect functioning of the device is detected, the ventilation must be immediately restored with a similar device or a manual one in order to ensure the life support functions without interruption
- Before each use of device the perfect operating state of the device must be checked as specified in the Instruction manual. If any damage or abnormalities which could in any way influence the correct functioning and the safety of the device, of the patient and or of the user are detected, the device must be immediately removed from service and the Manufacturer must be contacted.
- When the device is being used, the assistance of qualified staff must be ensured.
- The device must always be accompanied by a replacement unit and/or by a manual ventilation system to ensure the possibility to intervene on the patient in any case. Use of Spencer manual resuscitators is suggested
- If connected to the 220V main supply by an adapter, is necessary that its features are like described in this manual, has passed the test for electromagnetic compatibility according to EN 60601-1-2 and electrical safety according to IEC 60601-1 and IEC 62353 reporting the specific marking, and does not affect the electrical safety and electromagnetic parameters of the ventilator. Spencer shall not be liable for damages resulting from the use of power adapters other than those specified in this manual.
- The batteries of the device must be replaced every year regardless of the number of recharge cycles.
- Do not leave the patient without the assistance of at least one doctor with clinical skills on artificial ventilation when the device is used
- The device is equipped with warranty seals. If removed , the manufacturer will no longer recognize the product warranty and accepts no responsibility for improper operation or damage caused by the device.
- If the device comes with disposable accessories, these should be used of only one patient. Can not be washed, sterilized or re-sterilized after use.
- If the device comes with accessories with limited lifespan, do not use them after the expiration date.
- The device should not be exposed to or come into contact with any source of combustion or inflammable agents
- Store in a cool, dry, dark place and do not expose to direct sun.
- Do not store the device underneath any heavy objects which could cause structural damage.
- Store and transport the device in its original packaging
- Position and adjust the device taking care not to cause any obstruction to rescuers and or any other rescue equipment.
- The device must be used in a ventilated environment.
- The utilization of the ventilator with power sources and environmental conditions different from the indicated ones compromises the safety of operating.
- Do not lubricate any part of the device. It’s not required by any kind of maintenance and could cause fire hazard.
- The artificial ventilation can have side effects. In order to identify the hazards associated with the use of the device related to the clinical conditions of the patient, its essential the presence of an expert doctor who can evaluate the actual benefits provided by the artificial ventilation and able to determine if the ventilator can be used. Side effects are only partially limited by the time of use of the device, intended for emergency and not for prolonged therapy.
- For the use of the ventilator, a specialized doctor must be present. The doctor will be able to determine if the technical specifications of the device make it suitable to be used on a specific patient and will be the sole responsible for the definition and setting of the ventilation parameters.
- Do not use the device in presence of inflammable substances and anesthetics.
- The device is not intended for use in oxygen enriched environment.
- Do not use the device if the condition of the paragraph 9 are not met.
- Do not use the device if it has not been subjected to scheduled maintenance or maintenance required by a normal use.
- Use only accessories approved by the manufacturer.
- Do not connect the device to the patient through antistatic or conductive tubes.
- The installation must be performed ensuring appropriate distances between devices that could have each other electromagnetic interference as specified in paragraph 9.
- The device is intended for NIV and, as such, is generally not suitable in the following cases:
Respiratory arrest or severe cardiorespiratory impairment – Uncooperative patients (coma, shock, altered state of consciousness) – Excessive secretions – copious bronchial secretions and/or need of frequent suction – Vomiting – Inability to protect upper airways – Obstruction of upper airways – Cranio-facial trauma or burns – Recent facial, upper gastrointestinal tract or upper airways surgery – Life threatening hypoxemia – Hemodynamic instability – Sever comorbidities – Undrained PNX – Sever obesity. - NIV may have complications related to the interface or administered gases including: Discomfort, facial erythema, claustrophobia, inhalation of gastric regurgitation, nasal congestion, dry mouth, eye irritation, barotrauma, intolerance and agitation, hypoxia due to mask removal.
Requirements of operators
| Spencer 190 is a device intended for professional use only. Each operator must be trained in their use and maintenance of good operating conditions. Do not allow untrained people to assist in the use of the product, as this may cause injury to themselves or others. |
Installers and operators must know all the standards applicable to the devices, accessories and systems connected to the pulmonary ventilator.
| Operators must be able to assess the integrity of the connections. They must also be able to evaluate any anomalies of the supply systems communicating the problem to the responsible figures, interrupting the use of the devices connected to it. |
| The abilities of all operators must be considered before determining their role in the employment of the device. |
The device can be used only by specialized staff which will be able to determine if the technical specifications of the device make it suitable to be used on a specific patient and will be the sole responsible for the definition and setting of the ventilation parameters.
RESIDUAL RISK
The residual risks listed below have been identified exclusively in reference to the intended use of the device.
- The installation and use without complying with the distances between electrical and electronic devices in reference to electromagnetic compatibility, could lead to malfunction of such devices.
- Installation carried out by untrained personnel can lead to detachment of medical gas pressurized tubes, resulting in damage to persons or impossibility to carry out rescue operations.
- Installation carried out by untrained personnel, could result in inadequate fastening of the device inside the ambulance, with consequent risks related to its instability or mobility.
- The connection to a gas supply having impurities or traces of condensate can compromise the good functioning of the device, altering its functional characteristics and causing harm to patients.
- The connection to a power source with higher voltage than described in this manual can make the device not usable.
- The connection to a power source with lower voltage than described in this manual can result in a battery recharge failure and in a device block.
- Failure to check the compliance of the pneumatic supply, may result in unattended interruption of the therapy.
- The use in environmental conditions different from those specified in this manual, can damage the sealing elements resulting in leakage of gas, deviations from the set flow values or condensation.
- The use in presence of flammable and/or anesthetic gas may cause fire risks
- A prolonged use without adequate humidification downstream the device, can cause dryness of the patient airways.
- The use of Air Mix mode in polluted atmosphere can result in serious damage to the patient
- The use of adult breathing circuits on pediatric patients may cause barotrauma.
- Wrong choice of the mask size, can lead to oxygen leakage decreasing the effectiveness of the ventilation therapy or leading to improper operation of alarms.
- The artificial ventilation can have side effects. In order to identify the hazards associated with the use of the device related to the clinical conditions of the patient, its essential the presence of an expert doctor who can evaluate the actual benefits provided by the artificial ventilation and able to determine if the ventilator can be used. The doctor will be able to assess the type and cause of respiratory insufficiency, ensuring adequate therapy evaluating the actual need and possibility to use the ventilator setting the proper values in relation to the clinical condition of the patient. The absence of such figure can seriously compromise the patient safety because of inadequate treatment, ineffective or due to an improper use of the device.
- Side effects are only partially limited by the time of use of the device, which should never exceed the time for the transport of the patient on the ambulance. Risks arising from prolonged use, are closely linked to the side effects of NIV.
- The reuse of unsterilized patient circuits, involves risks of infection for patients and operators.
TECHNICAL DATA AND COMPONENTS
Note: Spencer Italia S.r.l. reserves the right to make changes to specifications without prior notice.
Technical data
| DIMENSIONALS | |||
| Width | 330 mm | ||
| Height | 210 mm | ||
| Depth | 177 mm | ||
| Weight | 3,5 ± 0,5 kg | ||
| Patient circuit weight | 242 g | ||
| Patient circuit volume | 400 ± 20ml | ||
| Power supply | |||
| Voltage | 12 Vcc (-15% + 25%) | ||
| AC/DC Adapter | Input: 100-240VAC, 50/60Hz; 0,7-0,35A Output: 12V DC | ||
| Power consumption max | 700 mA | ||
| Main battery | 12V NiMh 1,8Ah | ||
| Autonomy | About 5 hours | ||
| Charge time | About 12 hours | ||
| Secondary battery | 9V 6LR61 | ||
| Pneumatic supply | |||
| Intended gas | Medical oxygen | ||
| Input pressure | from 280 to 600 kPa | ||
| Maximum flow rate required | 140 l/min | ||
| FUSE | |||
| F1L250V | Fast 5x20mm 1A | ||
| VENTILATION | |||
| Modes | CMV, TVM, A/CV | ||
| Volume/minute | from 2 to 20 L/min | ||
| Frequency (F) | from 5 to 40 BpM | ||
| Pressure limit | from 20 to 60 cmH2O | ||
| Tidal Volume | = | ||
| FiO2 | 60% (AIR MIX) o 100% (NO AIR MIX) | ||
| I/E Ratio | 1:2 | ||
| High pressure alarm with frequency <20 bpm | 60 mbar ± 5% | ||
| High pressure alarm with frequency >20 bpm | 25 mbar ± 5% | ||
| Respiratory resistance | Valve | Filter | Breathing tube |
| 2,5 cmH2O espirat. 1,73 cmH2O Inspirat. at 50 l/min | 2,5 cmH2O a 60L/min | 0,12 cmH2O at 30l/min 0,51 cmH2O at 60 l/min | |
| Breathing tube compliance | Less than 2% of the volume | ||
| MANOVACUOMETER | |||
| Measuring range | from -20 to +80 mbar | ||
| Precision | 1,6 (maximum error ± 1,3 mbar) | ||
| MAXIMUM DEVIATION FROM SETTINGS | |||
| Volume/minute | ± 15% | ||
| Frequency | ± 1 BpM | ||
| Pressure limit | ± 5 mbar | ||
| Alarms | |||
| High priority | High pressure – Low pressure – Apnea – Pneumatic supply – Low battery | ||
| Maximum audio paused time | 100 s | ||
| Acoustic level | 80 ± 10db | ||
| Classifications | |||
| Classification according to directive 93/42/CE | IIb | ||
| Classification according to IEC 60601-1 | Class II if externally powered Internally powered if operating with internal battery | ||
| Applied part (Breathing tube, filter, connector, valve, mask) | BF | ||
| Enclosure protection according to IEC 60529 | IP24 Protected against ingress of particles with diameter greater than 12mm Protected against splashing water from all directions | ||
Components

N° | Description | Material |
1 | Led alarms section | / |
2 | Informative leds sections | / |
3 | Control buttons | Integrated in the PC panel |
4 | PMAX Adjustment knob | Al |
5 | Flow adjustment knob | Al |
6 | Frequency adjustment knob | Al |
7 | Trigger adjustment knob | Al |
8 | AIR MIX/NO AIR MIX selection lever | Rubber covered steel |
9 | Main body | Al |
10 | Manovacuometer | Copper alloy/Steel/Al |
11 | Led to monitor breathing phases | Integrational pannello in PC |
12 | Side protections | PE |
13 | Power connector | Nylon 66/Ottone |
14 | Breathing tube connector | Al |
15 | Pneumatic supply input | Brass, nickel plated brass, ABS |
16 | Air intake | Al/PE |
17 | Battery compartment panel | ABS |
18 | Fuse holders | PE |
The device comes with the following accessories not shown in this manual:
- Patient circuit
It consists of a corrugated tube, face mask, non-rebreathing valve, straight fit and antibacterial filter. Patient circuits or their components approved to be used with the pulmonary ventilator are those listed in paragraph 15. - Oxygen connection tube
Allows the connection of the device to the oxygen supply. - Devices intended for transport, are equipped with a suitable bag and include standard accessories stored in dedicated compartments inside the systems.
Those accessories are:
– 2l Oxygen tank
– Pressure reducer with the connection standard specified in the order.
– Helicoidal mouth opener
– Tongue forceps
– Guedel cannulas
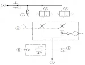
Pneumatic diagram
The lung ventilator 190, has an internal pneumatic circuit according to the following diagram:
- High pressure source
- Pressure switch
- Electro valve
- Minute/Volume mixer
- Overpressure valve
- Manovacuometer
- Medical gas output – patient circuit

Inside the circuit, the incoming pressurized medical gas, is sent to the mixing block by means of a device operated by a valve controlled by the electronic circuit of the device. When the device is turned off the pressurized medical gas, even if introduced in the device, is not delivered because intercepted by the electrovalve in closed position. Everything is controlled by the electronic circuit of the device, which also controls the main breathing parameters. This diagram is provided only to illustrate the operation of the device. It is not allowed to
intervene in any way on it as well as on the electronic circuit. If opening of the case of the device or any other type of unauthorized modification will be found, the warranty would be voided and Spencer Italia will not have any liability related to the functionality and use of the product.
INSTALLATION AND START-UP
Installation
The installation of the device is a critical step to ensure a proper operation. When the product is received, verify that:
- The packaging is intact and has no signs of impacts, falls and isn’t wet.
- All the items in the accompanying list are present
- The device does not show any kind of damage
- Ensure that the vehicle in which you want to install the device, is manufactured in compliance with EN 1789.
The device, tested in the laboratory of a notified body, has successfully passed all the electromagnetic test required by the harmonized standards. It is designed to be used in the electromagnetic environment described below. The customer, installer and user must be able to ensure that these conditions are always respected.
Guide and Manufacturer’s Declaration | ||
190 ventilator is intended for use in the electromagnetic environment specified below. The customer or the user of the ventilator 190 must ensure that it is used in such an environment. | ||
EMISSION TESTS | Conformity | Guide to the electromagnetic environment |
Emissions in RF CISPR 11 | Group 1 | The 190 ventilator uses RF energy only for its internal functions. Its RF emissions are therefore very low and unlikely to cause any interference with electronic equipment nearby. |
Emissions in RF CISPR 11 | Class B | The 190 ventilator is suitable for use in all environments including domestic as well as those directly connected to a low-voltage public network source supply of which supplies buildings used for domestic purposes. |
Harmonic emissions IEC 61000-3-2 | ||
Emissions as a result of voltage fluctuations / flicker-IEC 6100 3-3 | Compliant | |
Guide and Manufacturer’s Declaration | ||
The 190 ventilator is intended for use in the electromagnetic environment specified below. The customer and / or user of the ventilator 190 must ensure that the device is used in such environment. | ||
IMMUNITY TEST | Conformity level | Guide to the electromagnetic environment |
Electrostatic discharge (ESD) IEC 61000-4-2 | ± 8kV at contact ± 2 kV, ± 4 kV, ± 8 kV, ± 15 kV in air | I Floors should be wood, concrete or ceramic tile. If the floors are covered with synthetic material, the relative humidity should not exceed most 30% |
Electrical fast transient/burst | ± 2kV power supply ± 1kV for input/output lines | Mains power quality should be that of a typical commercial or hospital environment. |
Over voltage IEC 61000-4-5 | ± 0.5 , 1kV for line to line surge 0.5, 1, 2kV for line to ground surge | Mains power quality should be that of a typical commercial or hospital environment |
Voltage dips | 0 % UT; 0,5 cycles at 0°, 0°, 45°, 90°, 135°, 180°, 225°, 270° and 315° 0% UT 1 cycle and 70% UT 25/30 cycles (25 at 50Hz and 30 at 60Hz) Single phase ta 0° | Mains power quality should be that of a typical commercial or hospital environment. If the user of the lung ventilator 190 requires continued operation during power mains interruptions, it is recommended that the lung ventilator 190 be powered from an uninterruptible power supply or a battery. |
Voltage interruptions | 0% UT; 250/300 cycles | |
Power frequency (50/60 Hz) magnetic field IEC 61000-4-8 | 30 A/m | Power frequency magnetic fields should be at levels characteristic of a typical location in a typical commercial or hospital environment |
| note UT is the value of the tension of power source | ||
Guide and Manufacturer’s Declaration | ||
| The 190 ventilator is intended for use in the electromagnetic environment specified below. The customer and / or end user of the 190 ventilator must ensure that the equipment is used in such environment. | ||
IMMUNITY TEST | Level of conformity | Guide to the electromagnetic environment |
Conducted RF IEC 61000-4-6 Radiated immunity CEI EN 61000-4-3 | The equipment for communication in portable and mobile radio- frequency (RF) should not be placed near any part of the appliance, including cables etc. and should be kept at a distance never less than the recommended and calculated from the equation applicable to the frequency of the transmitter. Recommended separation distance d = 0,583x√P d = 1,2 x√P from 80Mhz to 800MHz d = 2,3 x√P from 800Mhz to 2,7 GHzwhere P is the maximum rated power output of the transmitter in watts (W) according to the transmitter manufacturer and d is the recommended separation distance in meters (m). Field strengths from fixed RF transmitters, as determined by an electromagnetic site survey should be at less than the compliance level in each frequency range b. Interference may occur in the vicinity of equipment marked with the following symbol: ![]() | |
6 V 150kHz to 80MHz in ISM bands and amateur radio bands | ||
| NOTE 1 At 80 MHz and 800 MHz the separation distance for the range of higher frequency is applied NOTA 2 These guidelines may not apply in all situations. Electromagnetic propagation is affected by absorption and reflection from structures, objects and people. | ||
| a The ISM (industrial, scientific and medical) bands between 150 kHz and 80 MHz are 6,765 MHz to 6,795 MHz; 13,553 MHz to 13,567 MHz; 26,957 MHz to 27,283 MHz; and 40,66 MHz to 40,70 MHz b The compliance levels in the ISM frequency bands between 150 kHz and 80 MHz and in the frequency range 80 MHz to 2,5 GHz are intended to decrease the likelihood that mobile/portable communications equipment could cause interference if it is inadvertently brought into patient areas. For this reason, an additional factor of 10/3 has been incorporated into the formulae used in calculating the recommended separation distance for transmitters in these frequency ranges. c Field strengths from fixed transmitters, such as base stations for radio (cellular/cordless) telephones and land mobile radios, amateur radio, AM and FM radio broadcast and TV broadcast cannot be predicted theoretically with accuracy. To assess the electromagnetic environment due to fixed RF transmitters, an electromagnetic site survey should be considered. If the measured field strength in the location in which the lung ventilator 190 is used exceeds the applicable RF compliance level above, the lung ventilator 190 should be observed to verify normal operation. If abnormal performance is observed, additional measures may be necessary, such as re-orienting or relocating the lung ventilator 190. d Over the frequency range 150 kHz to 80 MHz, field strengths should be less than 6 V/m. | ||
Recommended separation distances between portable and mobile communications equipment and the ventilator 190. | |||
| The 190 ventilator is intended for use in an electromagnetic environment in which radiated RF disturbance is controlled. The customer or the user of the 190 ventilator may prevent electromagnetic interference by maintaining a minimum distance between the communications equipment radio frequency (RF) Portable and mobile equipment (transmitters) and the 190 ventilator, as described below and in accordance with the maximum output power of the communication device | |||
| Maximum output power rating of the transmitter | Separation distances according to frequency of transmitter (m) | ||
(W) | From 150 kHz to 80 Mhz Inside and outside ISM bands d = 0,583x√P | From 80 Mhz to 800 Mhz d = 1,2x√ | From 800 Mhz to 2,7 Ghz |
0,01 | 0.058 | 0,12 | 0.23 |
0,1 | 0.184 | 0,38 | 0.73 |
1 | 0.583 | 1,2 | 2.3 |
10 | 1.844 | 3,8 | 7,3 |
100 | 5.83 | 12 | 23 |
| For transmitters rated at a maximum output power not listed above, the recommended separation distance d in metres (m) can be determined using the equation applicable to the frequency of the transmitter, where P is the maximum output power rating of the transmitter in watts (W) according to the transmitter manufacturer. NOTE 1 At 80 MHz and 800 MHz, the separation distance for the higher frequency range applies. NOTE 2 The ISM (industrial, scientific and medical) bands between 150 kHz and 80 MHz are 6,765 MHz to 6,795 MHz; 13,553 MHz to 13,567 MHz; 26,957 MHz to 27,283 MHz; and 40,66 MHz to 40,70 MHz. NOTE 3 An additional factor of 10/3 has been incorporated into the formulae used in calculating the recommended separation distance for transmitters in the ISM frequency bands between 150 kHz and 80 MHz and in the frequency range 80 MHz to 2,5 GHz to decrease the likelihood that mobile/portable communications equipment could cause interference if it is inadvertently brought into patient areas. NOTE 4 These guidelines may not apply in all situations. Electromagnetic propagation is affected by absorption and reflection from structures, objects and people. | |||
Guide and Manufacturer’s Declaration | ||
Immunity to proximity fields from RF wireless communications equipment | ||
Test frequency (MHz) | Modulation | Immunity level (V/m) |
385 | Pulse modulation(1) at 18Hz | 27 |
450 | FM(2) ±5Hz deviation 1kHz sine | 28 |
710 | Pulse modulation(1) at 217Hz | 9 |
745 | Pulse modulation(1) at 217Hz | 9 |
780 | Pulse modulation(1) at 217Hz | 9 |
810 | Pulse modulation(1) at 18Hz | 28 |
870 | Pulse modulation(1) at 18Hz | 28 |
930 | Pulse modulation(1) at 18Hz | 28 |
1720 | Pulse modulation(1) at 217Hz | 28 |
1845 | Pulse modulation(1) at 217Hz | 28 |
1970 | Pulse modulation(1) at 217Hz | 28 |
2450 | Pulse modulation(1) at 217Hz | 28 |
5240 | Pulse modulation(1) at 217Hz | 9 |
5500 | Pulse modulation(1) at 217Hz | 9 |
5785 | Pulse modulation(1) at 217Hz | 9 |
| The carrier shall be modulated using a 50 % duty cycle square wave signal. As an alternative to FM modulation, 50 % pulse modulation at 18 Hz may be used because while it does not represent actual modulation, it would be worst case. | ||
If the environmental conditions are appropriate, is possible to install the device verifying that:
- The installation floor is leveled and strong enough to withstand accelerations and vibrations to which the device could be subjected during use on the medical vehicle. It’s suggested the use of a backplate.
- The medical gas supply system has been regularly serviced or, in case of initial startup, the periodic maintenance has been programmed.
- Fittings, pipes and all means of connection used in the system, are built according to the specific applicable standards.
- Verify that purchased tubes and fittings respect the same standard requested for the device.
- Distances between other electrical and electronic devices are like described in this manual.
- The positioning of the device does not cause any type of obstruction inside the medical vehicle.
- The power supply has the characteristics described in this manual. The pressure and flow delivered from the medical gas supply system, have the characteristics specified in this manual.
- The device must be installed using the dedicated surfaces on the lower side of the main body. Other fixation devices are available upon request. Any other type of installation, precludes the safety and functionality of the device.
The device must be connected to electrical power supply and to a source of medical gas having the following characteristics:
Power supply | Medical gas supply | ||
Voltage | 12 V/DC (-15% + 25%) | Pressure | From 280 to 600 kPa |
Needed Current | > 1A | Flow | > 140 l/min |
| Internally powered OR Externally powered from ambulance battery by dedicated 12V − − − cigarette lighter adaptor | Connection standard (If not otherwise specified on accompanying documents) | UNI | |
| AC/DC adapter: Manufacturer: Mean Well Model: GSM25B12 Input: 100-240VAC, 50/60Hz, 0,7-0.35A Output: 12Vcc 2,08A, 25W Max. | |||
The power cable supplied with the device, must be connected to the device and at the other side must be connected to a cigarette lighter socket installed inside the ambulance.
The connector is placed on the connections side of the device.
Screw the connector ring to the device with a torque of approximately 2Nm, until the device is connected safely.
If the device has to be serviced, it should be disconnected from the power supply, or unplug the cigarette lighter
If you wish to wire the cable to the mains power of the ambulance, remove the plug, splice and connect according to the specifications in the table.
After installation and electrical and pneumatic connections, is necessary to check the proper functioning of the device.
If the device is powered through the power adaptor connected to the mains power, is necessary to verify that the mains comply with the specification of the power adaptor.
If the device is connected to the mains through a power supply compliant with EN 60601-1, the assembly should be considered an EM SYSTEM.
Typically, the power adaptor can be connected to a socket installed inside an ambulance manufactured according to EN 1789.
| Connection specifications | |
| Brown thread | Pole Positive |
| Blue wire and shield | Pole Negative |

The installation of the device must always allow the optimal view of the control panel and must ensure easy access to the connections.
On the bottom of the device, there are two threaded pads for installation on a flat floor.
– Drill two holes on the surface for the screws.
– Choose screws of appropriate length according to the installation surface.
– Tighten the screws until a safe fix is reached.
– Make sure the screws are fully seated. If they are not perfectly coupled with the surfaces, is necessary to choose shorter ones or, if the distance between the screw and the surface is reduced, apply washers.
Start-Up
For a proper and safe use of the product, proceed as follows:
- Ensure that power and gas supplies comply with the specifications in this manual. Is necessary to ensure that oxygen tanks and pressure regulators comply with appropriate regulations and directives that can be applied to those devices. Their proper operation should always be checked before each use.
- Always check the residual content of the oxygen bottles.
- Connect the patient circuit and all its components to the unit
- Check that the pressure gauge is on “zero” position.
- Turn on the device by pressing the ON/OFF button.
- The device performs an auto diagnostic test by turning all leds on for about one second accompanied by 3 short sounds.
After this test, the device automatically starts the ventilation in controlled mode, in accordance with the previously set parameters. If this does not happen, refer to the table “TROUBLESHOOTING”. - Adjust the breathing frequency.
- Adjust the minute volume
Perform the overpressure valve test as follows:
Close with the palm of one hand the patient outlet and turn the pressure limiting knob. Verify that the value indicated on the gauge is the
same set with the knob. The checks must be done on all the adjustment scale.
If the values are not the same or outside the tolerances, put the device out of service and contact the manufacturer or service center.
Carry out functional test of the alarm systems as described in paragraph 12.2.6
Once the tests are carried out, is necessary to:
- Turn off the Spencer 190 by pressing the button “O” for about 2 seconds
- Break off the medical gas supply
If the device is working properly and the conditions above are met, it can be considered ready for use; otherwise put the device out of service and contact the manufacturer.
The patient circuits to be used in place of the one provided, are to be chosen from those approved by the manufacturer and listed in paragraph 14.
Do not alter or modify the device arbitrarily; modifications may cause unpredictable operation and damage to the patient or rescuers and will also void the warranty, relieving the manufacturer from any liability. |
FUNCTIONAL CHARACTERISTIS

Element | Description | Function |
| A | Alarm LED section | Provide visual feedback regarding the activated alarms or their audio paused status |
| B | Informative LED section | Provide visual feedback about ventilation mode and informations about power supply |
| C | Buttons | The section include buttons for ventilation mode selection, power, audio paused and reset. |
| D | PMAX Adjustment knob | Allows to set the maximum pressure limit that can be reached during ventilation |
| E | Flow adjustment knob | Allows to set the delivered volume minute |
| F | Frequency adjustment knob | Allows to set the breathing acts per minute |
| G | Trigger adjustment knob | Allows to set the negative pressure level generated by patient’s spontaneous breathing at which the lung ventilator will start the delivery of medical gas with set values |
| H | AIR MIX/NO AIR MIX selector | Allows to choose whether to use the medical gas delivered by the medical gas supply system at 100% (NO AIR MIX) or at 60% (AIR MIX), mixing it with air taken from the environment in which is placed the device. |
| I | Main enclosure | Primary enclosure of the device |
| L | Manovacuometer | Allows the visualization of the pressure inside the patient circuit |
| M | Led to monitor breathing phases | They provide a visual feedback concerning the duration of inspiratory and expiratory phases. |
| N | Side protections | Provide additional protection to the primary enclosure increasing the stability of the device |
| O | Power connector | Required to connect the power source |
| P | Patient circuit \ connector | Output at which the patient circuit must be connected |
| Q | Medical gas input | Input at which must be applied the tube connected to the medical gas supply system. The standard used is UNI. This connection is marked O2 SUPPLY |
| R | Air intake | Removable group containing an inlet filter for air. This component is identified by the words EMERGENCY AIR INTAKE |
| S | Battery compartment panel | It is the access cover for the battery compartment. It can be removed using a coin. |
| T | Fuse holders | They contain the fuses for internal battery and external power supply. The upper one is for primary battery, the lower one is for external power supply |
For their use, the lung ventilator requires fundamental accessories that make up the patient circuit, which includes in the assembly order the Mask, Patient valve, straight fit, antibacterial filter, corrugated tube.
Spencer 190 includes:
| Component | Description |
| Straight fit 22/15 | Allows the connection between the filter and the patient valve |
| Corrugated tube | Canalizes the medical gas flow and connects the devices of the patient circuit. It is directly connected to the medical gas output placed on the ventilator |
| Patient valve | Equipped with overpressure and non-rebreathing valves, allows the connection between the mask and the straight fit. It must be chosen according to the patient to be treated (Adult or Pediatric) |
| Filter | Antibacterial filter placed between the straight fit and the corrugated tube. |
| Face mask | Is the main interface between the device and the patient |
INSTRUCTION FOR USE
Connection to the pneumatic supply
After the device has been connected to the power supply according to the
provided specifications, connect the pneumatic supply hose to the socket placed on the pressure reducer installed on the oxygen tank. Insert then the probe inside the socket on the connections side of the lung ventilator pressing until it clicks, confirming the proper connection.
To verify the integrity of the electrical connection, slightly pull the connector verifying that no disconnection happens
For the pneumatic supply, check that it is properly connected slightly pulling the probe doing a little rotation at the same time.
Connect the breathing tube to the output marked with “PATIENT CIRUIT” on the connections side of the lung ventilator. The tube must be inserted for about 2,5 cm. If the insertion is difficult, the tube can be slightly rotated during insertion making the operation easier.
The breathing tube must not rotate easily and freely. If this happens, it is an obvious sign of damage to the hose or of its incompatibility with the device.
In these conditions the device is ready for use, and this is identified by the green LED marked “EXT. SOURCE”
To disconnect the device from the pneumatic supply, push the outer plastic part of the socket in axial direction while pulling out the probe.
Turn on the device
Turn on the device pressing on the button identified by the symbol “
”.
The device will perform an auto diagnostic test by turning on all LEDs for about 1 second and emitting 3 short sounds.
When this test is concluded, the device automatically start the ventilation in “Controlled mode” according to the set parameters.
If the device is not working or there are different visual or acoustic signals, refer to the paragraph explaining the warning signs or the section
TROUBLESHOOTING.
On the frontal panel will be displayed the ventilation mode, the breathing phases and any alarms or informations related to the power or pneumatic supplies.
Setting breathing parameters
On the frontal panel there are 4 adjustment knobs. Breathing parameters must be adjusted before applying the mask to the patient. During these adjustments, the physician using the device must consider the patient’s weight, the Tidal Volume required by the patient and its clinical conditions.
Volume minute adjustment
The Volume minute is the volume of gas delivered to the patient in a minute. It differs from the delivered volume for each breath (or Tidal Volume) as this is closely related to the breathing frequency according to the relation
.
The device allows setting between 2 and 20 L/min
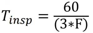
Breathing frequency adjustment
Rotating the frequency adjustment knob, is possible to set the number of breaths per minute.
The frequency has consequences both on the tidal volume according to the mentioned relation and on the activation level of the high pressure alarm. The high pressure alarm is activated at 25mbar if the frequency is set higher than 20 breaths/min and at 60mbar if the frequency is less than 20 breaths/min.
The frequency setting, because of the constant I:E ratio, has also a direct effect on the duration of the inspiration phase according to the relation:
, where F is the frequency set by the operator. The time so calculated is expressed in seconds.
Pressure limit adjustment
Through this setting, is possible to limit the maximum pressure in the breathing circuit to the desired value. If the pressure limit is exceeded, the volume minute is no longer guaranteed.
The device allow settings between 20 and 60mbar.
Trigger adjustment
The trigger is a device able to synchronize the insufflation with the beginning of spontaneous breathing of the patient. The lung ventilator doesn’t consider the trigger setting when is operating in CMV mode.
When the patient produces a negative pressure in the upper breathing circuit higher than the trigger level (in absolute value) , the device will start a new breath.
This ventilation technique is commonly used for patients able to sustain inhalation work for brief intervals. The effort made by the patient for the spontaneous inspiration creates a negative pressure inside the ventilator. This negative pressure is detected by the trigger mechanism which does begin the insufflation. The effort (negative pressure) needed to activate the trigger can be adjusted and progressively increased in order to encourage the patient to a higher breathing work, re-educating and training his respiratory muscles.
The adjustment range is form -2 to -12 mbar.
Ventilation modes
CMV Mode
This mode is selected by default when the unit is turned on. It consist of insufflation of the medical gas to the patient according to the parameters set with the adjustment knobs.
he inspiratory and expiratory time ratio is constantly 1:2.
This ventilation mode can be manually selected pressing on the button CMV placed on the frontal panel. When selected, the CMV led will turn on.
A/CV Mode
This ventilation mode can be selected by pressing the button A/CV placed on the frontal panel. The dedicated led will turn on.
In this ventilation mode, the device provides an assured number of inflations per minute according to the parameters set, operating similarly as in the CMV mode. Furthermore, thanks to the trigger mechanism, if the patients begins a new breath within the next assured inflation, the device anticipates the inflation according to the parameters set. Such inflation will be considered as the first of a new theoretical cycle of assured inflations, unless the patient anticipates further ones. It is therefore fundamental to set a trigger value suitable for patient’s clinical condition.
This ventilation mode does not provide the activation of the APNEA alarm.
The trend of the inspiratory and expiratory phases is displayed on the LEDs placed on the front panel, making the interpretation of the patient response easier and allowing better adjustment of parameters.
The ventilation should always begin with the trigger level requiring less effort (-2mbar).
TVM mode
This ventilation mode can be selected by pressing the button TVM turning on the dedicated light.
This ventilation mode is generally suitable for patients having very high breathing autonomy.
Settings of the ventilation parameters should use the same criteria described for the A/CV mode.
The device starts a new breath only if this is triggered by the patient according to the trigger setting. If the patient doesn’t start a spontaneous breath within 25 second from the end of the previous breath, the device activates the APNEA alarm but it WILL NOT SWITCH to the controlled ventilation mode.
Air Mix/No Air Mix Selection
The lever placed on the front panel, allow to choose between two available FiO2 levels.
If in NO AIR MIX mode, the ventilator delivers only the medical gas coming from the main medical gas supply to which the device is connected. If the supply system delivers oxygen, the ventilator will deliver to the patient an oxygen concentration of 100%. Selecting the AIR MIX mode, the ventilator draws 60% of gas from the medical gas supply and the remaining 40% from the environment where the device used. In this case, if the main gas supply deliver oxygen, the concentration of this gas administered to the patient will be of 60%.
It is inappropriate to use the Air Mix mode in case of polluted environment. The device has a filter for incoming air subjected to periodic replacement as specified in paragraph 12
Usage
The physician who directs rescue operation is responsible for the choice of the device to be used and for the clinical assessments needed for the proper use of this device and for the choice of the proper ventilation parameters.
Patient circuits used for the ventilation must be chosen among those approved by the manufacturer. For ventilation of pediatric patients, a pediatric patient valve must be used.
The residual pressure of the medical gas supply must be regularly checked to ensure enough autonomy. The achievement of low pressure in the oxygen supply, would result in the shutdown of the device and in the activation of an alarm signal.
The device provides alarms intended to limit risks of wrong adjustments or needed for a safe use of the product. Alarms can be silenced by pressing the button identified by the symbol placed on the frontal panel. The audio paused condition can be identified by the illumination of the LEDs of the write “MUTE”. The audio pause function has no effect on lights and alarms that are not active when the mute button is pressed. The physician who directs rescue operation is responsible for the choice of the device to be used and for the clinical assessments needed for the proper use of this device and for the choice of the proper ventilation parameters.
Patient circuits used for the ventilation must be chosen among those approved by the manufacturer. For ventilation of pediatric patients, a pediatric patient valve must be used.
The residual pressure of the medical gas supply must be regularly checked to ensure enough autonomy. The achievement of low pressure in the oxygen supply, would result in the shutdown of the device and in the activation of an alarm signal.
The device provides alarms intended to limit risks of wrong adjustments or needed for a safe use of the product. Alarms can be silenced by pressing the button identified by the symbol
placed on the frontal panel. The audio paused condition can be identified by the illumination of the LEDs of the write “MUTE”. The audio pause function has no effect on lights and alarms that are not active when the mute button is pressed.
For safety reasons, the alarms are not automatically disabled when the alarm condition no longer exist. To disable the audio paused function and to terminate all active alarms, press the ALARM RESET button.
The device has an internal 12V battery. It’s also present a 9V backup battery needed for the operation of the alarms of the main battery charge status.
When the external power supply is active, the write EXT. SOURCE will light continuously. If connected to the external power supply and the battery is not fully charged, the charging will automatically start and the write ON CHARGE will light. Flashing of the write ON CHARGE, identifies a particular condition that does not allow to charge the battery. (See par. 11.6).
The pressure in the patient circuit is always shown on the Manovacuometer placed on the front panel.
In standard conditions it is suggested to remove any implants, evaluate the need of Broncho aspiration, hyperextend the patient’s head and, to ensure that the airways are clear, position the face mask over the mouth and nose checking the adherence of the soft part of the mask on the patient’s face, in order to obtain a sealed system. It is important to verify that the mask is suitable for the patient; in the early stages of the ventilation it is suggested to force the adhesion of the mask to the patient’s face.
The adjustment method of the volume minute knob (by steps), prevents changes in the set parameters due to accidental contacts.
Resistance of the airways due to obstructions or external cardiac massage does not cause a variation of the respiratory volume and frequency. In case of reduction of the compliance, the ventilator will react with a rise of respiratory pressure at a constant volume.
During ventilation, constantly monitor the patient’s physiological response in order to verify if the set parameters are correct or to ensure absence of complications.
Note:
The medical gas flow is not influenced by pressure. The ventilator does not monitor the oxygen concentration (mechanical mixing). Unless otherwise specified the parameters are expressed in ATPD (Ambient, Temperature and Pressure Dry).
At the end of service, turn off the device by pressing the power button for about two seconds, shut down the pneumatic supply and proceed with the necessary maintenance activities.
Alarms and information signals
Each visual, acoustic or visual/acoustic signal is generated by conditions requiring attention and intervention by the operator.
The device is equipped with high priority alarms and has information signals as described below.
Physiological high priority alarms | |
HIGH PRESSURE | |
| Alarm specification | 10 sequences of sound pulses spaced 2,5 seconds and dedicated led flashing two times per second |
| Reason of activation | The maximum pressure in the patient circuit has been exceeded. This limit is activated at 60mbar if the frequency is set less than 20bpm and at 25 mbar if the frequency is set higher than 20bpm |
| Possible causes of activation |
|
| Action to take |
|
Physiological high priority alarms | |
LOW PRESSURE | |
| Alarm specification | 10 sequences of sound pulses spaced 2,5 seconds and dedicated led flashing two times per second |
| Reason of activation | The pressure inside the patient circuit during inflation is below 10mbar |
| Possible causes of activation |
|
| Action to take |
|
| Physiological high priority alarms | |
LOW PRESSURE | |
| Alarm specification | 10 sequences of sound pulses spaced 2,5 seconds and dedicated led flashing two times per second |
| Reason of activation | The pressure inside the patient circuit during inflation is below 10mbar |
| Possible causes of activation |
|
| Action to take |
|
Technical high priority alarms | |
GAS SUPPLY | |
| Alarm specification | 10 sequences of sound pulses spaced 2,5 seconds and dedicated led flashing two times per second |
| Reason of activation | The pressure of the pneumatic supply is low |
| Possible causes of activation |
|
| Action to take |
|
Here is shown a table for general guidelines about autonomy of bottles of various capacities
Autonomy expressed in minutes for a tank loaded at 200bar | ||||||||||
Tank capacity (liters) | Selected flow (l/min) | |||||||||
2 | 4 | 6 | 8 | 10 | 12 | 14 | 16 | 18 | 20 | |
2 | 200 | 100 | 67 | 50 | 40 | 33 | 29 | 25 | 22 | 20 |
3 | 300 | 150 | 100 | 75 | 60 | 50 | 43 | 38 | 33 | 30 |
5 | 500 | 250 | 167 | 125 | 100 | 83 | 71 | 63 | 56 | 50 |
7 | 700 | 350 | 233 | 175 | 140 | 117 | 100 | 88 | 78 | 70 |
10 | 1000 | 500 | 333 | 250 | 200 | 167 | 143 | 125 | 111 | 100 |
14 | 1400 | 700 | 467 | 350 | 280 | 233 | 200 | 175 | 156 | 140 |
Technical high priority alarms | |
LOW BATT | |
| Alarm specification | 10 sequences of sound pulses spaced 2,5 seconds and dedicated led flashing two times per second |
| Reason of activation | The primary battery has reached a low charge level requiring intervention by the operator |
| Possible causes of activation |
|
| Action to take |
|
Other signals | |
Primary battery failure during charge | |
| Signal specification | The write ON CHARGE is flashing |
| Possible causes of activation | The battery temperature is too high |
| Action to take | Wait for battery cooling The device will start to charge the battery when the temperature reaches adequate levels |
Other signals | |
Primary battery failure | |
| Signal specification | LOW BATT flashes every 3 seconds emitting a short acoustic signal |
| Possible causes of activation |
|
| Action to take |
|
Other signals | |
Primary battery failure | |
| Signal specification | LOW BATT flashes every 3 seconds emitting a short acoustic signal |
| Possible causes of activation |
|
| Action to take |
|
CLEANING AND MAINTENANCE
Cleaning
| Failure to carry out the correct cleaning routine could increase the risk of cross infection, due to presence of body fluids and/or residuals. The operator must always wear adequate personal protection such as gloves and mask, etc. during all checking and cleaning procedures. |
- The described operations must be performed after each use of Spencer 190.
- Turn off the device
- Isolate it from the power supply (if connected)
- The cleaning of the external parts of the device can be carried out using suitable disinfectants for surfaces as described in the table.
USABLE PRODUCTS | NOT USABLE PRODUCTS |
| Disinfectants with aldehydes | Compounds that release halogens |
| Disinfectants with alcohol | Strong organic acids |
| Quaternary ammonic compounds | Compounds that release oxygen |
| Trichloroethylene |
- Be careful to ensure that no kind of solution enters inside the oxygen socket.
- If a disposable patient circuit is used, replace it.
- If a reusable patient circuit is used, disassemble every part and sterilize according to a validated procedure.
- Similarly, replace or sterilize the mask.
- After confirming the ventilator and all accessories are completely dry, is possible to reconnect the device to the power supply.
The use of high pressure water is prohibited, because it should penetrate into the device causing risks of corrosion of components and risks of electric leakage and short circuits. During every cleaning procedure, check that were not used any kind of lubricants.
Ordinary maintenance
| Establish a maintenance program and periodic testing routine, identifying an employee responsible for this. The person to whom the ordinary maintenance of the device is entrusted must ensure the basic requirements foreseen by the manufacturer in following paragraphs are inspected. All maintenance and periodic servicing activities must be registered and kept together with the servicing reports. These documents have to be kept for a period of 10 years after the disposal of the device itself. This register will be made available to the competent authorities and/or manufacturer if requested. |
Routine maintenance of the device must be carried out by operators in possession of specific qualifications, trained and experienced in the use and maintenance of the device.
| The operator must always wear adequate personal protection such as gloves and mask, etc. during all checking and cleaning procedures. |
Checks to be carried out before and after each use and at deadline indicated above, are as follows:
- General functionality of the device
- Cleanliness of the device (remember that the failure of cleaning may cause the risk of cross infections)
- Correct fixation of all nuts, bolts and screws
- No structural part is deformed or compromised
- Proper operation of the pressure limiting adjustment controls. With the device turned on, occlude the patient output and verify that the Manovacuometer shows the pressure value set within the tolerances described in the technical data. Verify proper functionality of the frequency knob setting a value and measuring the time between two mandatory ventilations. The time in seconds between the beginnings of two ventilations is equal to 60/Frequency.
9V alarm battery check
The 9 V backup battery must be regularly checked or replaced depending on its use. Using a tester ensure that the voltage on the battery is not lower than 40%. The correct polarity when connecting the 9 V battery is guaranteed by one-directional connector.
The alarm battery must be replaced once a year even if in good conditions.
Internal battery status check
The device is powered by a rechargeable battery. A new battery is never fully charged. The battery recharges automatically when the device is connected to the external power source.
If the device is not used for a long time, the battery must be recharged.
Do not keep the unit in charge beyond the time specified. Fully discharging the battery and / or maintaining the equipment continuously powered from external source, will results in a significant reduction of the operating life of the battery.
The internal battery must be replaced once a year even if in good conditions.
All batteries should be removed if the device needs storage. The absence of the internal battery should be indicated on the device (for example with a label) so that the device will not be accidentally used without the internal power supply. To limit the battery aging, it is recommended to carry out separate storage in an environment with a temperature between -20°C and +35°C. After storage, the battery needs to be recharged.
Fuse replacement
Spencer 190 uses two fuses type F1L250V (Fusible Fast 5x20mm 1A). The manufacturer assumes no liability related to the use of spare parts not meeting the specifications provided.
The fuse is a protection mean for the device, which interrupts the flow of current to the ventilator if it exceeds the maximum value acceptable the device.
If the fuse blows, the device will continue to work with the internal power supply (battery) until it is exhausted, but will not be possible to recharge it or use it by connecting to an external power source.
If the interruption envolves the internal battery, the device can be used only if connected to the external power source.
This condition will be identified by the informations described for the event “Primary battery failure”.
Both fuses are placed on the side panel of the device and can be replaced removing the fuse holder with a screw driver.
Verify that the filament is actually broken in order to ensure that the problem is not to be found in other components.
Insert the new fuse in the removable fuse holder and screw again.
Both fuses must be replaced every year

Battery replacement
The annual maintenance of the device requires, among other activities provided by the manufacturer, the replacement of all batteries.
If a battery replacement is needed before the annual revision, follow these instructions:
Verify that the device is turned off and disconnected from the power supply. Using a coin or a screwdriver, open the battery compartment.
Pull out the battery pack and disconnect the connector by lifting the locking tab.
Similarly, disconnect the 9V battery from its connector.
Connect the new batteries and place them inside the battery compartment and close the cover.
The backup battery is the type 6LF22 or 6LR61 9V commercially available. Its proper connection is ensured by the connector allowing a single way of insertion.
Alarms functionality test
Alarms must be subjected to regular checks to ensure that the device is suitable for use
High pressure alarm Test 1:
Connect the device to the pneumatic supply.
Set the minute volume to the lower value
Set the pressure limit to 30 mbar
Set the frequency higher than 25 bpm
Turn on the device
Close with one hand the port used to connect the breathing tube making sure it is completely obstructed.
Gradually increase the volume minute until the alarm is activated. When the alarm starts the pointer of the Manovacuometer should show a pressure level of 25 mbar. If the alarm is regularly activated the test is successful.
High pressure alarm Test 2:
Connect the device to the pneumatic supply.
Set the minute volume at the lower value
Set the pressure limit at 60 mbar
Set the frequency lower than 20 bpm
Turn on the device
Close with one hand the port used to connect the breathing tube making sure it is completely obstructed.
Gradually increase the volume minute until the alarm is activated. When the alarm is activated , the pointer of the Manovacuometer should show a pressure level of 60 mbar. If the alarm is regularly activated the test is successful.
Apnea alarm Test
Turn on the device
Select the TVM ventilation mode.
Leave free the connector used for the breathing tube.
Verify that after 25 seconds from the end of the last breath the APNEA alarm is activated.
If the alarm has regularly turned on, the test was successful
Low pressure alarm Test
Turn on the device
Select the controlled ventilation mode
The low pressure alarm will not be activated if the gas output is completely closed.
Is necessary to adjust the obstruction level of the gas output until the pressure level during the mandatory ventilation reach a value a bit lower than 10mbar.
This type of check may take a few tries.
If the alarm is regularly activated, the test was successful.
Pneumatic supply alarm Test
Disconnect the device from the pneumatic supply source or close the oxygen bottle valve.
Turn on the device.
If the alarm is regularly activated, the test was successful.
Low battery alarm Test
To perform this test is necessary to put the device out of service.
Discharge the battery until the alarm signal is activated.
If the alarm is regularly activated, the test was successful.
Warning: Don’t perform this test if is expected that the device is to be used because its battery charge level would be inadequate to ensure patient safety
In the event of prolonged inactivity periods or before transports, do the following:
- Turn off the device.
- Disconnect the ventilator from the power supply.
- Check the charge status of the internal battery and, if necessary, recharge it.
For prolonged inactivity, in addition to the recommendations listed above, the device must be store following other precautions about the place, time and modality of storage
- Store the device in a closed place.
- Protect it from shocks and stresses
- Protect it from humidity and wide temperature excursions.
- Avoid contact with corrosive substances.
The procedures listed below shall be carried out and checked before each use of the device.
| To check | Required result | |
| RESPIRATORY SYSTEM |
| · All components have to be in good conditions and correctly connected · The device or its components must be correctly cleaned or replaced |
| ELECTRIC POWER SUPPLY |
|
|
| PNEUMATIC POWER SUPPLY |
|
|
In the event of external power supply failure, is possible to use the device powered by the internal power supply. In this case is necessary to carry out proper checks to the external power supply. This operation should be done by the installer.
If the failure involves the internal power supply, is possible to use the device powered by the external power source. Is necessary to replace the internal battery and the fuses as soon as possible.
In the event of failure of the pneumatic supply, is necessary to switch to another ventilation equipment.
Always check that at least one alternative artificial ventilation equipment is present, so the rescue procedures can be carried out also if any failure occurs.
The proper operation of the pneumatic supplies must always be guaranteed. Carefully follow the instructions and carry out the maintenance required by manufacturers of such devices.
| The inspection frequency is determined by factors such as legal requirements, the type of use, frequency of use, environmental conditions during use and storage. |
Please note that you must do the cleaning as described in this manual and verify functionality before and after each use. Spencer Italia S.r.l.
declines any responsibility for the improper functioning or damages caused to the patient or user by the use of devices not subject to routine maintenance and will void the warranty and the compliance to the Medical Device Directive 93/42/CEE.
| Use only accessories/original spare parts approved by Spencer Italia S.r.l., otherwise we will accept no responsibility for the incorrect functioning and/or damage caused by the use of any device which has not been repaired, or certified on expiry date by the manufacturer or by one of the manufacturer’s authorised service centres. Warranty will be considered void in compliance with the Medical Device Directive 93/42/EEC. |
Periodic maintenance
| The device must be serviced by the manufacturer or by an authorised centre, every year. |
If the correct revision is not carried out, the CE branding will no longer be considered valid as the product will no longer be compliant with the 93/42/CE Directive for Medical Devices and consequently it is no longer compliant with the safety standards declared by the manufacturer at time of purchase.
Spencer Italia S.r.l. will take no responsibility the incorrect functioning or any damage caused by a device that has not undergone regular revision.
For any operations that are not carried out directly by the manufacturer but by an authorised centre, we have to underline that a report regarding all operations carried out must be requested. This will permit both Spencer Italia S.r.l. and the end user to keep a log book regarding the operations carried out on the device.
Special servicing
| Only the manufacturer or centres with written authorization are authorised to complete any special servicing operations. |
For any operations that are not carried out directly by the manufacturer but by an authorised centre, we have to underline that a report regarding all operations carried out must be requested. This will permit both Spencer Italia S.r.l. and the end user to keep a log book regarding the operations carried out on the device.
The end user is authorised to replace only the spare parts indicated in the paragraph 15.
Life span
| The device, if used as indicated in the following instruction manual, has an average life span of 5 years from the purchase date |
Such life span and can be extended for up to another 5 years following the annual revision.
General revisions must be carried out by the manufacturer or by a centre authorised by the manufacture. If such annual revisions are not carried out, the device MUST BE DISPOSED ACCORDING TO THE PROCEDURES SPECIFIED IN PARAGRAPH 16 AND THIS EVENT MUST BE NOTIFIED TO THE MANUFACTURER.
Spencer Italia S.r.l. will accept no responsibility for the incorrect functioning and/or damage caused by the use of any device which has not been serviced by the manufacturer or authorised centre, or of any device for which the life span is expired.
TROUBLESHOOTING
| PROBLEM | CAUSE | SOLUTION |
| Medical gas alarm | The device is not connected to a medical gas supply | Connect the device to a medical gas supply |
| The oxygen tank is exhausted | Replace with a new tank and prepare the old one for filling procedures | |
| The delivered pressure is not sufficient (less than 2,8 bar) | Verify the oxygen supply , or verify the performance of the pressure reducer by the manufacturer | |
| The patient can’t breath | The patient valve is not correctly positioned or is damaged | Verify that the patient valve is correctly positioned or replace it |
| Low Paw (airway pressure) | Non-rebreathing valve is not correctly connected to the tube or to the mask | Verify the proper assembly |
| High pressure alarm | The airways are obstructed | Ensure that implants have been removed ; carry out Broncho aspiration |
| The corrugated tube is bent | Verify the corrugated tube | |
| Patient is not hyperextended | Hyperextend or use Guedel or Berman cannulas | |
| High pressure limit is set too low | Adjust the high pressure limit 10 mbar over the airway pressure | |
| Low battery | Internal battery with an autonomy less than 20 min | Recharge immediately the internal battery. If the problem persist, replace the battery. |
| Apnea | There is not spontaneous breathing | Re-evaluate the patient’s clinical condition. If necessary, select the CMV or A/CV ventilation mode and verify that the breathing circuit is free from obstructions |
| The low battery alarm doesn’t work | The 9V backup battery is discharged | Replace the backup battery |
| The Manovacuometer doesn’t indicate “0” when the ventilator is not working | The component is damaged | Put the device out of service and contact an authorized service center |
| Is not possible to recharge the battery | The electrical power source is not stable | Verify the power source. If anomalies are present, contact an authorized service center |
| The battery has reached its life limit | Replace the battery | |
| The fuse is blown | Replace the fuse as described in the manual | |
| The device is not working | Low voltage has caused a microprocessor failure | Verify the voltage of the power supply. Turn off the device and turn on again. If the problem persists, contact a Service center |
| Turning on the device it does not start the controlled ventilation | Failure to electrical or pneumatic supplies or a failure of the device has occurred | Check for visual or acoustic signals as described in this manual. If no signal is present, put immediately the device out of service and contact an authorized service center |
| The trigger doesn’t work properly | Low voltages have caused improper operation of components of the device which reads incorrect pressure values of the patient circuits | Verify the voltage of the power supply. Turn off the device and turn on again. If the problem persists, contact a Service center. |
| The quick connector for the input of the medical gas is not stable | Quick connector damaged or worn | Put the device out of service and contact an authorized service center |
| Noises occur caused by vibrations when driving the medical vehicle | Constant stresses caused a deterioration of the fasteners or mating surfaces | Ask your installer to check that the conditions for the installation have been met |
| The device does not turn on | Anomalies of the internal electronic circuit | Put the device out of service and contact an authorized service center |
| Software failure | Internal error o power supply problems | Restart the device. If the problem persist or happens frequently, put the device out of service, check the electrical power supply and contact the manufacturer. |
| Flashing of one or more lights inside the bar used to monitor breathing phases | Internal component failure | Put the device out of service and contact an authorized service center |
| LED LOW BATT flashes every 5 seconds with short acoustic signal | The main battery is fully discharged or is damaged | Recharge the battery or replace it. If the problem persist, put the device out of service and contact an authorized service center. |
How to return for servicing
In accordance with new European regulations, Spencer Italia S.r.l. lists some key points to preserve the hygiene of the equipment and operators who use them. Spencer Italia S.r.l. trusts in compliance with these standards in order to ensure hygiene and health to all the people who work to achieve quality and well-being.
Every device that will be returned to Spencer Italia S.r.l. will undergo health checks before the repair.
If Spencer Italia S.r.l. judges the instrument not suitable for repair because of visible signs of external and/or internal contamination, will send the device to the customer with specification NOT REPAIRED, attaching a letter of explanation of the defects. Spencer Italia S.r.l. will decide if contamination is due to a malfunction or incorrect use. If the contamination is due to a malfunction, Spencer Italia S.r.l. will replace the product only in presence of a SALE RECEIPT. Spencer Italia S.r.l. does not respond for the accessories that show signs of contamination, then will replace the same charging material costs to the customer. For the above, the device MUST be carefully disinfected on the outer casing with a cloth moistened with denatured alcohol or solutions containing hypochlorite and accessories immersing them in the same disinfectant. Place it in a bag with specified equipment and accessories disinfected. Request to specify the defect in order to carry out the repair in the shortest possible time. It therefore requires to carefully read the instructions to avoid compromising the device with inappropriate use. It requires you to specify the kind of fault to give way to the technical Spencer Italy S.r.l to judge whether the fault falls into the category of warranty
ACCESSORIES
| Standard equipment | |
| EV00106A | Patient circuit |
| EV20008A | 100cm power connection cable |
| Optionals | |
| EV00102A | Pediatric patient circuit |
| EV60030C | EVX 30 – PEEP autoclavable with connector |
| EV60032C | EVX 32 – disposable PEEP VALVE with connector |
| RM20800A | SPENCER MASK – POLYS. AUTOCL. BLACK FACE MASK SZ.0 |
| RM20802A | SPENCER MASK – POLYS. AUTOCL. BLACK FACE MASK SZ.2 |
| RM20804A | SPENCER MASK – POLYS. AUTOCL. BLACK FACE MASK SZ.4 |
| RM20805A | SPENCER MASK – POLYS. AUTOCL. BLACK FACE MASK SZ.5 |
| RM20810B | SPENCER MASK – KIT 4 SIZES POLYS. AUTOCL. BLACK FACE MASKS |
SPARE PARTS
| Spare parts | |
| RIEV001 | 40cm power connection cable w/lighter plug |
| RIEV002 | 100cm power connection cable w/lighter plug |
| RIEV003 | 200cm power connection cable w/lighter plug |
| RIEV004 | 250cm power connection cable w/lighter plug |
| RIEV005 | 400cm power connection cable w/lighter plug |
| RIEV007 | Backup battery 9V |
| RIEV009 | 25cm air connection tube for ventilator |
| RIEV010 | 100cm air connection tube for ventilator |
| RIEV011 | 60cm oxygen connection tube for ventilator |
| RIEV012 | 100cm oxygen connection tube for ventilator |
| RIEV013 | 240cm oxygen connection tube for ventilator |
| EV50111 | KIT DISPOSABLE FILTERS LATEX FREE. (10 pz) |
DEMOLITION
The components of the patient circuit, when no longer suitable for use, if they haven’t been contaminated by any particular agents, they can be disposed of as normal solid waste, otherwise follow the current regulations for demolition.
WARNINGS FOR THE CORRECT DISPOSAL OF THE PRODUCT IN ACCORDANCE WITH EC DIRECTIVE 2012/19/EU WEEE:
At the end of his life, the product must not be disposed as household waste. Can be taken to special recycling centers provided by local government, or return it to the dealer on purchase of a new device of the same type and used for the same functions. Dispose of the product separately avoids possible negative consequences for the environment and human health resulting from inappropriate disposal and allows to recover the materials in order to obtain significant savings in energy and resources. The symbol on the label indicates separate collection of electrical and electronic equipment.
Warning: One incorrect disposal of electrical and electronic equipment could result in sanctions
SPENCER ITALIA SRL– Via Provinciale n° 12 – 43038 Sala Baganza (PR) – Italy
www.spencer.it | support.spencer.it – e-mail: [email protected] | service: [email protected] |Ph./Tel. +39.0521.541111
Quality System EN ISO 9001 – EN ISO 13485




































