Graviton VL-850GI 2.5GHz E-O Converter User Manual
DANGER
This Unit is Class 1A LASER Product. Please read and handle this product carefully to avoid eye damage.
- Do not the power switch on till both ends of the fiber cable and the power cable are connected properly.
- Always keep the protect cap attached to the Optical Signal Output Connector when not in use.
- Do not observe inside of the Optical Signal Output Connector directly. It may result permanent damage on eyes.
- Do not observe optical signal output directly through an optical instrument such as magnifier etc.
- Do not observe optical signal from the end of the optical cable, if the signal is emitted into open air.
- Do not disassemble and/or modify this unit
Introduction
Thank you for purchasing VL-850GI.
VL-850GI is Electric to Optical signal converter and has following feature
- Very compact size and more than 0.2[mW] CW optical power at fiber end with no modulation.(With 5[m]length 50/125 fiber)
- Wide frequency range 100kHz~2.5GHz Flatness ±2[dBe]
- Standard FC optical connector (Optional SC and ST connector are also available)
- Standard BNC plug Able to connect directly to a sweep generator or a network analyzer etc.
- Able to get DC power from instruments through included Power Cable Assembly.
※It is not guaranteed that power cable corresponds to all instruments. - Able to use for instrumentation of lightwave products, optical links or other various applications with O/E converter, PD&PA series.
Please read this user’s manual carefully and use it appropriately according to this manual, will make this product useful for development of light wave equipments, lightwave communication converter or other various applications.
- Do not re-produce or re-publishing a part or all this manual without written permission from Graviton Inc.
- This manual is subject to change without notice.
- Please follow exporting regulations/rules in individual countries when exporting this product to other countries.
Contents of this package
The contents of this package are listed below.
Please contact immediately the shop you purchased this product, if there are any missing items found.
- E/O Converter
- Power Cable Assembly
- Auxiliary Power Connector
- User’s Manual(This Manual)
- Please keep original packaging, in case of re-shipping.
Front and rear panel view

- Power switch
This switch is for controlling power. Please on this switch after connecting power cable assembly to power connector(②) and keep this switch off when not in use. - Power input connector
The power can be supplied from probe power connector that equipped with an instrument through the Power Cable Assembly. Or, alternately, external regulated power supply (not included) can be used through the Auxiliary Power Connector. Power supply voltage for VL-850 is +15[V]. Applying over and/or wrong polarity may cause permanent damage. - Optical signal output connector
Light signal comes out from this FC connector. Optional SC and ST connecter models are also available. Please keep protect cap attached with this unit, to this connector to avoid light emission inadvertently when not in use. - Electrical modulation signal input connector
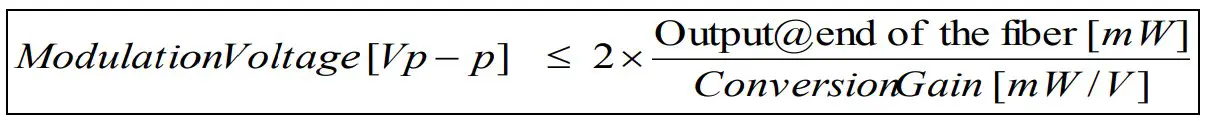
Modulation signal is supplied through this BNC connector and this unit has 50[Ω] input impedance. The modulation frequency range is 100[kHz] ~2.5[GHz]. - Adjust modulation level and frequency. Appropriate P-P modulation level is approximately 1/3 of conversion sensibility that is on the data sheet. Beyond this level makes the optical output signal lower than threshold level of Laser device causes clipping of the optical output signal. Applying higher than twice of the conversion sensibility may cause permanent damage.

- An external power supply is necessary, if an instrument going to use has no probe power output. The requirements for the power supply are regulated+15[V]±5[%] and capable of supplying more than 100[mA] current with low ripple and noise. And connect as following figure. Wrong power supply connection may cause permanent damage on the E/O converter. Please make sure the connection as RED Cable for Positive terminal, Black Cable for Ground Terminal and Blue Cable for Open Terminal.
Wrong power supply connection may cause permanent damage on the E/O converter. Please make sure the connection as RED Cable for Positive terminal, Black Cable for Ground Terminal and Blue Cable for Open Terminal.
+15V(RED) GND(BLACK) Open(BLUE) - Panel cutout size is as following to mount the Auxiliary Power Connecter on a panel, if necessary. Maximum allowable thickness of the panel is 5mm.

Setup

- First of all, connect the VL-850GI to output connector of an instrument.Conversion connector may be required, if the instrument has no BNC jack.
- Confirm power switch on VL-850GI is off then connect Power Cable Assembly supplied. Other side of the Power Cable can be connected to the instrument, if probe power connector is equipped. Please refer page 7 for connecting external power supply, if the instrument has no probe power connector.
- Connect fiber connector to optical signal output connector. CW optical power at fiber end with no modulation is more than 0.2[mW] with 50/125 GI fiber. Please use polished fiber of PC, SPC, UP, AdPC. Do not use APC polished fiber. Keep clean the end of the fiber. Quartz glass for reduction of return light in FC receptacle becomes dirty and will be broken, if dust goes into inside.
- Turn on the power switch. Do not the power switch on without optical fiber cable connect both ends properly.
Specifications
| VL-850GI | |
| VCSEL |
| 850±10[nm] |
- Output power with
More than 0.2[mW] @ end of the fiber. no modulation (50/125GI Fiber 5[m]length) - Optical Output Connector
FC receptacle(JIS F01) - Modulation signal input connector
BNC Plug, Optionally SMA is available - Input impedance
50[Ω] - Modulation Sensibility
High than 0.25[mW/V] - Modulation signal frequency range
100[KHz]~2.5[GHz] - Frequency response
±2[dBe] within the frequency range above(300[KHz]is reference point) - Power supply voltage
+15[V]±5[%] - Current consumption
Maximum 100[mA] - Operational temperature
5[℃]~35[℃] - Storage temperature
-20[℃]~50[℃] - Dimension
L 93[mm]、W 44[mm]、H 21[mm] (Including the protect cap etc.) - Weight:
110[g]
Optional
- OP01
SC or ST optical connecter equipped model (Specification of these model may change without notice.)
Contact to : Graviton Inc.
1-8-1 Kasuga-cho, IRUMA-SHI, SAITAMA, 358-0006 JAPAN
TEL:+81-4-2966-0816
FAX:+81-4-2966-0817
“GRAVITON” is trade mark of Graviton lnc. in Japan.
Copyright 2006 by Graviton Inc. All right reserved.
Never reproduce or republish without written permission.





















