ITT Conoflow GH40 Series Vacuum Service Regulators

WARNING
Conoflow’s products are designed and manufactured using materials and workmanship required to meet all applicable industry standards. The use of these products should be confined 1o services specified and recommended in the Conofiow catalogs, instructions or by Conoflow application engineers (i.e. exceeding pressure-temperature rating or using the device for ser vIces other than those specified) To avoid personal injury or equipment damage due to misuse or misapplication of a product. it is necessary to select the proper materials of construction and pressure. temperature ratings which are consistent with performance requirements.
ITT CONOFLOW Highway 78 P.O. Box 768 St. George, South Carolina 29477-0768
Telephone: (803) 563-9281
FAX (803) 563-2131
PRINCIPLE OF OPERATION
Refer To Figure 1
Turning the handwheel changes the force exerted by the range spring on the diaphragm assembly. In equilibrium, the torque exerted by the range spring is balanced by the force from the output pressure acting underneath the diaphragm assembly. An unbalance between the output pressure and the set pressure causes a corresponding reaction in the diaphragm and nozzle assemblies. If the output pressure rises above the set pressure, the diaphragm seat is lifted from the plug venting the excess pressure to the atmosphere until equilibrium is reached. If the output pressure drops below the set pressure, the unbalanced force from the range spring acts through the diaphragm assembly unseating the nozzle plug. This allows supply pressure to flow through the nozzle to the downstream port increasing the out put pressure. The output pressure increases until it balances the force on the diaphragm assembly by the range spring. At equilibrium, the pluy assumes a position whitin supplies iiié required flow while maintaining the output pressure at the set pressure.
Refer to Figure 2
For applications where positive shut-off and minimum air con sumption are required, molded rubber seats on the top and bot tom of the nozzle plug are available.
Reter To Figure 3
A no bleed/no relief diaphragm assembly is used to prevent the process media from exhausting to atmosphere. This option is typically used with liquids and toxic gases. The principle of opera- tion is the same as above except that excess output pressure is not vented to atmosphere. Instead, as the diaphragm seat lifts off of the plug and the nozzle closes, the excess pressure is re lieved downstream.
A molded rubber seat on the nozzle plug is available for applications where positive shut-off is required.
INSTALLATION
- CAUTION: Maximum Supply Pressure is 200 PSI{1379 kPa). Stainless Steel Models 300 PSI(2068 kPa)
- Unit has two 1/4″ N.P.T. connections. The inlet connection is marked “IN”. IT IS RECOMMENDED THATA FILTERED AIR SUPPLY BE USED.
- Check all connections for leakage after installation.
- The adjusting screw should be kept well lubricated with grease.
DIMENSION
NOTES
- ALL CONNECTIONS ARE 1A” NPT
- DIMENSIONS IN MILLIMETERS OPTION ACCESSORY, ONLY SUPPLIED WHEN SPECIFIED
WARNING – TECHNICAL DATA SUBJECT TO EAR CONTROLS
This document contains technical data whose export is restricted by the Export Administration Act of 1979, as amended (Title 50, U.S.C., App. 2401, et seq.) Violation of this export control law is subject to severe criminal penalties.
MAINTENANCE

Remove air supply pressure and bleed off output pressure prior to pertorming maintenance.
Periodic replacement of the diaphragm assembly and noz zle assembly is recommended for services where the unit is on stream continuously and where consistent, high ac- curacy regulation is required. The frequency of replacement will depend on the nature of the service, cleanliness of air, humidity of the air, etc.
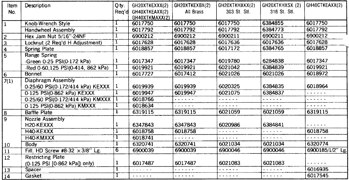
To replace diaphragm assembly, loosen adjustment (knob or handwheel) until spring tension is relieved. Remove six Screws (11) and lift oft bonnet (6), spring plate (4), spring (5) and diaphragm assembly (7). Place new diaphragm assembly (7) over body (10) with diaphragm plate up. Place spring (5) and spring plate (4) on diaphragm assembly (7), re-install bon- net (6) and tighten down six Screws (11). The six screws (11) should be tightened alternately.
NOTE: On the GH40CT version spacer (13) and gasket (14) must be placed over body prior to installing new diaphragm assembly.
To replace the nozzle assembly (9) proceed as above, also removing baffle plate (8). Use % ” socket wrench to remove and replace nozzle assembly to avoid damage to the noz- Zle. NozZle assembly may be cleaned by immersion in a suitable solvent and blowing dry with air stream.
NOTES
- Recommended Spare Parts.
- For definition of catalog number, refer to Sales Bulletin C-2004.
- When ordering spare parts, specify complete cataog no., item no. and part no. This will permit positive identification and rapid handling of order.
WARNING: MANUFACTURED WITH (1, 1, 1-TRICHLOROETHANE), A SUBSTANCE WHICH HARMS PUBLIC HEALTH AND ENVIRONMENT BY DESTROYING OZONE IN THE UP PER ATMOSPHERE.























