
HiNOR POCA06-10L Oxygen Concentrator
IMPORTANT SAFEGUARDS
Read this entire guide before using your POCA06-10L serial concentrator .Important information are highlighted by these terms throughout this guide:
DANGER :Urgent safety information for hazards that will cause serious injury or death.
WARNING: Important safety information for hazards that might cause serious injury.
CAUTION: Information for preventing damage to the product.
NOTE: Information which you should pay special attention.
Important safeguards are indicated throughout this guide; pay special attention to all safety Information.
DANGER-NO SMOKING SAVE THESE INSTRUCTIONS.
INTRODUCTION
This instruction guide will acquaint you with the POCA06-10L oxygen concentrator. Make sure that you read and understand this guide before operating your unit .Important safeguards are indicated throughout this guide ;pay special attention to all safety information . Contact your HINOR provider if you have any questions.
WARNING: For your safety, the oxygen concentrator must be used according to the prescription determined by your physician.
DANGER: Oxygen causes rapid burning. Do not smoke while your oxygen concentrator is operating, or when you are near a person utilizing oxygen therapy. Do not use within 5 feet (1.6m) of hot ,sparking objects or naked sources of flame.
WHY YOUR PHYSICIAN PRESCRIBED SUPPLEMENTAL OXYGEN
Today, many people suffer from heart, Lung, and other respiratory diseases .Many of these people can benefit from supplemental oxygen therapy. Your body requires a steady supply of oxygen to function properly. Your physician prescribed supplemental oxygen for you because you are not getting enough oxygen from room air alone .Supplemental oxygen will increase the amount of oxygen that your body receives. Supplemental oxygen is not addictive .Your physician prescribed a specific oxygen flow to improve symptoms such as headaches, drowsiness, confusion, fatigue, or increased irritability. If these symptoms persist after you begin your supplemental oxygen program, consult your physician.
HOW YOUR POCA06-10L OXYGEN CONCENTRATOR WORKS
Oxygen concentrators are the most reliable, efficient, and convenient source of supplemental oxygen available today, the oxygen concentrator is electrically operated. The unit separates oxygen from room air which allows high-purity supplemental oxygen to be delivered to you through the oxygen outlet, although the concentrator filters the oxygen in a room, it will not affect the normal amount of oxygen in your room.
IMPORTANT PARTS OF YOUR OXYGEN CONCENTRATOR
Please take time to familiarize yourself with your POCA06-10L oxygen concentrator before operating Before using this product, make sure you have the following items:
In the box
- 1 User manual.
- 1 Oxygen concentrator set.
- 1 Adapter-for connect Humidifier.
- 1 Oxygen Outlet ConnectorFront View (Figure 1)
- 1. Power Switch
- I =ON
- O=OFF
Overview

- Circuit breaker – (selected units) resets the unit after electrical overload shutdown.
- Humidifier Holder
- Oxygen outlet—oxygen is dispersed through this port
- Flow meter
- Flow meter knob
- Monitor-indicate the condition of oxygen purity status and hour meter
- Green Power light—illuminates when your concentrator is operating
- Normal Oxygen (green) light-(the LED display normal oxygen)/optional
- Low Oxygen (yellow) light-(the LED display low oxygen)/ optional
- Red Service Required light—when illuminated contact your HINOR provider
- castor
- Back View (Figure 2)
- Air filter—prevents dirt, dust, and lint from entering your unit
- Product specification lable
- Exhaust
- Power cord and /or IEC power connector
SETTING UP YOUR OXYGEN CONCENTRATOR
- Position your unit near an electrical outlet in the room where you spend most of your time.
DANGER
Keep the oxygen concentrator at least 5 feet (1.6 m) from hot, sparking objects or naked sources of flame.
NOTE: Do not connect to an electrical outlet controlled by a wall switch. NO other appliances should be plugged into the wall outlet. - Position your unit at least 6 inches (16 cm) from walls, draperies, or any other objects that might prevent the proper flow of air in and out of your oxygen concentrator. The Oxygen concentrator should be located so as to avoid pollutants or fumes.
BEFORE OPERATING YOUR OXYGEN CONCENTRATOR
- Before operating your unit always checks to be sure the air filter (located on the back of your unit) is clean .Proper cleaning of this filter is discussed in the Caring for Your Concentrator section on page 7.
- Attach the appropriate oxygen accessories to the oxygen outlet.
Oxygen Tubing Connection:- Attach the oxygen tubing directly to the connector.

- Attach the oxygen tubing directly to the connector.
Oxygen Tubing Connection with Humidification:
- If your physician has prescribed an oxygen humidifier as part of therapy,
- Follow these steps:
- Fill the humidifier bottle with distilled water. Do not overfill.
- Attach the oxygen tubing directly to the humidifier bottle outlet fitting.
Your physician has prescribed either a nasal cannula, catheter, or face mask, in most cases, they are already attached to the oxygen tubing .If not, follow the manufacture’s instructions for attachment.Remove the power cord completely from the line cord strap, Make sure the power switch is in the “Off” position, and insert the plug into the wall outlet; the unit is double insulated to guard against electric shock.
WARNING
Improper use of the power cord and plugs can cause a burn, fire or other electric shock hazards .Do not use the unit if the power cord is damaged.
OPERATING YOUR POCA06-10L OXYGEN CONCENTRATOR
DANGER
Oxygen causes rapid burning. Do not smoke while your oxygen concentrator is operating, or when you are near a person utilizing oxygen therapy. Keep the oxygen concentrator at Least 5 feet (1.6 m) from hot, sparking objects or naked sources of flame.
- Press the power switch to the “On” position, when the unit is turned on, the Power light will illuminate, and the patient alert system Service Required light and audible signal — will briefly alarm.
NOTE: If the Service Required light illuminates and the audible signal alarms but the unit is not operating, there is no power to the unit, Refer to the Minor Troubleshooting chart not page 8 and contact your HINOR provider if necessary.
NOTE: If an audible low-frequency vibration sound is detected, the unit is not operating properly. Refer to the Minor Troubleshooting chart on page 8, and contact your HINOR provider if necessary. - Check the flow meter to make sure that the flow meter ball is centered on the line next to the prescribed number of your flow rate.
CAUTION- It is very important to follow your oxygen prescription. Do not increase or decrease the flow of oxygen-consult your physician.NOTE: Your HINOR provider may have preset the flow meter so that it can not be adjusted.NOTE: If the flow meter knob is turned clockwise, the flow decreases (and eventually will shut off the oxygen flow).If the knob is turned counterclockwise, the flow increases.
RESERVE OXYGEN SYSTEM
As a precaution, your HINOR provider may supply you with a reserve oxygen system. If your unit loses electrical power or fails to operate correctly, the patient Alert System will sound to signal you to switch to your reserve oxygen system (if provided )and contact your HINOR provider.
CARING AND PERIODIC MAINTENANCE FOR YOUR UNIT
Not Use no lubricants, oils or grease.
WARNING
Before attempting any cleaning procedures, turn the unit “off.”
Oxygen Humidifier (reusable bottles)
If your physician has prescribed humidification, clean your humidifier bottle daily. Follow the instructions Supplied by the manufacturer, If no cleaning instructions were supplied, follow these steps
- Wash the humidifier in a solution of hot water and dishwashing detergent.
- Soak the humidifier in a solution of one part white vinegar to three parts hot water for 30 minutes. This solution acts as a germicidal agent.
- Rinse thoroughly with warm tap water and refill with distilled water for use. Do not overfill.
Cannula, Mask and Tubing
Clean and replace the cannula, mask, and tubing as instructed by your HINOR provider.
Air Filter and Oxygen Outlet Connector
The air filter and connector should be cleaned at least once a week. To clean, follow these steps:
- Remove the air filter, located on the back of the unit .Remove the oxygen outlet connector (if used ).
- Wash in a solution of warm water and dishwashing detergent.
- Rinse thoroughly with warm tap water and towel dry .The filter should be completely dry before reinstalling.
CAUTION- To prevent product damage, do not attempt to operate the unit without the air filter or while the filter is still damp.
Exterior Cabinet
WARNING
To avoid electric shock, do not remove the concentrator cabinet. The cabinet should only be removed by a qualified HINOR technician. Do not apply liquid directly to the cabinet or utilize any petroleum-based solvents or cleaning agents.
Clean the concentrator exterior cabinet by using a damp cloth or sponge with a mild house-hold cleaner and wipe it dry.
Periodic Maintenance for your unit
- Clean the air filter at least once a week. The steps of cleaning see the Air Filter and Oxygen Outlet Connector.
- Change the felt of the Inlet Pre-Filter at least once half a year. Follow those steps:
Open the Important Safeguard pull out the Inlet Pre-Filter, Pull out the old felts from the Inlet Pre-Filter (two sides). Then insert the new felts to the Inlet Pre-Filter each side, insert the Inlet Pre-Filter and close the Important Safeguard. - Change the Bacterial Filter at least once a year. You can not change this by yourself, you must contact your HINOR Medical provider change this for you.
Accessories
The accessories below are approved for use with POCA06-10L Oxygen Concentrators:
| object/part No. | manufacturer/trademark | type/model | technical data | mark(s) of conformity1) |
| Bubble Humidifier(200 ml Capacity) | SALTER LABS | REF7100 | ABS,PP | CE 0482 |
| Cannula (disposable) | Hsiner Co,.Ltd | 3583 | PVC | CE 0434 |
| Cannula w/ 2.1m(7 ft) Oxygen Tubing (disposable) | Hsiner Co,.Ltd | 3031 | PVC | CE 0434 |
| Oxygen Tubing (disposable) | Hsiner Co,.Ltd | 30302 | PVC | CE 0434 |
NOTE: The use of certain humidifiers and accessories not specified above may impair the oxygen concentrator’s performance.
NOTE: If the Service Required light illuminates and the audible signal alarms but the unit is not operating, there is no power to the unit. Refer to the Minor Troubleshooting chart on page 8 and contact your HINOR Medical provider.
The POCA06-10L Device is a device within your concentrator that monitors the oxygen produced by your unit. When the units is turned “ON,” all four light (Power, Low Oxygen, Normal Oxygen, and Service Required) on the front panel will illuminate briefly. After a few seconds, only the Power and Normal Oxygen lights will remain lit.
The lights on the front panel are defined as follows:
- Green Normal Oxygen light-acceptable oxygen level.(The LED will display “Normal Oxygen”)
- Yellow Low Oxygen light-below an acceptable oxygen level. (The LED will display “Low Oxygen”)
If the oxygen purity falls below the acceptable level, the green Normal Oxygen light will shut off and the yellow Low Oxygen light will illuminate. Switch to your reserve oxygen system. Refer to the Troubleshooting section in this guide on page 8 and contact your HINOR provider. As an added safety feature should the oxygen purity continue to drop, an intermittent audible signal will sound. Contact your HINOR provider immediately. Do not attempt any other maintenance.
MINOR TROUBLESHOOTING
| Symptom | Possible Cause | Remedy |
| Unit does not operate. Power light is off when the power switch is “on .”Audible alarm is pulsing and Service Required light is flashing. | Power cord not properly inserted into wall outlet. | Check power connection at the wall outlet. On 220 volt units, check the back of the unit. |
| No power at wall outlet. | Check your home circuit breaker and reset if necessary. Use a different wall outlet if the situation occurs again. | |
| Oxygen concentrator circuit breaker activated (selected units). | Press the concentrator circuit breaker button (if equipped) located below the power switch. Use a different wall outlet if the situation occurs again. | |
| Unit operates; the Power light is on when the Power switch is “On”. Red Service Required light is illuminated. Audible alarm may be sounding. | Air filter is blocked. | Check the air filter. If the filter is dirty, wash it following the cleaning instructions on page 7. |
| Exhaust is blocked. | Check the exhaust area; make sure there is nothing restricting the unit exhaust. | |
| Blocked or defective cannula, catheter, face mask or oxygen tubing. | Detach cannula, catheter, or face mask .If proper flow is restored, clean or replace if necessary. Disconnect the oxygen tubing at the oxygen outlet. If proper flow is restored, check oxygen tubing for obstructions or kinks. Replace if necessary | |
| Blocked or defective humidifier bottle. | Detach the humidifier from the oxygen outlet .If proper flow is obtained, clean or replace humidifier. | |
| Flow meter set too low. | Set flow meter to prescribed flow rate. If the above remedies do not work, contact your HINOR provider | |
| Unit operates the power light is on when power switch is “on “, audible low-frequency vibration sound is detected. | Turn your unit “off”, Switch to your reserve oxygen system, and contact your HINOR provider immediately. | |
| If any other problems occur with your oxygen concentrator. | Turn your unit “Off”.Switch to your reserve oxygen system, and contact your HINOR provider immediately. | |
| Both the green Normal Oxygen and the yellow Low Oxygen lights are either on or off. | O.C.I malfunction | Contact your HINOR provider. |
| Yellow Low Oxygen light is on or the yellow low Oxygen light is on and the intermittent audible Signal is sounding. | Flow meter is not properly yet. | Ensure the flow meter is properly set to the prescribed. |
| Air filter is blocked. | Check the air filter. If the filter is dirty, wash it following the cleaning instructions on page 7. | |
| Exhaust is blocked. | Check the exhaust area: make sure there is nothing restricting the unit exhaust. | |
| Red Service Required light is on and an intermittent audible signal is sounding. | Flow meter is not properly yet. | Ensure the flow meter is properly set to the prescribed. |
| Air filter is blocked. | Check the air filter. If the filter is dirty, wash it following the cleaning instructions on page 7. | |
| Exhaust is blocked. | Check the exhaust area: make sure there is nothing restricting the unit exhaust. If the above remedies do not work, contact your HINOR provider. |
SPECIFICATIONS
| No. | Item | Rating |
| 1. | Delivery Rate (Lower delivery rates available for low application) | 2 to10 LPM |
| 2. | Outlet Pressure | 12 psi ( 83 kpa ) |
| 3. | Electrical Rating | 220 V, 50 Hz, 3.4A (Max.) |
| 4. | Oxygen Percentage | 2~9 LPM 93%±2%,10 LPM 90%±3% |
| 5. | Average oxygen concentration | at 2 l/min: 94% |
| 6. | Operating Environment Range | Temperature 10℃ to 40℃, Humidity 15% to 95% Atmospheric pressure 50~106 kpa (7.3~15.4 psi) |
| 7. | Weight | 19.0kg |
| 8. | Sound Level ( ISO 8359:1996 from front ) | ≤55dbA |
| 9. | Dimensions | 342mm(L) x368mm(W) x572mm(H) |
| 10. | Operating System | Time Cycle / Pressure Swing |
| 11. | Storage Conditions | Temperature -40℃ to 70℃ Humidity 10% t0 100% Atmospheric pressure 50~106 kpa (7.3~15.4 psi) |
| 12. | Equipment Class and Type | The type of protect against electric shock: Class II The degree of protect against electric shock: TYPE B Type B Applied part |
| 13. | Pressure Relief Valve | 276 kPa±34.5 kPa |
| 14. | Lifetime | 3 Years |
| 15. | Warranty Period limit | 1 Year |
SYMBOL
![]() | General warning, caution, risk of danger ,Please read the instructions carefully before operating the product. |
| Type B applied part | |
![]() | Class II equipment |
| Manufacture’s serial number | |
| Authorized representative in the European community | |
| Date of manufacture | |
| Manufacture | |
![]() | Waste Electrical and Electronic Equipment Directive 2002/96/EC (WEEE Directive) after over the valid term within 3 years, the machine should be treated on local law or regulation requirement. To avoid hurt users and pollute environment. |
![]() | The equipment bears CE mark CE0434 indicating its conformity with the provision of Council Directive 93/42/EEC concerning medical devices, and fulfills the essential requirement of Annex I of this directive. |
| FRAGILE Contents of the transport package are fragile therefore it shall be handled with care. |
![]() | THIS WAY UP Indicates correct upright position of the transport package. |
![]() | KEEP AWAY FROM RAIN Transport package shall be kept away from rain. |
![]() | Non-ionizing electromagnetic radiation |
ELECTROMAGNETIC IMMUNITY
| Guidance and manufacturer’s declaration – electromagnetic immunity | |||
| The POCA06-10L OXYGEN CONCENTRATOR is intended for use in the electromagnetic environment specified below. The customer or the user of the POCA06-10L OXYGEN CONCENTRATOR should assure that it is used in such an environment. | |||
| Immunity test | IEC 60601 test level | Compliance level | Electromagnetic environment-guidance |
| Conducted RF IEC 61000-4-6
Conducted RF IEC 61000-4-3 | 3 Vrms 150 kHz to 80 MHz
3 V/m 80 MHz to 2.5 GHz | 3 V
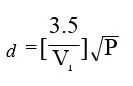
3 V/m | Portable and mobile RF communications equipment should be use no closer to any part of the POCA06-10L OXYGEN CONCENTRATOR including cables, than the recommended separation distance calculated from the equation applicable to the frequency of the transmitter. Recommended separation distance
Where p is the maximum output power rating of the transmitter in watts (W) according to the transmitter manufacturer and d is the recommended separation distance in metres (m). Field strengths from fixed RF transmitters, as determined by an electromagnetic site survey, ashould be less than the compliance level in each frequency range.Interference may occur in the vicinity of equipment marked with the following symbol: |
| NOTE 1 :At 80 MHz and 800 MHz, the higher frequency range applies. NOTE 2 :These guidelines may not apply in all situations. Electromagnetic is affected by absorption and reflection from structures, objects and people. | |||
| |||
DECLARATION OF CONFORMITY
Manufacturer: Hinor Medical Industry Company Limited
ADDRESS: NO.222 SHENZHEN ROAD QINGDAO SHAN DONG, CHINA Product Designation: Oxygen Concentrator
Catalog Number: POCA06-10L


Your physician has prescribed either a nasal cannula, catheter, or face mask, in most cases, they are already attached to the oxygen tubing .If not, follow the manufacture’s instructions for attachment.Remove the power cord completely from the line cord strap, Make sure the power switch is in the “Off” position, and insert the plug into the wall outlet; the unit is double insulated to guard against electric shock.






















