USER’S MANUAL
AIR-CONDITIONER
ORIGINAL INSTRUCTIONS
USER’S MANUAL
AIR-CONDITIONER
![]()
RLH012A501
202110
SRK71ZTL-W Air Conditioner
Thank you for purchasing a MITSUBISHI HEAVY INDUSTRIES THERMAL SYSTEMS, LTD.
Air-Conditioner. To get the best long-lasting performance, please read and follow this user’s manual carefully before using your air-conditioner. After reading, please store the manual in a safe place and refer to it for operational questions or in the event of any irregularities.
Thank you for purchasing a MITSUBISHI HEAVY INDUSTRIES THERMAL SYSTEMS, LTD. Air-Conditioner. To get the best long-lasting performance, please read and follow this user’s manual carefully before using your air-conditioner. After reading, please store the manual in a safe place and refer to it for operational questions or in the event of any irregularities.
Your air-conditioner is marked with this symbol. It means that waste electrical and electronic equipment (WEEE as in directive 2012/19/EU) should not be mixed with
general household waste. Air-conditioner should be treated at an authorized treatment facility for re-use, recycling and recovery and not be disposed of in the municipal
waste stream. Please contact the installer or local authority for more information.
This symbol printed on the batteries attached to your air-conditioner is information for end-users according to the EU directive 2006/66/EC article 20 annex II.
Batteries, at their end-of-life, should be disposed of separately from general household waste. If a chemical symbol is printed beneath the symbol shown above, this chemical symbol means that the batteries contain a heavy metal at a certain concentration. This will be indicated as follows: Hg:mercury(0.0005 %), Cd:cadmium(0.002 %), Pb:lead(0.004 %) Please, dispose of batteries correctly at your local community waste collection or the recycling center.
The emission sound pressure level from each Indoor and Outdoor unit is under 70 dB(A).
Safety precautions
- Before starting to use the system, please read these “Safety precautions” carefully to ensure proper operation of the system.
- When you have read this user’s manual, please keep it safely. If someone else takes over as user, make sure that the manual is also passed on to the new user.
WARNINGIndicates a potentially hazardous situation which, if not avoided, can result in serious consequences such as death or severe injury.
CAUTIONIndicates a potentially hazardous situation which, if not avoided, can
result in personal injury or property damage.Please observe these precautions with great care, since they are essential to your safety.
- Symbols which appear frequently in the text have the following meaning:
| Strictly prohibited | Observe instructions with great care | Provide proper earthing |
| A service personnel should be handing this equipment with reference to the installation manual. | |||
❚ Following precaution is for R32.
This equipment uses ammable refrigerants. If the refrigerant is leaked, together with an external ignition source, there is a possibility of ignition.
WARNING
- Strict compliance of the domestic laws must be observed when disposing the appliance.
- Do not use means to accelerate the defrosting process or to clean, other than those recommended by the manufacturer.
- The appliance shall be stored in a room without continuously operating ignition sources (for example: open ames, an operating gas appliance or an operating electric heater).
- Do not pierce or burn.
- Be aware that refrigerants may not contain an odour.
- The appliance shall be stored in a well- ventilated area where the room size corresponds to the room area as speci ed for operation.
- The stain servicing operations must hold the national quali cation or other relevant quali cations.
- The indoor unit shall be stored in a room that has a minimum area of 4.0 m 2 .* *
- This value is for split system. In the case of multi system, see the installation sheet of outdoor unit.
❚ Safety precautions
❚ INSTALLATION PRECAUTIONS
WARNING
| The system is for domestic and residential use. If used in severe environments, such as an engineering workplace, the equipment may function poorly. | |
| The system must be installed by your dealer or a qualified installer. It is not advisable to install the system by yourself, as faulty handling may cause leakage of water, electric shock or fire. |
CAUTION
| Do not install it where flammable gas may leak. Gas leaks may cause fire. | |
| Make sure that an earth leakage breaker is installed. If you do not install an earth leakage breaker, you may get an electric shock. Make sure to install the drain hose properly so that all the water is drained out. Improper installation may lead to water drop in the room resulting in wet furniture. | |
| Make sure that the system has been properly earthed. Earth wire should never be connected to a gas pipe, water pipe, lightning conductor or telephone earth wire. Improper installation of the earth wire may cause an electric shock. |
This Product contains fluorinated greenhouse gases.
Do not vent R32 into the atmosphere: R32 is a fluorinated greenhouse gas with a Global Warming Potential (GWP) = 675.
Refer to a label on outdoor unit for the weight of fluorinated greenhouse gas and CO2 equivalent.
❚ OPERATION PRECAUTIONS
WARNING
| Children shall not play with the air-conditioner. Do not expose yourself to the cooling air for a long period. This could affect your physical condition and cause health problems. Cleaning and user maintenance shall not be made by children without supervision. Do not insert anything into the air outlet. This may cause injury, as the internal fan rotates at high speed. | |
| This air-conditioner can be used by children aged from 8 years and above and people with reduced physical, sensory or mental capabilities or lack of experience and knowledge, if they have been given supervision or instruction concerning use of the air-conditioner in a safe way and understand the hazards involved. Store the remote control out of reach of children. Failure to observe this may result in the batteries being swallowed or other accidents. | |
| CAUTION Only use approved fuses. Use of steel or copper wire instead of an approved fuse is strictly prohibited, as it may cause a breakdown or fire. Do not handle the switches with wet hands. This may cause an electric shock. Do not swing from the indoor unit. If the indoor unit falls down,you may get injured. Do not place a flammable insecticide or paint spray near the air-conditioner, nor spray it directly on the system. This may result in a fire. Do not expose any combustion appliance directly to the air stream of the air-conditioner. The combustion appliance may malfunction. Do not wash the air-conditioner with water. This could cause an electric shock. Using a high pressure washer may cause damage to the aluminum fins, resulting in performance decrement. Do not use for preservation of food, plants or animals, precision devices or works of art. The system is only intended for use in ordinary domestic rooms. Any other use of the system may damage the quality of food, etc. Do not place anything containing water, like vases, on top of the unit. Water entering the unit could damage the insulation and therefore cause an electric shock. Do not install the air-conditioner where the airflow direction is aimed directly at plants or animals. This will damage their health. Do not step/sit on the unit nor put anything on it. If the unit falls down or things drop from it, people could get hurt. After a long period of use, check the unit’s support structure regularly. If you do not repair any damage right away, the unit may fall down and cause personal injury. |
CAUTION
Do not touch the aluminum fins on the heat exchanger.
It may result in injury.- Do not place household electrical appliances or household items underneath the indoor or outdoor units.
Condensation falling from the unit may stain objects and cause accidents or electrical shock. - Do not operate the system without the air filter.
It can cause malfunction of the system due to clogging of the heat exchanger. - Do not shut off the power source immediately after stopping the operation.
Wait at least 5 minutes, otherwise there is a risk of water leakage or breakdown. - Do not control the system with main power switch.
It can cause fire or water leakage. In addition, the fan can start unexpectedly, which can cause personal injury. - Do not pour liquid into the unit and do not put water container on the unit. Water entering the unit could damage the insulation and therefore cause an electric shock.
If you operate air-conditioner together with a combustion appliance, you must regularly ventilate the indoor air. Insufficient ventilation may cause accidents due to oxygen deficiency.- Stand firmly on a stepladder or other stable object when removing the inlet panel and filters.Failure to observe this may result in injury through insecure objects toppling over.
- When you clean air-conditioner, stop the unit and turn off the power source.Never open the panel while the internal fan is rotating.
- Do not place objects near the outdoor unit or allow leaves to gather around the unit. If there are objects or leaves around the outdoor unit, small animals may enter
unit and contact electrical parts and may cause a break-down, smoke or fire. - Contact your dealer to clean inside the indoor unit, do not attempt to do by yourself.
The use of a non-approved detergent or improper washing method may damage the unit’s plastic components and cause leaks. Damage, smoke, or fire may also
happen if the detergent comes in contact with electrical parts or the unit’s motor. - Stop the unit and turn off the power if you hear thunder or there is a danger of lightning.
It may damage the unit. - If the power cable becomes damaged, contact your dealer or a qualified installer.
If it is not replaced, it may cause a breakdown or fire.
❚ WIRELESS LAN PRECAUTIONS
WARNING
Do not turn ON the wireless LAN communication near automatic control equipment such as an automatic door or fire-alarm device. It may cause an accident due to malfunction of equipment.- Do not turn ON the wireless LAN communication in a hospital, etc. where the use of wireless devices is prohibited.
It may cause malfunction of medical equipment due to a wireless device. - Do not turn ON the wireless LAN communication near a person with a cardiac pacemaker or implanted defibrillator.
It may cause malfunction of a medical device.
CAUTION
Do not turn ON the wireless LAN communication near another wireless device, microwave, cordless phone, fax machine, etc. It may cause malfunction of wireless device.- When operating the air-conditioner from outdoors, fully confirm the statuses of the unit, its periphery, and persons in the room beforehand.
It may cause damage to your health, contamination of household goods, or negative effects on animals. - When someone is in the room, notify him/her that the air-conditioner is to be operated from outdoors.
It may cause damage to your health.
Check the operational status periodically.
Sudden indoor/outdoor temperature changes may disturb your health.
PRECAUTIONS FOR RELOCATION OR REPAIRS
WARNING
Do not perform any repairs or modifications by yourself. Consult the dealer if the unit requires repair.
If you repair or modify the unit, it can cause water leaks, electric shocks or fire.
Consult your dealer for repairs.
Wrong repairs could cause an electric shock, fire, etc.- In case the air-conditioner is relocated elsewhere, contact your dealer or a qualified installer.
Faulty installation may cause water leakage, electric shock, fire, etc. - If you notice anything abnormal (smell of burning, etc.), stop the system, turn off the power source and consult your dealer.
Continued use of the system in abnormal circumstances can result in malfunctioning, electric shock, fire, etc. - If the air-conditioner fails to cool or warm the room, it may have a refrigerant leakage. Contact your dealer.
If refrigerant needs to be added, check with your dealer for proper instructions.
If the refrigerant comes in contact with the bare skin, it may cause cold injury. If the refrigerant gas is inhaled excessively, it may cause deterioration of nerve function like dizziness and headache, or deterioration of heart function like irregular heartbeat and heart palpitation temporarily. If refrigerant unexpectedly leaks from the unit onto a fan heater, stove, hotplate or other heat source, harmful gases could be generated.
Tips for effective operation
■ Please observe the following for the most economic and comfortable use of your unit.
- Set a suitable room temperature.
Excessively high or low temperatures are not good for your health and waste of electricity. - Clean the filters frequently.
Clogged filters may block the airflow and cause less efficient operation.
Page 29 - Avoid direct sunlight and draught.
Cut out direct sunlight by drawing the curtains or blinds when cooling. Keep windows and doors shut, except when ventilating. - Adjust the airflow direction properly.
Adjust the up/down and left/right airflow to ensure a steady room temperature. - Operate the unit only when needed.
Use the timer properly to operate the unit only when needed. - Keep heat source away when cooling.
Keep heat sources out of the room as much as possible.
Name of each part and its function


Name of each part and its function
Accessories
NOTE
- Buzzer sound for remote control
Buzzer sound (PipPip) is produced when preset temperature is set to 24 °C or,
AUTO operation mode is selected or, automatic airflow is selected (except DRY and FAN mode operation).
Buzzer sound (Pip) is produced when air-conditioner is turned off by pressing ON/OFF button (except SELF CLEAN operation).
Buzzer sound (Peep Pip) is produced when
Wireless LAN connection setting,
Wireless LAN communication setting.
Airflow setting
Preset temperature
Backlight for remote control
Press the button of the remote control lights the backlight.
The backlight turns off automatically if there is no operation for certain period of time.
The backlight can be turned on/off.
page 23
Remote control
Setting the batteries
- Remove the cover.
- Insert new batteries.
R03 (AAA, Micro) × 2 or
LR03 (AAA, Micro) × 2
- Close the cover.
- Press the ACL switch with the tip of a ballpoint pen.
Set the current time.
Page 14 Current time setting Step 2
The following cases show exhausted batteries. Replace old batteries with new ones.
Receiving beep is not emitted when a signal is transmitted.
Display fades away.
NOTE
- Do not mix old and new batteries, or batteries of different types (manganese/ alkaline).
- Alkaline batteries are recommended.
- Remove the batteries when the remote control is not used for a long period.
- The recommended effective period of a battery conforming to JIS or IEC should be 6 to 12 months with normal use. If used longer, or when an unspecified battery is used, liquid may leak from the battery, causing the remote control to malfunction.
- The recommendable effective period is printed on the battery. This may be shorter due to manufacturing time to the unit. However, the battery may still be in working order after expiry of its nominal life.
■ When the display shows any abnormal condition, press the ACL switch with the tip of a ballpoint pen.
Using the remote control holder
The remote control can be attached to a wall or pillar by using the remote control holder. Before installing the remote control, check that the air-conditioner receives the signals properly.
For installing or removing the remote control, move it up or down in the holder.
Warning note for remote control
| Do not take remote control near high temperature places, such as an electric heating carpet or a stove. | Do not leave the remote control exposed to direct sunlight or other strong lighting. | Do not drop the remote control. Handle with care. |
| Do not put any obstructing obstacles between the remote control and the unit. | Do not spill any liquid on the remote control. | Do not place heavy objects on the remote control, or step on it. |
Operation failure with the remote control
- Are the batteries running down?
“Setting the batteries” above.
Replace the batteries with new ones and retry the operation. - If the operation fails, operate the unit with temporary run operation function.
“Temporary run operation” below.
Contact your dealer to have the remote control checked.
Temporary run operation
- The unit ON/OFF button on the unit operates ON/OFF temporarily when the remote control is not used.
Operation
program - OPERATION MODE : AUTO
- FAN SPEED : AUTO
- AIRFLOW : AUTO
- Operation starts by pressing the unit ON/OFF button; it stops if you press the button again.

NOTE
- Do not keep pressing the unit ON/OFF button down for 5 seconds or more.
(Pressing it 5 seconds or more sets the forced cooling operation used during servicing or when relocating the air-conditioner.)
Installing two air-conditioners in the same room
- When two air-conditioners are installed in the same room, use this setting when the two air-conditioners are not operated with one remote control. Set the remote control and indoor unit.
Setting the remote control
- Remove the cover and take out batteries.
- Disconnect the switching line next to the battery with wire cutters.

- Insert batteries.Close the cover.
Setting an indoor unit
- Turn off the power source and turn it on after 1 minute.
- Point the remote control (that was set according to the procedure described on the left side) at the indoor unit and send a signal by pressing the ACL switch on the remote control.Since the signal is sent in about 6 seconds after the ACL switch is pressed, point the remote control at the indoor unit for some time.

- Check that the reception buzzer sound “peep” is emitted from the indoor unit.
At completion of the setting, the indoor unit emits a buzzer sound “peep”. (If no reception sound is emitted, start the setting from the beginning again.)
Child lock
- This function locks the remote control operation to prevent an operation error.

- Press the AIRFLOW L/R (LEFT/RIGHT) button for 3 seconds or more.
is displayed. When Child lock is set, only the ON/OFF button can be operated.
How to cancel
Turn off the light
by pressing the AIRFLOW L/R (LEFT/RIGHT) button for 3 seconds or more.
NOTE
While Child lock is set, the settings of operation mode, temperature, fan speed and airflow direction cannot be changed. To change the settings, reset Child lock.
Airflow range setting
- Take the air-conditioner location into account and adjust the left/right airflow range to maximize air-conditioning.

- If the air-conditioner is running, press the ON/OFF button to stop.
The airflow range setting cannot be made while the unit is running. - Press the AIRFLOW U/D (UP/DOWN) button and the AIRFLOW L/R (LEFT/RIGHT) button together for 5 seconds or more.
The airflow range setting display illuminates. - Setting the airflow range.
Press the AIRFLOW L/R (LEFT/RIGHT) button and adjust to the desired location.
Each time the AIRFLOW L/R (LEFT/RIGHT) button is pressed, the display is switched in the order of:
- Press the ON/OFF button.
The air-conditioner’s airflow range is set.
Press within 60 seconds of setting the airflow range (while the airflow range setting display illuminates).
Air-conditioner installation location and airflow range
The diagram below indicates the airflow ranges corresponding to the air-conditioner’s installation location. Consider your room’s layout and set the airflow range to maximize air-conditioning
NOTE
- Once the airflow range setting is configured, it is stored in the air-conditioner even if the power source is turned off. To change the airflow range setting, set range again with the remote control.
- During the operation, an airflow range setting cannot be set.
- When the air-conditioner is installed at the location within 50 cm from the wall, it is recommended to change the airflow range setting to “Right End Installation” or “Left End Installation”.
Operation and display section for remote control
Display in OFF status

The current time and present OPERATING MODE are displayed while the air-conditioner is turned off.
Transmission procedure
When each button on the remote control is pressed – with the remote control pointing towards the air-conditioner unit, a signal is transmitted.
When the air-conditioner receives the signal correctly, it will beep.
Current time setting
- When inserting the batteries, the current time is automatically set to time setting mode.
13:00 is displayed as the current time. Set the clock to the right time.

Example: Set to 10:30.
- Press the TIME SET UP switch.
Press with the tip of a ballpoint pen, etc.
The time display blinks and can be set to the current time. - Press the “ or (TEMP/TIMER)” button.
(Set to 10:30) - Press the ON/OFF button.
The time display changes from blinking to steady lighting and the setting is complete.
Make sure to press the button within 60 seconds from the last operation in step 2, otherwise the time will not be set.
NOTE
The timer operation works based on the time clock, so set it correctly.
The remote control data will be reset when the present time is set.
When the battery of the remote control is replaced or the ACL switch is pressed, the remote control will be set to the initial state.
AUTO mode operation
■ Automatically selects the operation mode (COOL, HEAT) depending on the room temperature when switched on.
Press the MODE button.
- The mode changes whenever the button is pressed. Set to .
- Press the ON/OFF button.
To stop: Press the ON/OFF button.
- If you do not want the AUTO mode program, change to COOL, HEAT or FAN instead of AUTO.
Page 16 - Airflow direction adjustment procedure.
Page 17
NOTE - In case air is not blowing out during the operation.
Page 31
Temperature adjustment during AUTO mode
- Default preset temperature during AUTO mode is 24 °C for both cooling and heating mode. However, it can be adjusted (Minimum 18 °C, Maximum 30 °C) using button or button.
1 Press the TEMP/TIMER button.
FAN SPEED
- The FAN SPEED can be set except for DRY mode.
- Press the FAN SPEED button.
Press or button for the preferred fan speed.
| Operation capacity by your choice | FAN SPEED |
| Set automatically by microcomputer | AUTO |
| Silent operation | ULo |
| Energy-saving operation | Lo |
| Standard operation | Me |
| Powerful operation with high capacity | Hi |
NOTE
- When FAN SPEED is changed from Hi to Lo or ULo, the sound of refrigerant may be heard.
- When COOL mode is used if outside temperatures are low, the FAN SPEED may change automatically to protect the air-conditioner.
COOL/HEAT/DRY/FAN mode operation

NOTE
- In case air is not blown out, when starting the heating operation.
Page 31 - The operation mode can also be set or changed when the air-conditioner is not in operation.
- Press the MODE button.
Set to a required mode.
(COOL), (HEAT), (DRY), (FAN) - Press the ON/OFF button.
- Press the TEMP button.
Press or button for the preferred temperature.
RecommendationCOOL HEAT DRY FAN 26 °C – 28 °C 22 °C – 24 °C 24 °C – 26 °C — 4. Press the FAN SPEED button Set the fan speed as preferred.
A fan speed cannot be set under Dry operation.
To stop: Press the ON/OFF button.
Air-conditioner operation temperature range
■ Use within the following operational range. Operating outside of this range may result in the protection devices being activated, preventing the unit from working.
| COOL mode operation | HEAT mode operation | |
| Outside temperature | Approximately -15 to 46 °C | Approximately -15 to 24 °C |
| Inside temperature | Approximately 18 to 32 °C | Approximately 10 to 30 “)C |
| Inside humidity | Below approximately 80% The long-term use of the unit with a humidity level exceeding 80% may result in condensation forming on the surface of the indoor unit, leading to water drops. |
Characteristics of HEAT mode operation
Mechanism and capacity of HEAT mode operation
- The unit draws heat from the cold outside air, transfers it to indoors and heats the room. As a characteristic of heat pump system, the heating capacity reduces when the outside air temperature gets colder.
- It may take some time to supply hot air after turning on the air-conditioner.
- If the outside temperature becomes extremely low, it would be better to use an additional source of heating.
Defrosting
If the outside temperature becomes low and humidity is high, the heat exchanger in the outdoor unit may frost over, which prevents efficient heating.
If this happens, the automatic defrost function is activated and the heating operation stops for 5 to 15 minutes during defrosting.
- Both indoor and outdoor fans stop and the RUN light blinks slowly (1.5 seconds ON, 0.5 seconds OFF) during defrosting.
- The outdoor unit may release some steam during defrosting. This is to help the defrosting process and is not a defect.
- The HEAT operation resumes as soon as defrosting has been completed.
Airflow direction adjustment
- Up/down direction can be adjusted with the AIR FLOW U/D (UP/DOWN) button on the remote control. Every time you press this button, the mode changes as follows: Change on AIR FLOW (UP/DOWN) mode.

- Left/right direction can be adjusted with the AIR FLOW L/R (LEFT/RIGHT) button on the remote control. Every time you press this button, the mode changes as follows: Change on AIR FLOW (LEFT/RIGHT) mode.
NOTE - The actual position of the flap and louver may differ from the display shown.
NOTE FOR HEATING OPERATION - When heating operation starts, the flap and louver direction is fixed at the horizontal / center position in order to avoid cold draft. It returns to the set position when the warm air supply is started.
- The flap and louver direction will be controlled to the horizontal/center position when the room temperature reaches the set temperature and compressor stops or when defrosting is in operation.
- The airflow direction cannot be set during the period mentioned above. Change the airflow direction settings after the warm air is supplied and the flap/louver goes to the set position.
Memory flap (Flap or louver stopped)
When you press the AIR FLOW (U/D or L/R) button once while the flap or louver is operating, it stops swinging at the position.
Since this angle is memorized in the microcomputer, the flap or louver will automatically be set at this angle when the next operation is started.
WARNING
- Do not expose directly to airflow from the air-conditioner for a long time.
CAUTION
- When in COOL or DRY operation, do not operate for a long period with the airflow blowing straight down. Otherwise, condensation may appear on the outlet grill and drip down.
- Do not try to adjust the flaps and louvers by hand, as the control angle may change or the flap or louver may not be closed completely.
- Recommended angle of the flap when stopping

3D AUTO operation
■ Fan speed and airflow direction are automatically controlled, allowing the entire room to be efficiently air-conditioned.
- Press the ON/OFF button.
- Press the 3D AUTO button.
Each time the 3D AUTO button is pressed, the display is switched in the order of:

Releasing procedure
Press the 3D AUTO button to turn off the 3D AUTO display.
NOTE
- 3D AUTO operation is canceled when you switch the operation mode.
- If 3D AUTO operation is canceled then the airflow direction changes to that used before 3D AUTO was set.
- 3D AUTO operation can be set in AUTO, COOL, or HEAT operation mode only.
SLEEP TIMER operation
- The unit will stop automatically after the set time lapses.
The set temperature is automatically adjusted according to the lapse time in order to avoid too much cooling or heating.
Page 19

Press the SLEEP button.
- If it is pressed while the unit is off
SLEEP TIMER operation starts with the previous operation settings, and the air-conditioner is turned off after the set time lapses. - If it is pressed while the unit is running
The air-conditioner is turned off after the set time lapses.
Every time the button is pressed, the display changes as follows:
Example: You prefer it to stop after 3 hours.
Set to
The timer light (yellow) is on. - The unit stops after the set time lapses.
NOTE
- SLEEP operation will not function during ALLERGEN CLEAR operation.
- SLEEP TIMER cannot be set simultaneously with OFF TIMER.
OFF TIMER operation
(canceled)
■ The unit stops automatically when the set time comes.
With the air-conditioner turned off, start the operation from Step 1. With the air-conditioner running, start from Step 2.
- Press the ON/OFF button.
- Press the OFF TIMER button. OFF TIMER display is blinking.
- Press the “ or (TIMER)” button.
Every time the button is pressed, the display is switched in the order of:
- Press the SET button.
The display changes from blinking to steady lighting and the setting is complete.
The timer light (yellow) is on.
NOTE
- The unit stops at the end of the set period of time.
- Make sure to press the button within 60 seconds from the last operation in step 3, otherwise the setting is not completed.
- The current time is not displayed during OFF TIMER operation.
- OFF TIMER operation will not function during ALLERGEN CLEAR operation.
- Different from SLEEP TIMER operation, automatic set temperature adjustment is not done during OFF TIMER operation.
ON TIMER operation
■ Operation starts 5 to 60 minutes before the set time so that the room temperature reaches the optimum temperature at the set time.
Page 19
ON TIMER operation can be set regardless of whether the air-conditioner is running or not.
Example: When the preferred room temperature is required at 8:00.

Example: When the preferred room temperature is required at 8:00.
- Press the ON TIMER button. ON TIMER display is blinking.
- Press the “ or (TIMER)” button.
Every time the button is pressed, the display is switched in the order of:
- Press the SET button.
The display changes from blinking to steady lighting and the setting is complete.
The timer light (yellow) is on.
If ON TIMER setting is performed when air-conditioner is running, air-conditioner operation will stop.
NOTE
- Operation starts 5 to 60 minutes before the set time.
- The timer light (yellow) goes out at the set time.
- Make sure to press the button within 60 seconds from the last operation in step 2, otherwise the setting is not completed.
- The current time is not displayed during ON TIMER operation.
- ON TIMER operation will not function during ALLERGEN CLEAR operation.
- If the ON/OFF button is pressed after setting the ON TIMER, the setting will be canceled.
SLEEP TIMER + ON TIMER operation
■ This is the combined timer operation of SLEEP TIMER and ON TIMER.
Example: When it is required to stop after 3 hours and then start operation at 8:00, near the set temperature.
Example: When it is required to stop after 3 hours and then start operation at 8:00, near the set temperature.
SLEEP TIMER setting
- Set by the procedures on page 17.
Set to ON TIMER operation setting
- Set by the above procedure mentioned in ON TIMER.
Set to
The setting of the lighting of the timer light (yellow) of this unit is complete.
• After the SLEEP TIMER set time has lapsed, the operation stops, and it starts from 5 to 60 minutes before the ON TIMER’s set time.
• The timer light is turned off when ON TIMER set time comes.
How to cancel
Press the CANCEL button to turn off the timer display.
ON TIMER + OFF TIMER operation
■ This is the combined timer operation of ON TIMER and OFF TIMER.

NOTE
- Timer operation can be set only for next 24 hours.
Example: Present time is 21:00. The air-conditioner running.
When it is preferred to stop at 22:30, and then start operation at 8:00, near the set temperature.
- OFF TIMER operation setting Set by the procedures on page 17. Set to22:30
- ON TIMER operation setting 2 Set by the procedures on page 18. Set to

Timer light (yellow) on the unit will light when the setting is completed.
■ The set time will be displayed on the remote control. The display will change depending on the operational status.
- The air-conditioner stopping.
Changing of set time
Set a new time by using the OFF TIMER or ON TIMER button.
How to cancel
Press the CANCEL or ON/OFF button to turn off the timer display.
ALLERGEN CLEAR operation
■ The power of enzymes is used to eliminate allergy-causing allergens that accumulate on the allergen clear filter.
Press the ALLERGEN CLEAR button.
1 To stop: Press the ON/OFF or
ALLERGEN CLEAR button.
- Since the room temperature may change quite a bit, it is recommended that this be used when no one is in the room. (It completes automatically in approximately 90 minutes.)
- During ALLERGEN CLEAR operation temperature, fan speed, airflow direction and timer operations settings cannot be made.
- In case of SCM multi system, ALLERGEN CLEAR control function is invalid.
- In case of SCM multi system, if ALLERGEN button is pressed by mistake, the indoor unit which received such command will stop.
WEEKLY TIMER operation
■ Up to 4 programs with timer operation (ON TIMER / OFF TIMER) are available for each day of the week. Maximum 28 programs per week are available. Once this has been set, the timer operation will be repeated at the same programs every week unless the WEEKLY TIMER is canceled.
WEEKLY TIMER ON/OFF setting
■ Switch the WEEKLY TIMER to ON/OFF by using the WEEKLY button.
- Press the WEEKLY button.
The WEEKLY TIMER becomes effective.
Every time the WEEKLY button is pressed, the display is switched in the order of:
When the WEEKLY TIMER is set to ON, the timer light (yellow) of the air-conditioner is on.
When the battery of the remote control is replaced or the ACL switch is pressed, the remote control is set to the initial state. Since the WEEKLY TIMER program is not set in the initial state, set the program according to the setting procedure.
NOTE
- The WEEKLY TIMER is switched to ON/OFF regardless of whether the air-conditioner is running or not.
- The ON TIMER operation of the WEEKLY TIMER is effective regardless of whether the air-conditioner is running or not. When the ON TIMER setting time is reached, the remote control operates according to the contents that are set. The remote control display is also switched to the operation contents that are set. The setting can be changed from the remote control after ON TIMER operation of the WEEKLY TIMER.
The following contents can be set by the ON TIMER. Operation mode, fan speed, temperature, airflow direction, ECONOMY, 3D AUTO, NIGHT SETBACK, SILENT Comfort start-up is not performed for WEEKLY TIMER ON TIMER operation. - OFF TIMER operation of the WEEKLY TIMER is effective only when the air-conditioner is running. When the time set by the OFF TIMER is reached, the air-conditioner stops.
- When multiple program numbers are set for the current day (day of the week), the operation is performed from the earliest time that is set.
- If any timer operation (ON TIMER, OFF TIMER or SLEEP TIMER) in addition to the WEEKLY TIMER operation is set, operation will not start according the ON TIMER/OFF TIMER settings specified with the WEEKLY TIMER operation. After canceling all other timer operations (ON TIMER, OFF
TIMER and SLEEP TIMER), switch on the WEEKLY TIMER operation. - The ON TIMER or OFF TIMER of the same time in the same day of the week cannot be set.
- In case WEEKLY TIMER setting is not sent to the unit, TIMER light will not turn on even if the WEEKLY button is pressed and is displayed on the remote control.
Setting mode <Individual setting>
Setting mode <Collective setting>
- Set the same operation contents to the same program number of all the days of the week. In Step 2 above, select “all of the days of the week”. When the contents that were individually set exist in the same program number, the contents are overwritten.
NOTE - If no operation is performed for 60 seconds in setting mode, the setting changes that have been made until then become invalid and the setting mode terminates. Subsequently, and all the program numbers (P1, P2, P3 and P4) blink for 10 seconds. (This blinking can not be observed if setting mode gets terminated while setting only one program.)
- At the end of the setting mode, point the remote control at the air-conditioner and press the PROGRAM button. In this case, check that the air-conditioner emits a reception buzzer sound three times (pip, pip, pip). If the buzzer sound is not emitted, set the mode to the setting mode again by pressing the PROGRAM button and check that the buzzer sound is emitted.
How to cancel the setting <Individual setting>
How to cancel the setting <Collective setting>
- When the same operation contents exist in the same program number of all the days of the week, collective erase is allowed. In Step 2 above, select “all of the days of the week”. The procedure from Step 3 is the same as that indicated above. If the operation contents have been changed or erased by individual setting after the collective setting described in page 22, causing setting content discrepancies among the days of the week, collective erase is not allowed.
HIGH POWER/ECONOMY operation
HIGH POWER operation
Pressing the HI/ECO button intensifies the operating power and initiates powerful cooling or heating operation for 15 minutes continuously. The remote control displays and the FAN SPEED display disappears.
NOTE
- During the HIGH POWER operation, the room temperature is not controlled. When it causes an excessive cooling orheating, press the HI/ECO button again to cancel the HIGH POWER operation.
- HIGH POWER operation is not available during the DRY and ON TIMER + OFF TIMER operations.
- When HIGH POWER operation is set after setting ON TIMER operation, HIGH POWER operation will start from the set time.
- After HIGH POWER operation, the sound of refrigerant flowing may be heard.
- When the following operations are set, HIGH POWER
operation will be canceled.
1 When the HI/ECO button is pressed again.
(The operation mode will be changed to the ECONOMY operation)
2 When the operation mode is changed.
3 When it has been 15 minutes since HIGH POWER
operation has started.
4 When the 3D AUTO button is pressed.
5 When the SILENT button is pressed.
6 When the NIGHT SETBACK button is pressed. - Not operable while the air-conditioner is OFF.
ECONOMY operation
Pressing the HI/ECO button initiates a soft operation with the power suppressed in order to avoid an excessive cooling or heating.
The unit operates 1.5°C higher than the setting temperature during cooling or 2.5°C lower than that during heating. The remote control displays and the FAN SPEED display disappears.
NOTE
- It will go into ECONOMY operation at the next time the airconditioner runs in the following case. 1
When the air-conditioner is stopped by ON/OFF button during ECONOMY operation.2 When the air-conditioner is stopped in SLEEP or OFF TIMER operation during ECONOMY operation. 3 When the operation is retrieved from SELF CLEAN or ALLERGEN CLEAR operation. - When the following operations are set, ECONOMY operation will be canceled.
1 When the HI/ECO button is pressed again.
2 When the operation mode is changed from DRY to FAN. - When the NIGHT SETBACK button is pressed.
- Not operable while the air-conditioner is OFF.
NIGHT SETBACK operation
- During the cold season, the room temperature can be maintained at a comfortable level during the absence, at night, and while the room is unattended. The air-conditioner maintains the constant temperature at about 10°C.

Press the NIGHT SETBACK button.
Every time the NIGHT SETBACK button is pressed, the display is switched in the order of:
Releasing procedure
Press the NIGHT SETBACK button or MODE button to turn off the NIGHT SETBACK display.
NOTE
- During NIGHT SETBACK operation, the air-conditioner maintains the set temperature at about 10°C.
- During NIGHT SETBACK operation, temperature settings cannot be made.
- Since the room temperature may change quite a bit, it is recommended that this be used when no one is in the room.
- During NIGHT SETBACK operation, HIGH POWER and ECONOMY operations cannot be set.
- When NIGHT SETBACK operation is canceled by pressing the NIGHT SETBACK button, the operation mode is reset to the mode immediately prior to the NIGHT SETBACK operation.
- With this function, the air-conditioner maintains the room temperature at 10°C during cold seasons (heating operation).
The air-conditioner does not maintain the temperature at 10°C during the hot/warm seasons (cooling operation).
When the room temperature is higher than 10°C, the fan will stop or operate at a low speed.
SILENT operation
- When the SILENT operation is set, the unit operates more silently reducing noise from the outdoor unit.
With the air-conditioner turned off, start the operation from Step 1. With the air-conditioner running, start from Step 2.
MENU function
■ MENU function is used for setting the display brightness adjustment, SELF CLEAN operation and PRESET operation.
Display brightness adjustment
■ This function can be used when it is necessary to adjust the brightness of unit display.
SELF CLEAN operation
■ SELF CLEAN operation should be run after AUTO, COOL and DRY operation to remove the moisture from inside of the indoor unit and control the growth of mold and bacteria.
PRESET operation
■ This operation can save the preferred setting for future operation. 
Maintenance
How to open and close the air inlet panel
Open
Place fingers at the corners on both sides of the panel and pull up the panel forward so that it will be open by about 70 degrees.
How to remove and install the air inlet panel
Removing
When removing the air inlet panel for internal cleaning or others, open the panel by 90 degrees and then pull it forward.
Close
Push both corners of the panel evenly and press further lightly at the center.
Installing
Insert the panel arm into the slot on the front panel from the position shown below, hold the panel at both ends of lower part, lower it downward slowly, then push it slightly until the latch works.
NOTE
Cooling/heating is affected by an air filter clogged up with dust etc., and the operation noise becomes louder. It may also use extra electricity. Please clean the air filter at appropriate intervals.
At the end of the season
- Perform the fan operation for 2 to 3 hours.
Dry the inside of the unit. - Stop the unit and turn off the power source.
The unit consumes approx. 4W even when the unit is not operating.
Turning off the power source will help saving energy consumption and cost. - Clean and reinstall the air filters.
- Clean both the indoor and outdoor units.
- Remove batteries from the remote control.
At the beginning of the season
- Ensure that the earth wiring is not snapped nor disconnected.
- Make sure that there is no corrosion or rust on the base frame of the outdoor unit.
- Make sure that there are no obstacles blocking the airflow around the air intake and outlet openings of the indoor and outdoor units.
- Turn on the power source.
- Insert batteries in the remote control.
Installing, inspecting and replacing the air-cleaning filter
- Open the air inlet panel and remove the air filters. Page 28
- Remove the filter holders, with the air-cleaning filter installed in the holders, from the air-conditioner.
- Remove the allergen clear filter (Light orange) from filter holder and inspect the filter. Use a vacuum cleaner to remove any dust or dirt from the allergen clear filter.
Replace the allergen clear filter if it cannot be cleaned or if it has been for about 1 year.
(The allergen clear filter should be replaced after about 1 year of used. However, the actual replacement period may vary depending on the conditions in which the filter
is used.) Remove the photocatalytic washable deodorizing filter (orange) from the filter holder and inspect the filter. Periodically, remove any dust or dirt from the photocatalytic washable deodorizing filter. If the photocatalytic washable deodorizing filter is particularly dirty, it may be washed with water. However, the filter is fragile so be sure to wash it installed in the filter holder to avoid damaging it. After washing the filter,place it in sunlight to dry. Placing the filter in sunlight restores the deodorizing effect. (Do not dispose of the filter holders. They are reusable. ) - Install the air-cleaning filter in the filter holders, and then install the filter holders in the air-conditioner.
NOTE
• The allergen clear filter and the photocatalytic washable deodorizing filter may be installed on either the right or left side of the air-conditioner.
• Install the allergen clear filter with the light orange side on front side. - Install the air filters and close the air inlet panel.
Page 28
CAUTION
• The heat exchanger may injure your fingers.
• Stand firmly on a stepladder or other stable object when removing the inlet panel and filters.
For replacing the air-cleaning filter, contact your dealer.
| Item | Feature | Color |
| Allergen clear filter | The power of enzyme is used to eliminate allergy- causing allergens that accumulate on the filter. | Orange |
| Photocatalytic washable deodorizing filter | Sources of odors on the filter are broken up, resulting in a deodorizing effect. | Light orange |
Proper installation
Suitable installation position
- Do not put any obstruction in front of the indoor unit, preventing proper ventilation and functioning.
- Do not install the unit in any of the following places:
− Where there is a danger of leaking flammable gases.
− Where there is substantial splashing of oil. - Malfunctioning due to corrosion may occur if the unit is installed in a spa where sulfide gases are generated, or in a seaside resort exposed to sea breezes. Contact your dealer.
- The air-conditioner and remote control must be at least 1 meter away from a TV set or radio.
- Drain the dehumidified liquid from the indoor unit into a spot that drains well.
Pay attention to operating noises - When you install the unit, take care to choose a place that can comfortably stand the weight of the unit and does not increase the operating noise or vibration. If vibration is transmitted through the house, fix the unit with the aid of vibration-proof pads between the unit and the fittings.
- Select a place where cold or hot air, operation noises from the indoor and outdoor units do not cause any inconvenience to your
neighbours. - Do not leave any obstacles near the outlet and inlet of the outdoor unit. This may cause malfunctioning and increased operating noise.
- If you hear an irregular noise during operation, contact your dealer.
Inspection and maintenance
Depending on operating environment, the inside of the air-conditioner may become dirty after a few year operations. This will reduce
performance. In addition to normal cleaning, we would recommend inspection and maintenance. (This may lead the air-conditioner to
having a longer life without any trouble.)
- Contact your dealer, or any distributor, for inspection and maintenance. (There will be a charge for this service).
- We would recommend inspection and maintenance to be carried out during the off-season.
- If the supply cord of this appliance is damaged, it must only be replaced by a repair shop appointed by the manufacturer, because special purpose tools are required.
Troubleshooting
Please carry out the following checks before making a service call.
The air-conditioner does not work at all.
- Has the power switch been turned off?
- Has the timer been set in the “ON” position?
- Is there a power failure or a blown fuse? Poor cooling or heating
- Have you set the thermostat at a suitable temperature?
- Is the air filter clean? (Not clogged?)
- Have you left any doors or windows open?
- Is there any direct sunlight entering the room?
- Is there a heat source in the room?
- Are there too many people in the room?
If the air-conditioner does not operate properly after you have checked the left points, or if any doubt still exists after you have consulted page 31, or if things happen as shown on page 32, switch off the power and contact your dealer.
Notice
Airflow
| Air is not blown out when starting the HEATING operation. RUN light blinks slowly (1.5 seconds ON. 0.5 seconds OFF) | Airflow has stopped to prevent blowing out of cold air until the indoor heat exchanger has warmed up. (2 lo 5 minutes) |
| Air is not blown out for 5 to 15 minutes or cool air is blown out for a moment at HEATING operation. RUN light blinks slowly (1.5 seconds ON. 0.5 seconds OFF) | When outdoor temperature is low and humidity is high, the unit sometimes performs defrosting automatically. Please wait. During defrosting, water or steam may release from the outdoor unit. |
| Air is not blown out when starting the DRY operation. (RUN light is on) | The indoor fan may stop to prevent re-evaporation of dehumidified moisture and to save energy. |
Noise
| You hear a slight gurgling sound. | This is caused by refrigerant moving within the unit. |
| You hear a slight cracking sound. | This is caused by heat expansion or contraction. |
| You hear a hissing or clicking sound. | This is caused by the operation of the refrigerant control valves or electric components. |
| Whistling noise is heard from the outdoor unit. | This means that the rotation speed of the compressor is increasing or decreasing. |
| Sometimes a ••Sh00000″ sound might come for a short time from the unit that is turned off. | This is the sound when operation of another indoor unit is stopped. |
Others’
| The unit does not restart immediately after you have stopped it. (RUN light is on) | Restart is blocked for 3 minutes after you have stopped the operation to protect the unit. The 3 minutes protection timer in the microcomputer automatically starts it up again. |
| Some steam releases during COOL operation. | This may occur if the room’s temperature and humidity are very high. It disappears as soon as the temperature and humidity decrease. Close all windows and doors to prevent outside humidity from entering. |
| There is a slight smell. | Air blown out during operation may smell. This is caused by tobacco or cosmetics adhering to the unit. |
| After a power cut, the unit does not restart even if power has been restored. | If the auto restart function is not set, the unit MI not restart automatically. Use the remote control to start the operation again. |
| Remote control signals are not received. | Remote control signals may not be received if the signal receiver on the air-conditioner is exposed to direct sunlight or other bright light. If so. block the sunlight or reduce the other light_ |
| Moisture may form on the air outlet grills. | If the unit is operated for a long tine in high humidity, moisture may form on the air outlet grit and start dripping. |
| Fan will not stop immediately after unit operation is stopped. | Indoor fan Fan will not stop after 2 hours if set to SELF CLEAN operation. Outdoor fan Fan will not stop about a 1 minute period in order to protect the unit. |
| RUN light stays on even though operation was stopped. | The RUN light illuminates during SELF CLEAN operation. Run light MI tum off when SELF CLEAN operation ends. |
Contact your dealer
■ Turn off the power switch immediately and inform your dealer in any of the following situations:
- The fuse or switch blows continuously.
- The cable becomes extremely hot.
The covering of the cable is cracked. - The TV, radio or other equipment starts to malfunction.
- A switch does not activate properly.
- A strange noise is heard during operation.
- When abnormalities occur, turn off the power source immediately and turn it on after 3 minutes. Restart the operation with ON/OFF button of the remote control and the abnormalities still continue.
- The RUN and TIMER lights on the unit display section blink quickly (0.5 seconds ON; 0.5 seconds OFF) or the lights do not work.
Auto restart function
■ Auto restart function records the operational status of the air-conditioner immediately prior to be switched off by a power cut, and then automatically resumes operations after the power has been restored.
■ The following settings will be canceled:
- Timer settings
- HIGH POWER operations
NOTE
• Auto restart function is set at on when the air-conditioner is shipped from the factory. Consult with your dealer if this function needs to be switched off.
• When power failure occurs, the timer setting is canceled. Once power is resumed, set the timer again.
About the multiple air-conditioners
Simultaneous Operation
- The air-conditioners cannot be in different operating modes at the same time, such as one unit being in the “Cool” mode and one unit being in the “Heat” mode.
- When conducting different operations, the air-conditioner that was operated first will be given priority, so the air-conditioner that is operated after that will conduct air blowing operation.
- When you want to give priority to the air-conditioner that was started later, either stop the air-conditioner that has priority or change the operation type of the unit operated first to match that of the unit operated second.
- When other indoor units are operating in different modes, the RUN light illuminates.
Automatic Operation - When the remote control operation switch is in the AUTO mode, the air-conditioner automatically selects either COOL or HEAT mode when operation is started depending on the room temperature.
- During simultaneous operation of air-conditioners, operation modes may be automatically changed in response to the temperatures of the individual rooms; this will result in the operation of the outdoor unit being stopped. In such a case, COOL or HEAT mode should be used instead of AUTO mode. (This is only relevant when more than one air-conditioner unit is being used.)
Refrigerant (oil) recovery operation - If the all of the indoor units are not operated at the same time for an extended period, the cooling or heating performance may temporarily decrease. This is in order to control the recovery of the refrigerant (oil) in the stopped indoor unit(s). At this time, the sound of refrigerant flowing may be heard from the stopped indoor unit(s).
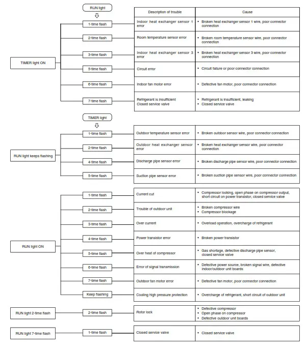
Self diagnosis function
■ We are constantly trying to do better service to our customers by installing such judges that show abnormality of each function as follows
EU DECLARATION OF CONFORMITY
MITSUBISHI HEAVY INDUSTRIES THERMAL SYSTEMS, LTD.
16-5 Konan 2-chome, Minato-ku, Tokyo, 108-8215, Japan declare under our sole responsibility that the apparatus referred to in this declaration conforms with the following directives. Description of apparatus: Split Type Air Conditioner Model name: Conformity model list
[Indoor Unit]
| Category | Model |
| SRK Series | SRK2OZS-W |
| SRK25ZS-W | |
| SRK35ZS-W | |
| SRK5OZS-W | |
| SRK2OZS-WB | |
| SRK25ZS-WB | |
| SRK35ZS-WB | |
| SRK5OZS-WB | |
| SRK2OZS-WT | |
| SRK25ZS-WT | |
| SRK35ZS-WT | |
| SRK5OZS-WT | |
| Category | Model |
| SRC Series | SRC2OZS-W |
| SRC25ZS-W | |
| SRC35ZS-W | |
| SRC5OZS-W |
Relevant EU Directives : Machinery 2006/42/EC
Applied Standards / Regulations : EN 378-2
EN 60335-1
EN 60335-2-40
Authorised Representative in the EU :
MITSUBISHI HEAVY INDUSTRIES AIR-CONDITIONING EUROPE, LTD.
5 The Square, Stockley Park, Uxbridge, Middlesex, UB11 1ET, United Kingdom
MITSUBISHI HEAVY INDUSTRIES THERMAL SYSTEMS, LTD.
16-5 Konan 2-chome, Minato-ku, Tokyo, 108-8215, Japan
http://www.mhi-mth.co.jp/en/
MITSUBISHI HEAVY INDUSTRIES AIR-CONDITIONING EUROPE, LTD.
5 The Square, Stockley Park, Uxbridge, Middlesex, UB11 1ET, United Kingdom
Tel : +44-333-207-4072
Fax: +44-333-207-4089
http://www.mhiae.com/
MITSUBISHI HEAVY INDUSTRIES AIR-CONDITIONERS AUSTRALIA, PTY. LTD.
9C Commercial Road Kingsgrove NSW 2208 PO BOX 318 Kingsgrove NSW 1480
Tel : +61-2-8571-7977
Fax: +61-2-8571-7992
https://www.mhiaa.com.au/








NOTE
Example: You prefer it to stop after 3 hours.


When the WEEKLY TIMER is set to ON, the timer light (yellow) of the air-conditioner is on.








NOTE
Automatic Operation

















