User Manual
cnWave 60 GHz V5000 Distribution Node
Figure 236: Diagrammatic representation of IPv6 routes and traffic control
Unconnected PoPs
In a multi-PoP network, PoPs must be able to exchange openR packets either on wired or wireless path.
Otherwise, DNs might not receive the IPv6 address allocation and do not onboard to E2E Controller. This is due to when Controller sends the Prefix Allocation message to one of the PoPs and expects the message to reach other PoPs through openR.
In some cases, PoPs might be isolated temporarily, especially while building the network. Figure 237 is an example that shows two unconnected zones.
Figure 237: Unconnected zones due to isolated PoPs
To facilitate such a scenario, a new configuration parameter flags.enable_pop_prefix_broadcast has been introduced in this release. This parameter supports the following Boolean values:
- true – When the value of this parameter is set to true, E2E Controller sends the prefix allocation message to all PoPs individually.
- false -When the value of this parameter is set to false, E2E Controller sends the prefix allocation message to one of the PoPs.
The default value of this parameter is false (default setting).
Note
You must set this parameter’s flag to false when there is a wired or wireless path between PoPs.
You can modify the flags.enable_pop_prefix_broadcast parameter in the UI of 60 GHz cnWave.
To configure the parameter, perform the following steps:
- From the landing page of the device UI, navigate to Configuration > E2E Controller.
The E2E Controller page appears. The flags.enable_pop_prefix_broadcast parameter is available in the E2E Controller page, as shown in Figure 238.
Figure 238: The flags.enable_pop_prefix_broadcast parameter
- Modify the value of the parameter.
- Click Save to save the configuration changes.
Regulatory Information
This chapter provides regulatory notifications.
Caution
Intentional or unintentional changes or modifications to the equipment must not be made unless under the express consent of the party responsible for compliance. Any such modifications could void the user’s authority to operate the equipment and will void the manufacturer’s warranty.
The following topics are described in this chapter:
- Compliance with safety standards lists the safety specifications against which the 60 GHz cnWave family of ODUs has been tested and certified. It also describes how to keep RF exposure within safe limits.
- Compliance with radio regulations describes how the 60 GHz cnWave family of ODUs complies with the radio regulations that are in force in various countries.
Compliance with safety standards
This section lists the safety specifications against which the 60 GHz cnWave™ platform family is tested and certified. It also describes how to keep RF exposure within safe limits.
Electrical safety compliance
The 60 GHz cnWave platform family hardware is tested for compliance to the electrical safety specifications listed in following Safety compliance specifications table.
Table 52: Safety compliance specifications
| Region | Specification |
| USA | UL 62368-1, UL 60950-22 |
| Canada | CSA C22.2 No.62368-1, CSA C22.2 No. 60950-22 |
| Europe | EN 62368-1, EN 60950-22 |
| International | CB certified IEC 62368-1 Edition 2 IEC 60950 -22 |
Electromagnetic Compatibility (EMC) compliance
The EMC specification type approvals that are granted for 60 GHz cnWave platform family are listed in following table.
Table 53: EMC compliance
| Region | Specification |
| USA | FCC Part 15 Class B |
| Canada | RSS Gen |
| Europe/International | EN 301 489-1 V2.2.3, EN 301 489-17 V3.2.4 |
Human exposure to radio frequency energy
Relevant standards (USA and EC) applicable when working with RF equipment are:
- ANSI IEEE C95.1-2005, IEEE Standard for Safety Levels with Respect to Human Exposure to Radio
Frequency Electromagnetic Fields, 3 kHz to 300 GHz - Council recommendation of 12 July 1999 on the limitation of exposure of the general public to electromagnetic fields (0 Hz to 300 GHz) (1999/519/EC) and respective national regulations
- Directive 2013/35/EU – electromagnetic fields of 26 June 2013 on the minimum health and safety requirements regarding the exposure of workers to the risks arising from physical agents
(electromagnetic fields) (20th individual Directive within the meaning of Article 16(1) of Directive 89/391/EEC) and repealing Directive 2004/40/EC. - US FCC limits for the general population. See the FCC web site at http://www.fcc.gov, and the policies, guidelines, and requirements in Part 1 of Title 47 of the Code of Federal Regulations, as well as the guidelines and suggestions for evaluating compliance in FCC OET Bulletin 65
- Health Canada limits for the general population. See the Health Canada web site at https://www.canada.ca/en.html.
- EN 62232: 2017 Determination of RF field strength, power density and SAR in the vicinity of radiocommunication base stations for the purpose of evaluating human exposure (IEC 62232:2017)
- EN 50385:2017 Product standard to demonstrate the compliance of base station equipment with radiofrequency electromagnetic field exposure limits (110 MHz – 100 GHz), when placed on the market
- ICNIRP (International Commission on Non-Ionizing Radiation Protection) guidelines for the general public. See the ICNIRP web site at
https://www.icnirp.org/cms/upload/publications/ICNIRPemfgdl.pdf and Guidelines for Limiting Exposure to Time-Varying Electric, Magnetic, and Electromagnetic Fields.
Power density exposure limit
Install the radios for the 60 GHz cnWave platform family of wireless solutions to provide and maintain the minimum separation distances from all persons.
The applicable FCC power density exposure limit for RF energy in the 57 – 66 GHz frequency bands is 10 W/m² . For more information, see Human exposure to radio frequency energy.
Calculation of power density
The following calculation is based on the ANSI IEEE C95.1-1991 method, as that provides a worst-case analysis.
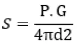
Peak power density in the far field of a radio frequency point source is calculated as follows:

Where:
S: power density in W/m²
p: maximum average transmit power capability of the radio, in W
G: total Tx gain as a factor, converted from dB
d: distance from point source, in m
Rearranging terms to solve for distance yields:

Calculated distances and power compliance margins
The following table displays recommended calculated separation distances, for the 60 GHz cnWave™ for Europe the USA and Canada. These are conservative distances that include compliance margins.
Note
At these and greater separation distances, the power density from the RF field is below generally accepted limits for the general population.
Note
60 GHz cnWave™ Platform Family ODU adheres to all applicable EIRP limits for transmit power when operating in MIMO mode. Separation distances and compliance margins include compensation for the antenna configuration of each product.
Table 54: Calculated distances and power compliance margins
| Product | Countries | EIRP (dBm) | EIRP (W) | Maximum power density (wirr 2) | Compliance distance (m) |
| V1000 | USA, Canada, EU | 38 | 6.3 | 10 | 0.22 |
| V2000 | USA, Canada, EU | 49 | 79.4 | 10 | 0.9 |
| V3000 | USA, Canada | 60.5 | 1122 | 10 | 3.0 |
| V3000 | EU | 55 | 316.2 | 10 | 1.6 |
| V5000 | USA, Canada, EU | 38 | 6.3 | 10 | 0.22 |
Note
The regulations require that the power used for the calculations is the maximum power in the transmit burst subject to allowance for source-based time-averaging.
The calculations above are based upon platform maximum EIRP and worst case 100% duty cycle.
Compliance with radio regulations
This section describes how the 60 GHz cnWave platform family complies with the radio regulations that are in force in various countries.
Caution
Where necessary, the end user is responsible for obtaining any national licenses required to operate this product and these must be obtained before using the product in any particular country. Contact the appropriate national administrations for details of the conditions of use for the bands in question and any exceptions that might apply.
Caution
Changes or modifications not expressly approved by Cambium Networks could void the user’s authority to operate the system.
Type approvals
The system is tested against various local technical regulations and found to comply. The Radio specifications section lists the radio specification type approvals that is granted for the 60GHz cnWave products.
Some of the frequency bands in which the system operates are “license exempt” and the system is allowed to be used provided it does not cause interference. In these bands, the licensing authority does not guarantee protection against interference from other products and installations.
| Region | Regulatory approvals | FCC ID | IC ID |
| USA | Part 15C | QWP-60V1000 QWP-60V2000 QWP-60V3000 QWP-60V5000 | |
| Canada | ISED RSS-210 | – | 109A0-60V1000 109A0-60V2000 109A0-60V3000 109A0-60V5000 |
Federal Communications Commission (FCC) compliance
The 60 GHz cnWave V1000, V2000, V3000 and V5000 comply with the regulations that are in force in the USA.
Caution
If this equipment does cause interference to radio or television reception.
FCC Notification
This device complies with part 15C of the US FCC Rules. Operation is subject to the following two conditions:
- This device may not cause harmful interference, and
- This device must accept any interference received, including interference that may cause undesired operation.
Innovation, Science and Economic Development Canada (ISEDC) compliance
The 60 GHz cnWave V1000, V2000, V3000 and V5000 comply with the regulations that are in force in Canada.
Caution
If this equipment does cause interference to radio or television reception.
60 GHz cnWave example product labels
Figure 239: 60 GHz cnWave™ V5000 Distribution Node

Figure 240: 60 GHz cnWave™ V3000 Client Node Radio only

Figure 241: 60 GHz cnWave™ V2000 Client Node with no power cord
Figure 242: 60 GHz cnWave™ V1000 Client Node with no cord

Figure 243: 60 GHz cnWave™ V1000 with US cord

Table 55: Details of accessories, radio nodes, and part numbers
| Accessories | Radio nodes | Cambium Part Number |
| 60 GHz cnWaveTM V5000 Distribution Node | V5000 | C6000500A004A |
| 60 GHz cnWaveTM V3000 Client Node radio only | V3000 | C6005000O24A |
| 60GHz cnWave V2000 Client Node no power supply, no power cord | V2000 | C6005000O30A |
| 60 GHz cnWaveTM V1000 Client Node with no cord | V1000 | C600500C14A |
| 60 GHz cnWaveTM V1000 with US cord | V1000 | C6005000001A |
Troubleshooting
This section describes the troubleshooting steps and addresses frequently asked questions related to 60 GHz cnWave product deployment.
- Field diagnostics logs
- Setup issues in IPv4 tunneling
- Link is not established
- PoP not online
- Link is not coming up
- Link is not having expected throughput performance
- Factory reset
Field diagnostics logs
Download the logs to view more information about the error. To download the error logs select the node from the drop-down and click Download Logs.
Figure 244: The Logs tab in the Tools page

Figure 245: Downloading the logs

To download the logs for a self node, click Download Logs at the bottom and save the log file.
Figure 246: Saving the log files

Setup issues in IPv4 tunneling
In IPv4 tunneling, if setup issues occurs then perform the below steps:
- Click Configuration on the left pane, navigate to Network > Basic > Layer 2 Bridge and verify Enable Layer 2 bridge is selected.

- On the same page under Configuration Management, verify E2E Managed Config is selected.

- Click Configuration > Nodes > PoP DN > Networking > Layer 2 Bridge and verify Disable Broadcast Flood and Disable IPv6 are disabled.

- Ensure that PoP DN and DNs are in the same subnet and verify gateway is correct.


Link is not established
If link is not established between the nodes, then verify the below options:
- Click Configuration on the left panel.
- Navigate to Nodes > Radio and verify Sector 2 PoP DN and DN’s polarities, frequency and Golay codes.
Figure 247: The Sector 2 section in the Radio page
- Select DN > Networking > Ethernet Ports and ensure that specific Ethernet ports are enabled.
Figure 248: The Ethernet Ports section in the Networking page
- Click Topology on left pane, go to Nodes and verify Status is Online Initiator.
Figure 249: Status of nodes in the Topology page
- Click Statistics on left pane, go to Links and verify RSSI, MCS, TX Power Index.
Figure 250: Link details in the Statistics page
- Go to Performance and verify the graphs.
Figure 251: Graphs in the Performance page
- Go to Radio and monitor the throughput capacity.
Figure 252: Monitoring the throughput in the Radio page
- If internal GPS is used, then verify Configuration > Nodes > Radio > GPS > Force GPS Disable is enabled.
Figure 253: Verifying the Force GPS Disable check box
PoP not online from E2E/cnMaestro GUI
This usually means that the PoP node is not able to talk to the E2E controller. Ensure that the PoP node has the E2E IPv6 configured properly. Also ensure that there is a route between the E2E controller and the PoP node, if they are not in the same VLAN. Try to ping the E2E from the PoP node (login to ssh).
Link is not coming up
- Ensure that the two ends of the radios can see each other (clear line of sight in between). If the link is using V3000, ensure that they are properly aligned.
- Ensure that MAC address of the radios is configured correctly in the E2E Controller.
- Ensure that GPS sync is not enabled if indoor and ensure that GPS sync is enabled if outdoor.
- Ensure that both ends of the link has the same software version.
- Ensure to configure country code on the E2E GUI.
- Ensure that the two ends of the link use opposite polarity and Golay codes that matches each other.
- Ensure that the remote ends can reach the E2E Controller – IPv6 configuration (if beamforming is successful but the remote end cannot reach back to the E2E Controller, the E2E Controller/cnMaestro GUI displays link status as up, but the remote radio is offline).
- If you already have experience setting up a link and you are trying to setup a daisy chain, ensure that there is not any interference caused by the existing link. For example, make sure that the two neighboring link use different Golay code.
Link does not come up after some configuration change
There is a possibility that the remote unit could be in a state that it uses different channel/Golay code/polarity from the near-end unit. Try to factory default the remote radio if possible.
On the E2E Controller/cnMaestro, it shows that the link is up, but the remote radio is NOT online – This means that link is established but the remote end radio cannot reply to the E2E Controller. Check the E2E configuration to make sure that the IPv6 default gateway is configured correctly to allow a route between the E2E controller and the remote radio.
Link is not having expected throughput performance
- Check the radio GUI to ensure that the link is running as the expected MCS mode when user data is passing through.
- Check to ensure that the Ethernet ports of the radios and the testing devices are negotiated to expected data rate (10Gbps).
- Ensure that your testing devices are capable of handling the throughput – run data throughput test by bypassing the radio link.
- Do not use radio internal iperf tool to test throughput.
Factory reset
Recovery mode is used to reset the configuration to the factory settings. To reset the configuration, perform the following steps:
- Go to Tools menu and click Factory Reset.
Pop-up appears. Confirm to reset the device to factory reset
- Click Yes to reboot.
- After the reboot, access the device using IP address 169.254.1.1.
Note
After factory reset, all configuration set to default mode.
Cambium Networks
Cambium Networks delivers wireless communications that work for businesses, communities, and cities worldwide. Millions of our radios are deployed to connect people, places and things with a unified wireless fabric that spans multiple standards and frequencies of fixed wireless and Wi-Fi, all managed centrally via the cloud. Our multi-gigabit wireless fabric offers a compelling value proposition over traditional fiber and alternative wireless solutions. We work with our Cambium certified ConnectedPartners to deliver purpose built networks for service provider, enterprise, industrial, and government connectivity solutions in urban, suburban, and rural environments, with wireless that just works.
| Installation and Configuration Guides | http://www.cambiumnetworks.com/guides |
| Technical training | https://learning.cambiumnetworks.com/learn |
| Support website (enquiries) | https://support.cambiumnetworks.com |
| Main website | http://www.cambiumnetworks.com |
| Sales enquiries | [email protected] |
| Warranty | https://www.cambiumnetworks.com/support/standard-warranty/ |
| Telephone number list to contact | http://www.cambiumnetworks.com/contact-us/ |
| Address | Cambium Networks Limited, Unit B2, Linhay Business Park, Eastern Road, Ashburton, Devon, TQ13 7UP United Kingdom |
www.cambiumnetworks.com
Cambium Networks and the stylized circular logo are trademarks of Cambium Networks,
Ltd. All other trademarks are the property of their respective owners.
© Copyright 2022 Cambium Networks, Ltd. All rights reserved.
Cambium Networks
References
Cambium Networks | Wireless Solutions that Just Work
Cambium Networks | Wireless Solutions that Just Work
Contact Us Address & Phone Information | Cambium Networks
Search our Resources - Case Studies, Brochures and more | Cambium
Federal Communications Commission | The United States of America
Federal Communications Commission | The United States of America
Loading
Home / Cambium Networks Support
Home / Cambium Networks Support
Standard Warranty - Cambium Networks
Home - Canada.ca













Pop-up appears. Confirm to reset the device to factory reset



















