victron energy Filax 2 Ultra Fast AC Transfer Switch

General safety warnings
WARNING
- The product has no internal user-serviceable components.
- Do not remove the front panel or operate the product if the front panel has been removed.
- All servicing must be undertaken by qualified personnel.
- Before installing the equipment, read the installation instructions in the Installation [8] chapter of this manual.
- Ensure that the equipment is used under the correct ambient conditions.
Introduction
The Filax is an ultra-fast AC transfer switch. It ensures that a sensitive or critical load, such as computers or mission critical equipment, is always powered, either from the priority source or from an alternate source. If the priority source has failed, or is outside voltage or frequency specification, the Filax will transfer the load from the priority source to an alternate source. The transfer time is less than 16 milliseconds so that the load is always powered and continues operation without disruption. Once the priority source has been restored and is within specification for at least 30 seconds, the Filax will transfer the load back from the alternate source to the priority source. The transfer time is again less than 16 milliseconds so that the load continues operation without disruption. The priority source is typically the grid or a generator and the alternate source is typically an inverter or an inverter/charger. The Filax is an open transition (break before make) transfer switch. It can be configured for use in either 50 Hz or 60 Hz systems.
The Filax is available in 2 models
- Filax 2 Transfer Switch CE 230V/50Hz-240V/60Hz
- Filax 2 Transfer Switch CE 110V/50Hz-120V/60Hz

- The Filax is not designed to supply high power equipment or equipment with a high current surge, like electric motors, washing machines, etc.
System design
The Filax is typically used in backup systems to ensure that the critical load is always powered by an AC source. The function of the Filax is as follows: The critical load is normally supplied by the priority source. In case the priority source is interrupted, the load is transfered to the alternate source. Once the priority source is restored and is stable for 30 seconds, the load is transfered back to the priority source.
This chapter describes a few different type Filax system designs. Note that the Filax should not be used in systems where ultra fast switching is not needed and where typically a manual or a more general transfer switch is used. An example of such a system is a boat where there are two possible AC sources, like shore power and the generator, both are feeding into the onboard inverter/ charger system. In these systems the function of the transfer switch is to detect if one of those sources is active and if active, to pass the active source on to the loads. For these systems use a Quattro inverter/ charger or a VE Transfer Switch 5KVA or 10KVA.
Grid (or generator) with inverter backup: If the grid fails (blackout) or if the generator fails (no fuel) the Filax will transfer the load to the inverter. Once the grid (or the generator) supply is restored, the Filax will transfer the load back to the grid (or generator).

Grid (or generator) with inverter backup and battery charger: If an inverter is used as alternate source it is important that the battery is kept in a good working condition. The battery should be timely and regularly recharged. Do this by adding an AC charger or a solar charger to the system.

Grid (or generator) with inverter/charger backup: It is also possible to achieve backup (UPS) functionality by using a Victron inverter/charger unit (without a Filax). The inverter/ charger by itself will already provide backup (UPS) functionality. In case an extra level of redundancy is required a Filax can be added to an inverter/charger system. This provides backup in case the inverter/charger develops a fault. It also allows for inverter/charger replacement without interrupting the supply to the critical load.

Gird (or generator) with two inverter/chargers backup: When the generator or grid has failed, the first inverter/charger will power the load. In case the priority inverter/charger has stopped operating or has developed a fault, the Filax will transfer the load to the second inverter/charger. This adds an additional level of redundancy, compared to the previous system.
There are two ways of designing a system like this. Either with an individual battery bank, one for each MultiPlus, or using a single battery bank for both MultiPlus units.

Consider adding isolation switches
It is good practice to add isolation switches before and after each inverter/charger. This will allow the inverter/charger to be easily isolated and removed should it need maintenance or need to be replaced, without losing power to the critical load.

Consider adding battery monitoring
It is important to monitor the battery. If the grid or generator supply is not restored, the inverter or inverter/charger will discharge the battery. Eventually the battery voltage will drop to such an extend that the inverter or inverter/charger stops operating. To monitor the state of charge of the battery or to get an advanced warning in case of low battery voltage or low state of charge add a battery monitor to the system. The BMV battery monitor is equipped with a relay, that can be programmed to engage or disengage depending on battery state of charge or battery voltage. The signal of the relay can be used for monitoring purposes. If remote monitoring is needed, the BMV or the SmartShunt battery monitor can be connected to a monitoring device, such as the Globallink 520 or a GX device, like the Cerbo GX. This allows for remote monitoring of the battery voltage, state of charge and alarms (for a GX system see next paragraph).

Consider adding full system monitoring
For full system monitoring add a GX device, like the Cerbo GX. The GX device does not monitor the Filax directly, but it monitors the Victron inverter/chargers, battery monitors and/or solar chargers that are part of the Filax system. System monitoring can be done locally via WiFi, Ethernet, a display or GX Modbus-TCP, or remotely via the Internet and the VRM portal.

Installation
Physical installation
- Install the Filax in a dry and well-ventilated area.
- Mount the Filax using the 4 holes at the base of the casing.
- Open or close the casing by removing the 4 screws at the top of the casing lid.
Electrical installation
Electrical installation safety warnings

- Ensure that all AC powered sources are switched off or have been disconnected during the installation.
- The AC inputs and AC output wiring must be protected by fuses or miniature circuit breakers (MCB) which are suitable for the applied wire cross-section.
- Ensure that both the priority and the alternate AC inputs are protected against current levels higher than 16A.
- External earth leakage switches (RCD or RCCB) must be integrated in the Filax electrical system.
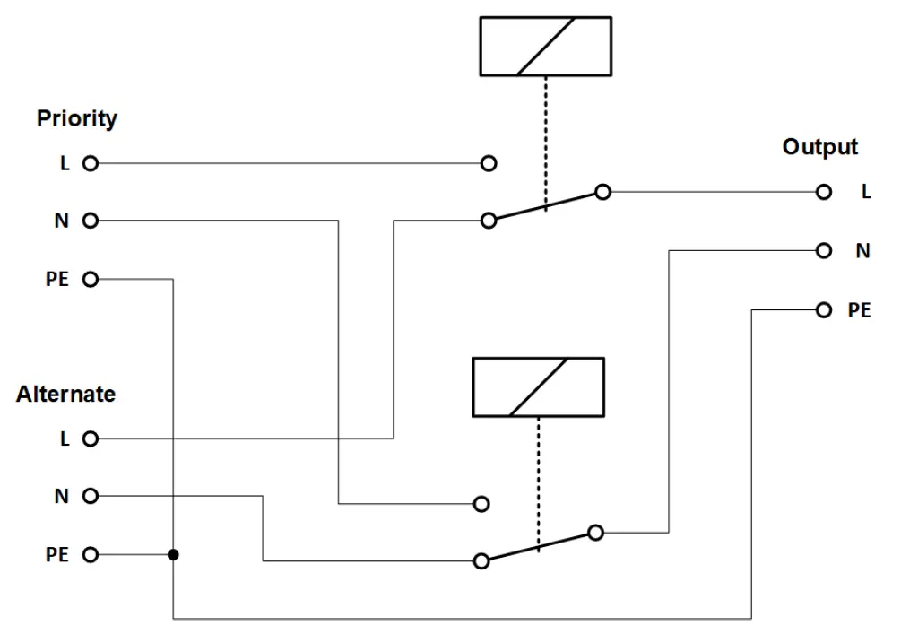
- Connect the priority AC source to the PRIORITY: L, N and PE terminals.
- Connect the alternate AC source to the ALTERNATE: L, N and PE terminals.
- Ensure that both the priority and alternate AC inputs are protected against current levels higher than 16A.
- Connect the AC load to the OUTPUT: L, N and PE terminals.
Configuration
Wire links

- If the AC load is less than 850W, remove the LINK+HIGH POWER: L and N wire links.
- If the AC load is more than 850W, keep the LINK+HIGH POWER: L and N wire links in place.
Frequency jumper

- If the installation frequency is 50 Hz, remove the frequency jumper, or place it on only one of the pins (this is the default setting).
- If the installation frequency is 60 Hz, place the jumper on both pins.
Operation
On first power up
The Filax does not have an on/off switch. As soon as the priority source and/or the alternate input is powered, the Filax will power up. On first power up the yellow “alternate source” LED will be on. This is even the case when the priority source is powered. After a 30 second wait, the “alternate source” LED will turn off and the “priority source” LED will turn on. The loads are now powered by the priority source and the Filax is operational.
General operation
| Operational mode | LEDs | LEDs |
|
Normal operation. The load is supplied by the priority source supplied. |
Yellow “priority source” LED | ![]() |
|
The priority source has failed or has been interrupted, the load is now powered by the alternate source. The transfer takes less than 16ms. | Yellow “alternate source” LED together with the Red “priority fault” LED | ![]() |
| The priority source is back online, but the load is still supplied by the alternate source. The Filax is analyzing if the priority source is stable before it transfers the load back to the priority source, this will take approximately 30 seconds. |
Yellow “alternate source” LED | ![]() |
|
Normal operation. The load transfer back to the priority source is complete and the load is supplied by the priority source. |
Yellow “priority source” LED | ![]() |
The load is transferred from the priority source to the alternate source when
- The voltage of the priority source drops below the threshold value.
- The frequency of the priority source drops below the low frequency threshold value, or increases beyond the high frequency threshold value.
The load is transferred from the alternate source, back to the priority source when
- The priority source has operated within the voltage and frequency reverse switching limits for 30 seconds.
For the voltage and frequency thresholds, see the Technical specifications [13] chapter.
Troubleshooting and Support
Consult this chapter in case of unexpected behaviour or if you suspect a product fault. The correct troubleshooting and support process is to first consult the common issues as described in this chapter. Should this fail to resolve the issue, contact the point of purchase for technical support. If the point of purchase is unknown, refer to the Victron Energy Support webpage.
Incorrect voltage or frequency switching thresholds
Check if the frequency jumper has been set correctly. If the jumper has not been set for the correct frequency, the voltage and frequency switching threshold levels will be incorrect. See the Technical specifications [13] chapter for the voltage and frequency thresholds for each frequency setting.
Filax will not switch to the priority source
If the red priority fault LED is lit, this means that the Filax is not connected to the priority AC source.
- Check if the priority supply is available and is within voltage and frequency thresholds.
- Check the priority source wiring, circuit breakers, RCDs and fuses.
Not that if the red priority fault LED is not lit, the priority source is available and the filax should connect to it after 30 seconds.
RCD trips when Filax is transferring load
The Filax is a double pole make before break transfer switch. For correct RCD operation, both inputs should be seen as individual power sources. As such, both the input sources need to have a neutral-earth link. The neutrals are not allowed to interconnect between the inputs or between an input and the output.
Warranty
This product has a 5-year limited warranty. This limited warranty covers defects in materials and workmanship in this product and lasts for five years from the date of original purchase of this product. To claim warranty the customer must return the product together with the receipt of purchase to the point of purchase. This limited warranty does not cover damage, deterioration or malfunction resulting from alteration, modification, improper or unreasonable use or misuse, neglect, exposure to excess moisture, fire, improper packing, lightning, power surges, or other acts of nature. This limited warranty does not cover damage, deterioration or malfunction resulting from repairs attempted by anyone unauthorized by Victron Energy to make such repairs. Non-compliance with the instructions in this manual will render the warranty void. Victron Energy is not liable for any consequential damages arising from the use of this product. The maximum liability of Victron Energy under this limited warranty shall not exceed the actual purchase price of the product.
Technical specifications
| Electrical specifications | 230V / 50Hz | 240V / 60Hz | 110V / 50Hz | 120V / 60Hz |
| Maximum current | 16A | |||
| Priority source: low voltage switching threshold | 180Vac | 88Vac | 90Vac | |
| Priority source: low voltage reverse switching threshold | 188Vac | 92Vac | 94Vac | |
| Priority source: low frequency switching threshold | 45Hz | 46Hz | 45Hz | 46Hz |
| Priority source: low frequency reverse switching threshold | 47Hz | 52Hz | 47Hz | 52Hz |
| Priority source: high frequency switching threshold | 60Hz | 68Hz | 62Hz | 68Hz |
| Priority source: high frequency reverse switching threshold | 56Hz | 63Hz | 58Hz | 63Hz |
| Priority source: maximum continuous input voltage | 260Vac | 130Vac | ||
| Alternate source: maximum continuous input voltage | 260Vac | 130Vac | ||
| Maximum load transfer time and reverse transfer time | 16ms | |||
| Reverse switching delay (seconds) | 30s | |||
| Operating temperature range | -20°C up to +50°C | |||
| Maximum (non-condensing) humidity | 95% | |||
Mechanical specifications
| Material | ABS |
| Colour | RAL7035 (light grey) |
| Protection category | IP65 |
| Dimensions | 12 x 255 x 75mm (0.4 x 10 x 2.95 in) |
| Weight | 0.8kg (28.2oz) |
Standards
| Safety | EN 60335-1, EN 60335-2-29 |
| Emission and immunity | EN55014-1, EN 55014-2, EN 61000-3-3,EN 61000-6-3, EN 61000-6-2,EN 61000-6-1 |
Appendix
Enclosure dimensions


Internal wiring diagram

References
VRM Portal - Victron Energy
Battery monitors - Victron Energy
BMV-712 Smart - Victron Energy
SmartShunt - Victron Energy
Inverter/chargers - Victron Energy
Quattro - Victron Energy
GX Modbus-TCP Manual [Victron Energy]
Cerbo GX - Victron Energy
GlobalLink 520 - Victron Energy
GX Touch 50 & GX Touch 70 - Victron Energy
Support - Victron Energy
VE Transfer Switch - Victron Energy























