DongGuan XO201 Pulse Oximeter
Safety Information
Warning
- Only qualified personnel designated by the manufacturer is allowed to maintain the equipment. Users themselves are not allowed to repair the equipment.
- Explosion hazard: not use the equipment in environment with inflammable substances such as anesthetics.
- Not use the equipment in MRI and CT examination.
- When used with electrosurgical equipment together, the user shall ensure the safety of the monitored patient.
- Users who are allergic to silicone rubber is forbidden to use this equipment.
- The equipment, accessories and packaging (batteries, plastic bags, foam and cartons, etc.) shall be scrapped in compliance with local laws and regulations.
- Forbid to use the equipment once the equipment is found damaged, or have material deterioration
- Do not use the equipment under the application conditions beyond its declared specification scope.
- When using the equipment for long-term continuous monitoring, check and replace measured parts at least every 2 hours. It is necessary for more frequent examinations in some scenarios, such as perfusion disorders and skin sensitivity. Prolonged monitoring may increase unpredictable skin changes, such as allergies, reddening, blistering, or compressive necrosis.
- For the special patients, there should be a more prudent inspecting in the placing process.The device cannot be clipped on the edema and tender tissue.
- The light (the infrared is invisible) emitted from the device is harmful to the eyes, so theuser and the maintenance man should not stare at the light.
- Testee cannot use enamel or other makeup.
- Testee’s fingernail cannot be too long.
- Ensure that the environment in which the device is operated is not subject to any sources of strong electromagnetic interference, such as radio transmitters, mobile telephones, etc. Keep them far away High level electromagnetic radiation emitted from such devices may greatly affect the monitor performance.
- Be careful with the use of the lanyard cord. Improper use of the lanyard cord will cause device damage not covered under the manufacturer’s warranty. Swinging the device by the lanyard cord will void the warranty. Please do not use lanyard cord if allergic to lanyard cord.
lease choose the accessories and probe which are approved or manufactured by the manufacturer, or else it may damage the device. - Please don’t measure this device with a functional tester for the device’s related information.
- When uploading, do keep the patient form touching the USB port. The computer used when uploading must be in accordance with EN60950.We recommended to use Lenovo Qitian M320,etc,in addition, when the data line is connected to a computer, the medical electrical systems should be in accordance with IEC60601-1-1.
- It is not recommended to use the equipment in electric knives and other high-frequency interference environments.
- Children are not recommended to operate the equipment directly and they must operate the equipment under adult supervision.
- Keep the application environment free of dust, vibration, corrosion or combustible substances, and avoid temperature and humidity too high or too low.
- Turn off the equipment immediately if water splashes the equipment or there is condensate in the equipment.
- Do not use the equipment immediately when it is transferred from cold environment to warm and humid place.
- There is a visual indicator of low battery capacity in the equipment. Replace batteries in time when the low battery indicator appears.
- High temperature or high-pressure steam disinfection of the Pulse Oximeter is not permitted.
- Do not have the Pulse Oximeter immerged in liquid. When it needs cleaning, please wipe itssurface with medical alcohol by soft material. Do not spray any liquid on the device directly.
- When cleaning the device with water, the temperature should be lower than 60℃ (140℉).
- As to the fingers which are too thin or too cold, it would probably affect the normal measure of the patients’ SpO2 and pulse rate, please clip the thick finger such as thumb and middle finger deeply enough into the probe.
- The update period of data is less than 5 seconds, which is changeable according to different individual pulse rate
- Please read the measured value when the waveform on screen is equably and steady-going, This measured value is optimal value.
- If some abnormal conditions appear on the screen during test process, pull out the fingerand reinsert to restore normal use.
- The device has normal useful life for three years since the first electrified use.
- The device has the function of limits alarming, when the measured data is beyond thehighest or lowest limit, the device would start alarming automatically on the premise of the alarming function is on.
- The device may not work for all patients. If you are unable to achieve stable readings,discontinue use.
- A flexible circuit connects the two parts of the device. Do not twist or pull on the connection.
- Take out batteries if the equipment is not used for a long time.
- Properly carry the equipment and prevent it from falling, collision, strong vibration or other mechanical external force damage.
Symbol of Equipment

Overview
Product Introduction
Measurement Principle
Blood oxygen saturation, a key parameter of the physiological circulatory system, means the percentage of oxyhemoglobin in total hemoglobin. Many heart diseases or respiratory system diseases may cause a decrease of blood oxygen saturation in the human body. Besides, the automatic adjustment function of the body caused by
anesthesia, major surgical trauma, and some injuries resulting from a medical examination may cause an abnormal oxygen supply in the patient, which may lead to a decrease in blood oxygen saturation, resulting in dizziness, weakness, vomiting and other symptoms, and even giving rise to life-threatening symptoms in a serious case.
Therefore, knowing the patient’s oxygen saturation in time is very important for doctors to detect problems in a timely manner and it is of great significance in the field of clinical medicine. The equipment applies the continuous and noninvasive quantitative method of pulsating blood oxygen. It measures the flux arriving at the photodetector of the sensor after the specific wavelength of light emitted from the sensor’s light source is absorbed by the hemoglobin oxyhemoglobin in the patient’s tissue, and then obtains the blood oxygen saturation and pulse rate The Pulse Oximeter has been calibrated to show functional blood oxygen saturation. The plethysmography
waveform and parameter value will be displayed on the screen. 
Figure 1 Schematic Diagram of Working Principle
Scope of Application
This equipment is used to measure blood oxygen saturation and pulse rate of patients. It is expected to used by medical institutions, health care institutions or individuals. And it is suitable for adults and children
Contraindications
No contraindications
Product Structure and Appearance
Front View 
- ON / OFF Button
Turn on: after batteries are installed in the Pulse Oximeter, press ON/OFF Button to turn on the equipment.
Turn off: If the Pulse Oximeter does not detect the finger within 8 seconds, it will automatically shut down. - Display screen
OX201: adopt OLED display screen.
Rear View 
- Battery compartment: two AAA batteries
Side View 
- Hole of rope: to tie role.
- Cavity of finger clip: place finger in this cavity to measure blood oxygen saturation.
Product Display
OX201 Display Screen

- Unit of blood oxygen saturation: SpO2%
- Measured value of blood oxygen saturation: the display range is [1 ~ 100] and the sign “—” means invalid value.
- Unit of pulse rate: PR/min
- Measured value of pulse rate: the display range is [25 ~ 250] and the sign “—” means invalid value.
- Unit of perfusion index: PI%
- Measured value of perfusion index: the display range is [0.02 ~ 20.0]and the sign “—” means invalid value.
- Unit of respiratory rate: RR / min
- The measured value of respiratory rate: the display range is [4 ~ 70]and the sign “—” means invalid value.
- Bar chart: showing the instantaneous state of blood pulse which is proportional to pulse intensity.
- Tracing wave: display physiological pulse waveform, and non-normalized processing.
- Battery capacity: the indicator’s lighting length varies with remaining battery capacity.
Basic Operation
Installment
Battery Installment
- Ensure the polarity of two AAA batteries in consistent with the polarity mark in the battery compartment;
- Place two AAA batteries into the battery compartment gently.
- Make the battery compartment covered rightly.
Note:- Ensure correct polarity when install batteries.
- Please take out the battery if you do not use the thermometer for a long time.
- Please refer to the relevant laws and regulations for the disposal of waste batteries.
- Only use the recommended batteries, do not recharge non-rechargeable batteries and do not burn them
Tie rope 
- Put the thin end of the rope through the hanging hole.
- Put the thicker end of the role through the thin end.
- Tighten the rope.
ON/OFF
Turn On: after installing batteries, press ON/OFF Button to turn on the equipment. Enter into the measurement interface after the system starts. If the Pulse Oximeter does not detect the finger within 8 seconds, it will automatically shut down.
Measurement
Alarm
- Carefully check the measurement part before wearing the Pulse Oximeter. Do not wear the Pulse Oximeter to the damaged skins or tissues.
- Do not place the Pulse Oximeter on the side of body with artery catheter or intravenous injection tube.
- Do not put the Pulse Oximeter and blood pressure cuff on the same side of body as the blood flow occlusion during the course of blood pressure measurement may affect the reading of blood oxygen saturation.
Measurement Procedures
- Press ON/OFF Button to turn on the Pulse Oximeter;
- Open the finger clip, put the finger into cavity, and then release the finger clip. Make the display screen above the finger clip when putting the finger. As shown in the figure below:

Fig. 4 Diagram to Wear Equipment
Measurement Precautions
- Please check the device before using, and confirm that it can work normally.
- The SpO2 sensor and photoelectric receiving tube should be arranged in a way with the subject’ sarteriole in a position there between.
- The SpO2 sensor should not be used at a location or limb tied with arterial canal or blood pressure cuff or receiving intravenous injection.
- Do not fix the SpO2 sensor with adhesive or else it may result in venous pulsation and inaccurate.
- Put the proper finger into the Pulse Oximeter. The measured value may be affected if the finger is too cold or thin.
- The finger shall be inserted to the finger clip cavity deeply enough, and otherwise, the measured value
may be inaccurate. Ensure the light between the photoelectric receiving tube and the luminescent tube of the Pulse Oximeter shall passes through the small artery bed of the finger of the subject. - Keep the place where the light path passes free from light barriers such as adhesive tape to ensure the accuracy of parameter measurement.
- The product is suitable for children and adults with finger thickness of 7mm ~ 25.4mm.
- The measurement will be affected by excessively strong ambient light, including but not limited to fluorescent lamp, double Ruby lamp, infrared heater, direct sunlight, etc.
- The measurement accuracy will be affected if the subject performs strenuous activities.
- The interference of electrical surgical equipment may affect the measurement accuracy.
- The nail on the test site shall be free from nail polish and other cosmetics. To ensure measurement accuracy, remove nail polish or other cosmetics if any.
- The measured value of blood oxygen saturation may be inaccurate in case there is high content of the dye dilution drugs (such as methylene blue, indigo cyanide green, acid indigo carmine), carbon monoxide hemoglobin, methemoglobin or Thiohemoglobin and others in the body of the subject.
- Dopamine, Procaine, Procaine, Lidocaine, Buzocaine and other drugs will cause serious deviation in the measurement of blood oxygen saturation.
- The measured value of blood oxygen saturation is for reference only to anaemic hypoxia and toxic hypoxia. Some patients with severe anemia may still have higher measured value of blood oxygen saturation due to physiological reasons.
As the measure is taken on the basis of arteriole pulse,substantial pulsating blood flow of subject is required. For a subject with weak pulse due to shock, low ambient/body temperature, major bleeding, or use of vascular contracting drug, the SpO2 waveform (PLETH) will decrease. In this case, the measurement will be more sensitive to interference.
Bluetooth and APP
Download instructions
- Scan the code and install the app, as shown in the figure below.

- Open the download link at https://www.pgyer.com/spo2? Sign=& auSign=&Code = Download mobile APP-NargMed.
Operation interface description
- Click the“connect to device” button. Then switch to the measurement interface.

- Unit of blood oxygen saturation: SpO2%。
- The measured value of blood oxygen saturation: the display range is [1 ~ 100] and the sign “—” means invalid value。
- Unit of pulse rate: PR/min。
- When the unit of pulse rate (3) lights up, display the measured value of pulse rate. The display range of pulse rate is [25 ~ 250] and the sign “—” means invalid value.
- Unit of perfusion index: PI%
- The measured value of perfusion index: the display range is [0.02 ~ 20.0]and the sign “—” means invalid value.。
- Home
- Click the“History” button. Then switch to the historical data view interface.

- Unit of blood oxygen saturation: SpO2%
- SpO2 historical data. Swipe left and right to view historical data.
- Unit of pulse rate: PR/min
- PR historical data. Swipe left and right to view historical data.
- Unit of respiratory rate: RR / min
- RR historical data. Swipe left and right to view historical data.
- Unit of perfusion index: PI%
- PI historical data. Swipe left and right to view historical data.
- Historical data timeline
- Historical Data menu
- Click the
button to see historical hypoxemia occurrence time 
- Historical oxygen drop events:Hypoxemia and Insufficient blood perfusion
- Time of event
- Duration
- The parameters of the oximeter can be set through the following menu.

- Patient type setting. Including adult children
- Response speed setting. Including Rapid,Normalslow
- Sensitivity setting. Including: low,Middle,High.
- Delete all Historical Data
- Device search list
Product Specification
Specification of host
- The product uses an internal power supply.
- Power requirements: 2 AAA batteries
- Liquid inlet protection degree: IP22
- Operation mode: run continuously
- Electrical safety classification: BF type application part
- Not suitable to use in places with flammable anesthetic gas.
- Normal working conditions: ambient temperature range: 10 ~ 40 ℃ (50 ~ 104℉); ambient humidity
range: 15% ~ 95% non condensing; atmospheric pressure range: 70kPa ~ 106kpa - Storage environment: environment temperature range: – 20 ~ 60 ℃ (-4 ~ 140℉); environment humidity
range: 15% ~ 95%, non condensing; atmospheric pressure range: 50kPa ~ 107.4kpa - Physical dimension: 61.8×34.2×33.9mm
- Product weight: About 50g (including battery)
- Parameters of the LED light source
- Data shall be refreshed within two seconds. The average time of data is set in accordance with 3.5.7 and data in set average time will be selected and averaged.
| Light Source | Central Wavelength | Radiant Power |
| Red light | 660nm | <15mW |
| Infrared light | 905nm | <15mW |
List of Functions
| List of Functions | OX201 |
| Measurement of blood oxygen saturation | √ |
| Measurement of pulse rate | √ |
| Low battery indication | √ |
| Display of pulse histogram | √ |
| Display of perfusion intensity | √ |
| Turn off automatically in eight(8) seconds if there is no finger | √ |
| Bluetooth connectivity | √ |
| Waveform display | √ |
Performance Index
- Measurement scope and accuracy of blood oxygen saturation Measurement range: 1%~100%. Within measurement range of 70%~100%, the measurement accuracy is ±2%
- Measurement range: 25 bpm~100bpm. The measurement accuracy is ±2bpm.
Measurement range: 101 bpm~250bpm. The measurement accuracy is ±2%bpm. - Measurement scope and accuracy of respiratory measurement The measurement scope of respiratory rate
is between 4rpm~70rpm with measurement accuracy not specified.
Maintenance
Regular maintenance is of great importance to ensure the normal operation of equipment.
Caution:
- All safety inspection or maintenance work of equipment to be disassembled shall be carried out by
professional maintenance personnel, and the non-professional personnel may cause equipment failure. - If there is any problem with the equipment, please contact the maintenance personnel or our company.
Cleaning and Disinfection
- Clean the surface of the Pulse Oximeter before it is used for patients.
- Shut down the equipment and take out batteries.
- Clean the silica gel (inside face of the Pulse Oximeter, which can be contacted by a finger when normal use) by
wetting a small piece of cloth with isopropyl alcohol—75% medical alcohol. - Then dry the Pulse Oximeter with a dry, soft cloth.
Maintenance
The design life of the product is 3 years. Please maintain the equipment as follows:
- Clean and disinfect the equipment according to this instruction before using.
- Replace batteries in time when the low battery indicator appears.
- Take out batteries if the equipment will not be used for a long time.
- The equipment shall be stored indoor, with a temperature at – 20 ~ + 60 ℃ (-4 ~ 140℉), relative humidity no higher than 95%, free of corrosive gas and good ventilation. Moisture and light may affect the service life of the equipment, and even cause equipment damage.
Troubleshooting
Only professional maintenance personnel is allowed to disassembled the Pulse Oximeter. There are no parts
inside the equipment to be adjusted.
| Malfunction | Possible Cause | Solution |
| Unable to turn on the equipment | Low or dead battery | Replace batteries |
| No install batteries correctly | Install batteries correctly and ensure correct polarity | |
| Equipment is damaged | Contact the local customer service center | |
| Blood oxygen saturation or pulse rate fail to display | Not insert fingers correctly | Put fingers correctly |
| The patient’s finger are too thin, resulting in light leakage. | Put a thicker finger | |
| The patient’s finger is cold so that the blood perfusion is too low. | Keep the finger warm and put another finger for measurement. | |
| nail polish or manicure | Remove nail polish or manicure | |
| Unstable display of blood oxygen saturation or pulse rate | No insert finger deep enough | Put the finger correctly |
| Movement interfaces signal | Stay still | |
| LED goes out suddenly | The product is designed to shut down automatically when no signs is detected. | Normal |
| Low battery | Replace battery |
Accessories
- One pulse Pulse Oximeter
- Two batteries(optional)
- One manual
EMC Specification
The instructions for use shall include the following:
- (a statement of the environments for which the Pulse oximeter is suitable. Relevant exclusions, as
determined by RISK ANALYSIS, shall also be listed, e.g. hospitals except for near active HF SURGICAL
EQUIPMENT and the RF shielded room of an ME SYSTEM for magnetic resonance imaging, where the intensity
of EM DISTURBANCES is high.) - (the performance of the Pulse oximeter that was determined to be ESSENTIAL PERFORMANCE and a
description of what the OPERATOR can expect if the ESSENTIAL PERFORMANCE is lost or degraded due to
EM DISTURBANCES (the defined term “ESSENTIAL PERFORMANCE” need not be used). - (a list of all cables and maximum lengths of cables (if applicable), transducers and other ACCESSORIES
that are replaceable by the RESPONSIBLE ORGANIZATION and that are likely to affect compliance of the ME
EQUIPMENT or ME SYSTEM with the requirements of Clause 7 (EMISSIONS) and Clause 8 (IMMUNITY).
ACCESSORIES may be specified either generically (e.g. shielded cable, load impedance) or specifically (e.g. by
MANUFACTURER and MODEL OR TYPE REFERENCE).)
WARNING:- a warning statement to the effect that “WARNING:
Use of this equipment adjacent to or stacked with other equipment should be avoided because it could result in improper operation. If such use is necessary, this equipment and the other equipment should be observed to verify that they are operating normally. - a warning statement to the effect that “WARNING:
Use of accessories, transducers and cables other than those specified or provided by the manufacturer of this n the Pulse oximeter could result in increased electromagnetic emissions or decreased electromagnetic immunity of this equipment and result in improper operation - a warning statement to the effect that: “WARNING:
Portable RF communications equipment (including peripherals such as antenna cables and external antennas) should be used no closer than 30 cm (12 inches) to any part of the Pulse oximeter, including cables specified by the manufacturer. Otherwise, degradation of the performance of this equipment could result
- a warning statement to the effect that “WARNING:
Guidance and manufacturer´s declaration – electromagnetic emission –
for all EQUIPMENT AND SYSTEMS
| Guidance and manufacturer´s declaration – electromagnetic emission | ||
| The Pulse oximeter is intended for use in the electromagnetic environment specified below. The customer or the user of Pulse oximeter should assure that it is used in such an environment. | ||
| Emissions test | Compliance | Electromagnetic environment – guidance |
|
RF emissions CISPR 11 |
Group 1 | The Pulse oximeter uses RF energy only for its internal function. There for, its RF emissions are very low and are not likely to cause any interference in nearby electronic equipment. |
| RF emissions CISPR 11 | Class B | The Pulse oximeter suitable for use in all establishments, including domestic establishments and those directly connecte d to the public low-voltage power supply network that supplies buildings used for domestic purposes. |
| Harmonic emissions IEC 61000-3-2 | Not applicable | |
|
Voltage fluctuations flicker emissions IEC 61000-3-3 |
Not applicable | |
| Guidance and manufacturer´s declaration – electromagnetic immunity | |||
| The Pulse oximeter is intended for use in the electromagnetic environment specified below. The customer or the user of the Pulse oximeter should assure that it is used in such an environment. | |||
| Immunity test | IEC 60601 test level | Compliance level | Electromagnetic environment – guidance |
| Electrostatic discharge (ESD)
IEC 61000-4-2 | ± 8 kV contact
± 2 kV, ± 4 kV, ± 8 kV, ± 15 kV air |
± 8 kV contact
± 2 kV, ± 4 kV, ± 8 kV, ± 15 kV air | Floors should be wood, concrete or ceramic tile. If floors are covered with synthetic material, the relative humidity should be at least 30 %. |
| Electrostatic transient / burst
IEC 61000-4-4 | ± 2 kV for power supply lines
± 1 kV for input/output lines |
N/A | Mains power quality should be that of a typical commercial or hospital environment. |
| Surge IEC 61000-4-5 | ± 1 kV differential mode
± 2 kV common mode | N/A | Mains power quality should be that of a typical commercial or hospital environment. |
| Voltage dips, short interruptions and voltage variations on power supply input lines
IEC 61000-4-11 | 0 % UT; 0,5 cycle g) At 0°, 45°, 90°, 135°, 180°, 225°, 270°and 315°
0 % UT; 1 cycle and 70 % UT; 25/30 cycles Single phase: at 0°
0 % UT; 250/300 cycle |
N/A | Mains power quality should be that of a typical commercial or hospital environment. If the user of the Pulse oximeter requires continued operation during power mains interruptions, it is recommended that the Pulse oximeter be powered from an uninterruptible power supply or a battery. |
| Power frequency (50/60 Hz) magnetic field
IEC 61000-4-8 |
30 A/m |
30 A/m | Power frequency magnetic fields should be at levels characteristic of a typical location in a typical commercial or hospital environment. |
NOTE: UT is the a. c. mains voltage prior to application of the test level.
| Guidance and manufacturer´s declaration – electromagnetic immunity | |||
| The Pulse oximeter is intended for use in the electromagnetic environment specified below. The customer or the user of the Pulse oximeter should assure that it is used in such an environment. | |||
| Immunity test | IEC 60601 test level | Compliance level | Electromagnetic environment – guidance |
| 3 Vrms | N/A | Portable and mobile RF communications equipment should be used no closer to any part of the Pulse oximeter, including cables, than the recommended separation distance calculated from the equation applicable to the frequency of the transmitter.
Recommended separation distance
where p is the maximum output power rating of the transmitter in watts (W) according to the transmitter manufacturer and d is the | |
| Conducted RF | |||
| 150 kHz to 80 MHz | |||
| IEC 61000-4-6 | 10 V/m | ||
| 6 V in ISM and | |||
| amateur radio bands | 80 MHz to 2.7 GHz | ||
| between 0,15 MHz | |||
| and 80 MHz | |||
| Radiated RF | 385MHz-5785MHz | ||
| Test specifications | |||
| IEC 61000-4-3 | 10 V/m | for ENCLOSURE | |
| PORT IMMUNITY | |||
| 80 MHz to 2.7 GHz | to RF wireless | ||
| communication | |||
| equipment (Refer to | |||
| 385MHz-5785MHz | table 9 of IEC | ||
| Test specifications | 60601-1-2:2014) | ||
| for ENCLOSURE | |||
| PORT IMMUNITY | |||
| to RF wireless | |||
| communication | |||
| equipment (Refer to | |||
| table 9 of IEC | |||
| 60601-1-2:2014) | |||
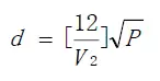
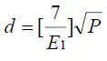
| recommended separation distance in metres (m).b
Field strengths from fixed RF transmitters, as determined by an electromagnetic site survey,a should be less than the compliance level in each frequency range.b
Interference may occur in the vicinity of equipment marked with the following symbol:
| |||
| NOTE 1 At 80 MHz and 800 MHz, the higher frequency range applies. NOTE 2 These guidelines may not apply in all situations. Electromagnetic is affected by absorption and reflection from structures, objects and people. | |||
| a The ISM (industrial, scientific and medical) bands between 150 kHz and 80 MHz are 6,765 MHz to 6,795 MHz; 13,553 MHz to 13,567 MHz; 26,957 MHz to 27,283 MHz; and 40,66 MHz to 40,70 MHz. The amateur radio bands between 0,15 MHz and 80 MHz are 1,8 MHz to 2,0 MHz, 3,5 MHz to 4,0 MHz, 5,3 MHz to 5,4 MHz, 7 MHz to 7,3 MHz, 10,1 MHz to 10,15 MHz, 14 MHz to 14,2 MHz, 18,07 MHz to 18,17 MHz, 21,0 MHz to 21,4 MHz, 24,89 MHz to 24,99 MHz, 28,0 MHz to 29,7 MHz and 50,0 MHz to 54,0 MHz. b Field strengths from fixed transmitters, such as base stations for radio (cellular/cordless) telephones and land mobile radios, amateur radio, AM and FM radio broadcast,s and TV broadcasts cannot be predicted theoretically with accuracy. To assess the electromagnetic environment due to fixed RF transmitters, an electromagnetic site survey should be considered. If the measured field strength in the location in which thePulse oximeter is used exceeds the applicable RF compliance level above, the Pulse oximeter should be observed to verify normal operation. If abnormal performance is observed, additional measures may be necessary, such as reorienting or relocating the Pulse oximeter. c Over the frequency range 150 kHz to 80 MHz, field strengths should be less than 3V/m. | |||
Recommended separation distances between portable and mobile
RF communications equipment and the EQUIPMENT or SYSTEM –
for EQUIPMENT and SYSTEMS
| Recommended separation distances between portable and mobile RF communications equipment and the Pulse oximeter | ||||
| The Pulse oximeter is intended for use in an electromagnetic environment in which radiated RF disturbances are controlled. The customer or the user of the Pulse oximeter can help prevent electromagnetic interference by maintaining a minimum distance between portable and mobile RF communications equipment (transmitters) and the Pulse oximeter as recommended below, according to the maximum output power of the communications equipment | ||||
| Rated maximum output of the transmitter W | Separation distance according to frequency of transmitter | |||
| 150 kHz to 80 MHz outside ISM and amateur radio bands | 150 kHz to 80 MHz in ISM and amateur radio bands | 80 MHz to 800 MHz
| 800 MHz to 2.7 GHz | |
| 0.01 | 0.12 | 0.20 | 0.035 | 0.07 |
| 0.1 | 0.38 | 0.63 | 0.11 | 0.22 |
| 1 | 1.2 | 2.00 | 0.35 | 0.70 |
| 10 | 3.8 | 6.32 | 1.10 | 2.21 |
| 100 | 12 | 20.00 | 35 | 70 |
| For transmitters rated at a maximum output power not listed above the recommended separation distance d in metres (m) can be estimated using the equation applicable to the frequency of the transmitter, where P is the maximum output power rating of the transmitter in watts (W) according to the transmitter manufacturer.
NOTE 1 At 80 MHz and 800 MHz, the separation distance for the higher frequency range applies.
NOTE 2 These guidelines may not apply in all situations. Electromagnetic propagation is affected by absorption and reflection from structures, objects and people. | ||||
FCC Statement
This device complies with part 15 of the FCC Rules. Operation is subject to the following two conditions: (1) This device may not cause harmful interference, and (2) this device must accept any interference received, including interference that may cause undesired operation.
Any changes or modifications not expressly approved by the party responsible for compliance could void the user’s authority to operate the equipment.
This equipment should be installed and operated with a minimum distance of 0mm between the radiator and your body.
This equipment has been tested and found to comply with the limits for a Class B digital device, pursuant to Part 15 of the FCC Rules. These limits are designed to provide reasonable protection against harmful interference in a residential installation. This equipment generates uses and can radiate radio frequency energy and, if not installed and used in accordance with the instructions, may cause harmful interference to radio communications. However, there is no guarantee that interference will not occur in a particular installation. If this equipment does cause harmful interference to radio or television reception, which can be determined by turning the equipment off and on, the user is encouraged to try to correct the interference by one or more of the following measures:
- Reorient or relocate the receiving antenna.
- Increase the separation between the equipment and receiver.
- Connect the equipment into an outlet on a circuit different from that to which the receiver is connected.
- Consult the dealer or an experienced radio/TV technician for help.
Dongguan Lingxin Technology Co., LTD
Address: Room 301,No.3 Liantang Road,aoshitang,Dongcheng Street,Dongguan City,Guangdong
Province,China.
Tel: +86 189 2646 3069
Email:[email protected]
MADE IN CHINA
Name: MedPath GmbH
Address: Mies-van-der-Rohe-Strasse 8, 80807 Munich, Germany
Telephone: +49(0)89 189174474
Fax: +49(0)89 5485 8884
E-Mail: [email protected]

Safety Information





button to see historical hypoxemia occurrence time 

























