yuwell YX110 Finger Pulse Oximeter

Warning and Caution
Safety
- Warning, Do not modify this equipment without authorization of manufacturer.
- Warning, Keep away from the wet medical equipment such as drip or other similar liquid simulation as far as possible.
- Warning, Check the sensor site every half an hour to ensure adequate blood circulation, intact skin, and appropriate sensor location. Otherwise, it may cause skin damage, compressive necrosis, or inaccurate measurement readings.
- Warning, With the increasing number of radio devices or other noise sources from electric equipment in health care departments , our product may be interrupted when working because of their interference. The closer the distance between each other is or stronger the signal is, the more serious the interference will be.
The electromagnetic interference sources in health care departments may include:- Electronic surgical instruments communications equipment
- Mobile Phones
- Automotive two-way wireless communications equipment
- Electronic apparatus
- High-definition television
In this interference, the measurement values may deviate, or the device may not work.
When interfered, the product may produce abnormal phenomenon: unstable reading values, outages or other functions of error. If such a case, the use of the site should be checked to identify interference and the elimination of the following measures:- Shut down the equipment in the vicinity and then re-open in order to identify interference equipment;
- To change the direction or location of the interference equipment;
To increase the distance between the product and interference sources.
- Warning ,Do not put the battery close to the fire or into the fire to avoid the battery explosion. Do not use the battery when it leaks or molds.
- Warning, Device conforms to the requirement of RoHS directive.
- Warning, Device application component materials are certified for biological compatibility.
- Warning, Do not leave the oximeter unattended around children or infants. Small items such as the battery door, battery, and lanyard may become choking hazards if swallowed. Infants or children may be entangled in the lanyard, thus causing strangulation.
- Warning, Do not stare at the light (the infrared is invisible) which emitted from the oximeter ,which is harmful to the eyes.
- Warning, Do not use the oximeter for purposes other than its intended use. Do not place the oximeter on edema or fragile tissues.
- Warning, Do not use the oximeter close to a permanent magnet.
- Warning, Do not use the finger pulse oximeter in an MRI or CT environment.
- Warning, Do not use the finger pulse oximeter during defibrillation and electrosurgery.
- Warning, Do not use the finger pulse oximeter in the presence of flammable anesthetics or other flammable substances, oxygen-enriched environments, or nitrous oxide to avoid the risk of explosion.
- Caution ,When using this product, you only need to fix it on your fingers. Excessive pressure on your fingers may cause skin damage.
- Caution, The maximum skin surface temperature is below 41℃(106℉) when measured in a 35℃(95℉)environment, which has been verified by measuring the skin surface temperature via a Finger Pulse Oximeter under the reasonable worst conditions.
- Caution, Please pay attention to product storage to prevent damage caused by pets, pests or children.
Performance: - Warning, Do not self-diagnose or self-medicate based on measurement results. It must be used in conjunction with other methods of assessing clinical signs and symptoms.
- Warning, Do not use the the finger pulse oximeter in situations where alarms are required. The device has no Alarm System.
- Warning, The effect of sensor and electrode degradation or electrode loosening may reduce the performance of the measurement or cause other problems.
- Warning ,The thickness of the little finger may be smaller than the minimum size range for which this product is designed, so we recommend using index finger, middle finger and ring finger instead of small finger.
- Warning, Do not use the oximeter if it shows signs of damage or is suspected of being damaged. Inaccurate or no readings may result from internal damage.
- Warning, Avoid the following to reduce the risk of SpO2 inaccuracy:
- Improper placement of the oximeter.
- Significant levels of dysfunctional hemoglobin (such as carbonyl hemoglobin or methemoglobin);
- Blood vessels contain dyes (such as indigo green or methylene blue).
- External paints and substances (e.g. nail polish, nail polish, glitter, etc.).
- The user is wearing a high-pressure cuff when measuring.
- Avoid placing the oximeter on any arm with an arterial cannula or blood pressure cuff.
- Elevated bilirubin levels. Severe anemia.
- Venous congestion. Venous pulsation.
- Arterial perfusion levels are extremely low.
- Excessive physical activity.
- During cardiac arrhythmia.
- Warning, Keep the oximeter away from electrical equipment that emits radio frequencies to minimize radio interference. RF may result in inaccurate or inaccurate readings.
- Warning, Properly apply and avoid using the oximeter in strong ambient light sources, fluorescent lights, infrared heat lamps, and direct sunlight to minimize interference that may result in unreadable or inaccurate readings.
- Caution, The display may not read clearly when exposed to direct sunlight or bright light.
- Caution ,Do not use a functional tester to evaluate the accuracy of the Finger Pulse Oximeter. The functional tester shall only be used to check whether a unit is working properly.
- Caution,SpO2 is empirically calibrated in healthy adult volunteers with normal levels of carboxyhemoglobin(COHb) and methemoglobin(Met Hb).
- Caution, Please replace the battery when a low battery remind appears.
Maintenance and others: - Warning, Please do not repair and maintain the equipment during use.
- Warning ,When discarding components ( including the batteries) or this product, follow local regulations to avoid contamination.
- Warning, The device has been calibrated before leaving the factory. Except replacing batteries, devices do not require routine maintenance and calibration, etc. Daily measure ten times, ten minutes every time, devices can be used for five years.
- Warning ,Please use Two AAA 1.5V alkaline batteries, using other batteries may damage the device. Please use Please replace two batteries at the same time to avoid mixing batteries with different power levels.
- Caution, This product can be operated by the patient, or by others to measure the patient’s PR and SpO2. The maintenance, operation and maintenance methods are the same.
This product contains batteries and recyclable electronic waste. To protect the environment, do not dispose of it in the household waste, but take it to appropriate local collection points.
General Description
Oxyhemoglobin saturation is percentage of Oxyhemoglobin (O2Hb) capacity, compounded with oxygen, by all comb initiable hemoglobin (Hb) Oxyhemoglobin (O2Hb) capacity in blood. In other words, it is consistence of Oxyhemoglobin in blood. It is a very important ecological parameter for Respiratory Circulation System. Many respiratory diseases can result in oxyhemoglobin saturation being lowered in human blood. Moreover, the following factors can also lead to problems in oxygen supply, so that human oxyhemoglobin saturation might be reduced: Automatic Organic Regulation Malfunction caused by Anesthesia, intensive Postoperative Trauma, hurts resulted in by some medical examination and etc. In the situation, illnesses, such as dizziness, asthenia, emesis and etc, might happen to patients and even endanger the patient’s life. Therefore, it is very important to know oxyhemoglobin saturation of patient timely in clinical medical aspects. So that doctors can find problems in time.
The YUWELL® Finger Pulse Oximeter features in small volume, low power consumption, convenient operation and portable. It is only necessary for patient to put one of his fingers into a fingertip photoelectric sensor for measurement, and then the screen will display the measured value of pulse oxygen saturation and pulse rate. It has been proved in clinical experiments that it features in rather high precise and repeatability.
Measurement Principle
Principle of the Oximeter is as follows:
An experience formula of data process is established taking use of Lambert Beer law according to Spectrum Absorption Characteristics of deoxyhemoglobin (HHb) and Oxyhemoglobin (O2Hb ) in glow and near-infrared zones. Operation principle of the instrument is Photoelectric
Oxyhemoglobin Inspection Technology is adopted in accordance with Capacity Pulse Scanning and Recording Technology, so that two beams of different wavelength of light (red light and infrared light) can be focused onto human nail tip through perspective clamp finger-type sensor. Then measured signal can be obtained by a photosensitive element, information acquired through which will be shown display through process in electronic circuits and microprocessor.
Equipment Symbols and explain
| Symbol | Definitions | Symbol | Definitions |
| Caution | ![]() | MR Unsafe items should not enter the MRI scanner room. | |
| Serial number | ![]() | Refer to instructions manual (Background: Blue; Symbol: White) | |
| Recyclable | ![]() | Date of manufacture | |
![]() | Batteries and electronic instruments must be disposed of in accordance with the | Protection from ingress of particulates than ≥12.5mm. Dripping water falling within 15° of vertical will not have a harmful effect on the pulse oximeter per IEC |
| locally applicable regulations , not with domestic waste | 0529 | ||
![]() | Use-by date | The device has no Alarm System | |
![]() | Type BF applied part | ![]() | Humidity limitation |
![]() | Manufacturer | ![]() | Atmospheric pressure limitation |
![]() | Medical device | Pulse rate (bpm:1/min) | |
| Temperature limit | Rx only | For prescription use | |
| The Pulse Oxygen Saturation(%) | ![]() | This way up | |
![]() | Keep dry | ![]() | Fragile, handle with care |
![]() | Bluetooth |
Indication for Use
Intended use: The YUWELL® Finger Pulse Oximeter is a non-invasive, non-sterile, reusable, spot checking device which can measure and display SpO2 and pulse rate through finger. It is intended for adults and children (weight > 30kg) and is expected for home and hospital inspection. The device is not for continuous monitoring, use during motion or for patients with low perfusion.
Contraindications: None.
Signal undetected
Signal inadequacy
(eg: 1.Finger is out. 2.Device fault )
Figure 2 Wave signal undetected
Display

Technical Parameters
- Display Type: LED
SpO2 Display range: 0%~100%.
Pulse Rate Display range: 25bpm~250bpm. - Power: Two AAA 1.5V alkaline batteries.
- Working Current: Less than 40mA at rated voltage 3V.
- Measurement accuracy- in the absence of movement:
SpO2 ACCURACY (Arms) Range Arms 90% to 100% ±2% 80% to 90% 70% to 80% <70% No definition Note: The accuracy(Arms) is calculated by the measurement values after a statistical distribution ;compared to the reference device in a control study, approximately
2-thirds of the values were at(over or below) the accuracy(Arms) value.
Pulse rate: 25bpm~250bpm, accuracy(Arms): ±1% or ±1bpm(larger) - Anti-interference ability of ambient light: Deviation in blood oxygen content is less than ± 1% when measured under indoor nature light / existing lighting and measured in the dark room.
- The product will automatically shut down when there is no signal detected for about eight seconds.
- Dimension(YX110):60mm*38mm*35mm(LW H),Weight:38g approximately (without batteries).
- Working Environments: Ambient temperature:
5℃~40℃; Relative humidity: ≤80%;
Atmospheric pressure: 860hPa~1060hPa. - Operation mode: Continuous operation.
- Device response time.(See Figure 4)
- Peak wavelengths and light output power:
Emission wavelength range 600nm-1000nm, radiation intensity is less than 15mW/sr (20mA).
Information of wavelength range may be of especial use to clinical doctors. - Description of the effect on displayed and transmitted SpO2 and Pulse rate data value:
- data averaging and other signal processing.
- the data update period:≤3 pulse rate cycles, less than 30s.
Note: Data processing and update will not affect pulse rate and SpO2.
- The pulse waveform has been normalized, the measurement value is the best when the waveform is smooth and stable.
- Internally Powered ME Equipment
- TYPE BF APPLIED PARTS
- Degrees of protection provided by enclosures (IP code):IP22.
- Description of oximeter application management YX110 is equipped with Bluetooth function. Bluetooth communication protocol module enables the oximeter to be equipped with Bluetooth connection and the function of date exchange ,which does not involve patient privacy, mainly including pulse rate, blood oxygen and other information.


Technical Description
- Determination of Oxygen Saturation Accuracy
The claimed oxygen saturation is supported by coverage of the entire range of clinical research measurements. - Data Collection
In the clinical test process, data points are recorded with comparable density in the entire claimed range. - Data Analysis
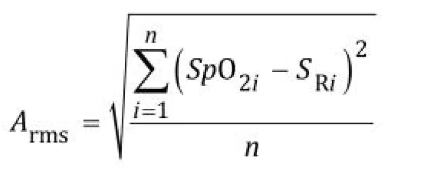
For each claimed range, the oxygen saturation accuracy of the Pulse Oximeter should be represented in the form of mean root square of the difference between the measured values of oxygen saturation and the reference value.
The formula is as follows:
Arms: accuracy.
n: test sample quantity.
SpO2i : measured value of pulse oxygen saturation during the first measurement using the finger pulse Oximeter.
SRi: reference value of pulse oxygen saturation during the itch measurement using the carbon-monoxide-blood-gas analyzer. - Characteristics of Population under Clinical Research
The group of healthy adult volunteers for the study consisted of 12 subjects – 4 women and 8 men, The ages ranged from 18 to 50 years. The subject weights ranged from 48 to 90kg. The subject Height ranged from 160 to 182cm. The Skin tones included in the study were as follows: 3 subjects with dark pigmentation, 5 subject with very light pigmentation. The remaining subjects with light (medium) skin tones of Asian origins. - Graphical Plot of SaO2 versus error (SpO2 – SaO2)

- The technology used in Finger Pulse Oximeter has been verified with accuracy when there is no motion via human blood studies on healthy volunteers of both male and female with light to dark pigmented skin in induced hypoxia studies in the range of 70%-100% SpO2 against a laboratory co-oximeter.
- The technology used in Finger Pulse Oximeter has been verified with the pulse rate accuracy of 25-250bpm range in the bench top test against Fluke Index 2 simulator and the Finger Pulse Oximeter.
Product Properties
- Operation of the product is simple and convenient.
- The product is small in size, light in weight and portable.
- The product can operate continuously for 17 hours with two brand new AAA batteries. (The operation time may vary due to the different performance of batteries)
- Low voltage prompt will appear on the display when the battery voltage is lower than the minimum value of normal working voltage range.
- The product will automatically shut down when there is no signal detected for about eight seconds.
Product Operation Scope
The YUWELL® Finger Pulse Oximeter is designed for fingers(not thumb) between 0.3 and 0.9 inch (0.8-2.3cm) thick. And the finger shall be inserted into the sensor position which is in the middle of the device.
The Finger Pulse Oximeter is NOT design for newborns and infants.
Product Operation Steps
- Install two AAA batteries into battery cassette before closing the cover.
- Nip the clamp as diagram to the largest.(See Figure )
- Plug one finger into rubber hole of the Oximeter (it is best to plug the finger thoroughly) before releasing the clamp.
- Do not tremble while the oximeter is working. It’s better that the whole body be in still status.
Note: For normal use after long interruptions, refer to the product operation steps. - Read corresponding data from display screen.

Battery Installation
- Pull the battery cover horizontally.
- Put two AAA batteries into battery cassette in right polarities and push the cover back.
Notes: Battery polarities must be correct. Otherwise, damage might occur to device.
Please put or remove batteries in right order, or it will damage the device bracket. Please remove the battery if the oximeter is not used for long time. - Install as the figures show. (See Figure)
Remove the battery from the product if it is not required for extended periods of time in order to avoid damage to the oximeter resulting from a leaking battery.
Do not use the new batteries with the old ones. Alkaline battery of long service is recommended, and do not use rechargeable batteries.
Lanyard installation
- Thread thinner end of the lanyard through the hanging hole.
- Thread thicker end of the lanyard through the threaded end before pulling it tightly.
- Install as the figures show. (See Figure)

Maintenance and Storage
- Under normal conditions there is no need for special protection and maintenance when using, please pay attention to the following points:
- Caution: Using oximeter in required environment.
- Caution: Avoid direct sunlight .
- Caution: Avoid extreme infrared radiation or ultraviolet radiation.
- Caution: Avoid organic solvent vapors, dust, and corrosive gas .
- Transportation and storage conditions:
- Temperature range: –20℃~+55℃
- Relative humidity: ≤93%, no condensation
- Atmosphere pressure: 500hPa~1060hPa
- It is recommended that the product should be kept in a dry environment anytime. Moisture might affect its lifetime and even damage the product.
Cleaning and disinfecting
- This product is a reusable non-sterile device. Please clean and disinfect according to the following methods.
Warning:- Never immerse or soak the oximeter.
- We recommend cleaning and disinfecting the oximeter before or after each use, or in accordance with the policies established by the hospital, to avoid long-term damage to the oximeter and avoid cross-infection.
- Never use cleaning agents/disinfectants other than the recommended.
- The sensor component is not cleaned and disinfected during testing.
- Avoid the use of metals such as steel wire brush or polishing agent abrasive material which will damage the oximeter panel .
- Cleaning
The recommended cleaning agents include: water- Shut down the finger pulse oximeter and remove the battery.
- Clean the oximeter with cotton or soft cloth moistened with water.
- After cleaning, wipe off the water with a soft cloth.
- Allow the oximeter to air dry.
The most commonly used hospital cleaning and non-corrosive liquid detergent can be used to clean the oximeter. Pay attention to diluting cleaning detergent before use, following the manufacturer’s instructions.
Avoid the use of ethanol-based, amino-or acetone-based cleaning agent.
Oximeter shell should be maintained from dust pollution, use a soft cloth or lint-free cleaning agent with the sponge to wipe. Make sure no liquid will enter into the equipment.
- Disinfecting
The recommended disinfectants include: ethanol 70%, isopropanol 70%- Shut down the finger pulse oximeter and remove the batteries.
- Clean the oximeter as instructed above.
- Disinfect the oximeter with cotton or soft cloth moistened with one of the recommended disinfectants.
- After disinfection, be sure to wipe off the disinfectant left on the oximeter with a soft cloth moistened with water.
- Allow the oximeter to air dry.
Possible cases and solutions
Warning:
Caution: Oximeter cover can only be opened by a professional maintenance staff. No internal parts require opening by end users.
- If you are not sure about the measurement precision, please use other methods to check patient’s pulse, to determine whether oximeter works.
Note: Do not splash, dump any liquid into the oximeter and attachments, switch and connections, which may damage the oximeter.
| Problems | Possible reason | Solution |
| SpO2 or PR can not be shown normally | 1.Put finger incorrectly | 1.Try again |
| 2.Not used according to recommended steps | 2.Try some more times, if you can make sure about no problem exiting in the product, please go to a hospital timely for exact diagnosis. | |
| 3.Nail polish or paste manicure | 3.Remove the nail polish or discharge manicure when measuring. | |
| SpO2 or PR is shown unstably | 1.Finger might not be plugged deep enough | 1.Retry by plugging the finger |
| 2.Finger is trembling or patient is in movement status. | 2.Try not to move | |
| The finger pulse oximeter can not power on | 1.Power of batteries might be inadequate or not be there at all | 1.Please replace batteries |
| 2.Batteries might be installed incorrectly | 2.Please reinstall the batteries | |
| 3.The finger pulse oximeter might be damaged | 3.Please contact with local customer service center | |
| Indication lamp are suddenly off | 1.The product is automatically powered off when no signal is detected longer than 8 seconds | 1.Normal |
| 2.Battery Low | 2.Replace the batteries |
Electromagnetic interference
The EMC environment for this product is the home healthcare environment and professional healthcare facility environment.
The essential performance of this product is the accuracy of SpO2 and pulse rate
(SpO2 Accuracy: ±2% in the range of 70%-100% of SpO2, No definition for SpO2 under 70%;Pulse rate: 25bpm~250bpm, accuracy: ±1% or ±1bpm(larger)). When used directly near strong electromagnetic interference (for example: near mobile phones, microwave ovens, etc.), it may be temporarily inaccurate. If so, please keep the product away from interfering devices.
The finger pulse oximeter may exhibit temporary degradation of performance (e.g. deviation from the performance indicated in the instructions for use during IMMUNITY testing) and the finger pulse oximeter can recover from any interference within 30 seconds without affecting basic safety or performance without operator intervention. The following degradations, if associated with BASIC SAFETY or ESSENTIAL PERFORMANCE shall not be allowed:
- component failures;
- changes in programmable parameters or settings;
- reset to default settings; and
- change of operating.
During measurement, The use of this equipment adjacent to or stacked with
other equipment should be avoided because it could result in improper operation. If such use is necessary, this equipment and the other equipment should be observed to verify that they are operating normally.
During measurement, portable RF communications equipment (including
peripherals such as antenna cables and external antennas) should be used no closer than 30 cm (12 inches) to any part of the finger pulse oximeter, including cables specified by the manufacturer. Otherwise, degradation of the performance of this equipment could result.
| Test Reference Standard | Test Item | Result(Pass or Fail or N/A) |
| Emission Measurements | ||
| CISPR 11 | Conducted Emission | N/A |
| CISPR 11 | Radiated Emission | Pass |
| IEC/EN 61000-3-2 | Harmonic Current Emissions | N/A |
| IEC/EN 61000-3-3 | Voltage Fluctuations and Flicker | N/A |
| Immunity Measurements | ||
| IEC/EN 61000-4-2 | Electrostatic Discharge | Pass |
| IEC/EN 61000-4-3 | Radio-frequency Electromagnetic Field | Pass |
| IEC/EN 61000-4-4 | Fast transients, Common Mode | N/A |
| IEC/EN 61000-4-5 | Surges | N/A |
| IEC/EN 61000-4-6 | Radio-frequency Common Mode | N/A |
| IEC/EN 61000-4-8 | Power-frequency Magnetic Fields | Pass |
| IEC/EN 61000-4-11 | Voltage Dips and Interruptions | N/A |
Table 1 – For all ME EQUIPMENT and ME SYSTEMS
| Guidance and manufacture’s declaration – Radiated Emission | |
| Emissions test | Compliance |
| RF emissions CISPR 11 | Group 1 |
| RF emissions CISPR 11 | Class B |
Table 2 – For all ME EQUIPMENT and ME SYSTEMS
| Guidance and manufacturer’s declaration – Radiated Emission | |||
| Emissions test | IEC60601 test level | Compliance level | Result |
| 3 m | 3 m | ||
| RF emissions CISPR 11 | 40dB(μV/m) 30MHz-230MHz; 47dB(μV/m) | 40dB(μV/m) 30MHz-230MHz; 47dB(μV/m) | Pass |
| 230MHz-1000MHz | 230MHz-1000MHz | ||
Table 3 – For all ME EQUIPMENT and ME SYSTEMS
| Guidance and manufacturer’s declaration – Electrostatic Discharge | |||
| IMMUNITY test | IEC60601 test level | Compliance level | Result |
| Electrostatic discharge(ESD) IEC 61000-4-2 | ±2 , ±4, ±8, ±15 Air Discharge ±8 Contact Discharge | ±2 , ±4, ±8, ±15 Air Discharge ±8 Contact Discharge | Pass |
Table 4 – For ME EQUIPMENT and ME SYSTEMS that are not LIFE-SUPPORTING RS
| Guidance and manufacture’s declaration – Radio-frequency Electromagnetic Field | |||
| IMMUNITY test | IEC60601 test level | Compliance level | Result |
| Radiated RF IEC 61000-4-3 | 10 V/m 80 MHz to 2.7 GHz 80 % AM at 1 kHz | 10 V/m 80 MHz to 2.7 GHz 80 % AM at 1 kHz | Pass |
Table 5 – For all ME EQUIPMENT and ME SYSTEMS
| Guidance and manufacturer’s declaration – Power-frequency Magnetic Fields | |||
| IMMUNITY test | IEC60601 test level | Compliance level | Result |
| Power frequency (50/60Hz) magnetic field IEC 61000-4-8 | 30 A/m 50Hz or 60Hz | 30 A/m 50Hz and 60Hz | Pass |
Table 6 – Test specifications for ENCLOSURE PORT IMMUNITY to RF wireless communications equipment
| Test | Banda) | Service) | Modulation | Maximum | Distance | IMMUNITY |
| frequency (MHz) | (MHz) | power (W) | (m) | Test LEVEL (V/m) | ||
| 385 | 380-390 | TETRA 400 | Pulse modulation) 18 Hz | 1.8 | 0.3 | 27 |
| 450 | 430-470 | GMRS 460, FRS 460 | FMc) ±5 kHz deviation 1 kHz sine | 2 | 0.3 | 28 |
| 710 | 704-787 | LTE Band 13,17 | Pulse modulation) 217Hz | 0.2 | 0.3 | 9 |
| 745 | ||||||
| 780 | ||||||
| 810 | 800-960 | GSM 800/900, TETRA 800, ident 820,CDMA 850, LTE Band 5 | Pulse modulation) 18Hz | 2 | 0.3 | 28 |
| 870 | ||||||
| 930 | ||||||
| 1720 | 1700-19 00 | GSM 1800, CDMA 1900, GSM 1900 DECT; LTE Band 1,3,4,25;UMT S | Pulse modulation) 217Hz | 2 | 0.3 | 28 |
| 1845 | ||||||
| 1970 | ||||||
| 2450 | 2400-25 70 | Bluetooth, WLAN, 802.11 b/g/n RFID 2450, LTE Band 7 | Pulse modulation) 217Hz | 2 | 0.3 | 28 |
| 5240 | 5100-58 00 | WLAN 802.11 a/n | Pulse modulation) 217Hz | 0.2 | 0.3 | 9 |
| 5500 | ||||||
| 5785 | ||||||
| NOTE: If necessary to achieve the IMMUNITY TEST LEVEL, the distance between the transmitting antenna and the ME EQUIPMENT or ME SYSTEM may be reduced to 1 m. The 1 m test distance is permitted by IEC 61000-4-3. | ||||||
| a) For some services ,only the uplink frequencies are included. b) The carrier shall be modulated using a 50% duty cycle square wave signal. c) As an alternative to FM modulation,50% pulse modulation at 18 Hz may be used because while it dose not represent actual modulation, it would be worst case. | ||||||
FCC Statement
Any Changes or modifications not expressly approved by the party responsible for compliance could void the user’s authority to operate the equipment.
This device complies with part 15 of the FCC Rules. Operation is subject to the following two conditions:
- This device may not cause harmful interference, and
- This device must accept any interference received, including interference that may cause undesired operation.
FCC Radiation Exposure Statement:
The device has been evaluated to meet general RF exposure requirement. The device can be used in portable exposure condition without restriction.
Note : This equipment has been tested and found to comply with the limits for a Class B digital device, pursuant to part 15 of the FCC Rules. These limits are designed to provide reasonable protection against harmful interference in a residential installation. This equipment generates, uses and can radiate radio frequency energy and, if not installed and used in accordance with the instructions, may cause harmful interference to radio communications. However, there is no guarantee that interference will not occur in a particular installation. If this equipment does cause harmful interference to radio or television reception, which can be determined by turning the equipment off and on, the user is encouraged to try to correct the interference by one or more of the following measures:
- Reorient or relocate the receiving antenna.
- Increase the separation between the equipment and receiver.
- Connect the equipment into an outlet on a circuit different from that to which the receiver is connected.
- Consult the dealer or an experienced radio/TV technician for help.
Accessories
- Lanyard: 1 pc
- AAA batteries: 2 pcs
- User Manual, Warranty card: 1 pc
- APP Quick Usage Guide
After unpacking, check the items according to the accessories list, and check whether the oximeter is mechanically damaged. If you find any problems, please contact the local customer service center immediately.
During the warranty service, if you need to provide circuit diagrams, necessary materials, and if there are any problems with the maintenance of electrical circuits, please contact the manufacturer.
The device and accessories are provided non-sterile.
Warranty Card
Thank you very much for using our products.
Product name: Finger pulse oximeter
Model: YX110
S/N:
MFG.DATE:
JIANGSU YUYUE MEDICAL EQUIPMENT & SUPPLY CO., LTD.
Manufacturer Address:No.1 Banishing Road Development Zone, Danang, Jiangsu 212300 CHINA www.yuwell.com
Please reserve the warranty card carefully.
Manufacturer :JIANGSU YUYUE MEDICAL EQUIPMENT & SUPPLY CO.,LTD.
Manufacturer Address:No.1 Banishing Road Development Zone, Danang , Jiangsu 212300 CHINA
For information about any YUWELL product, please contact:www.yuwell.com
Due to the limited size of the label, the font is too small, please put it at a suitable location for viewing. All specifications and product configurations are subject to change without notification.


















Arms: accuracy.

Please put or remove batteries in right order, or it will damage the device bracket. Please remove the battery if the oximeter is not used for long time.


















