METER GROUP Mini Disk Infiltrometer

INTRODUCTION
Thank you for choosing the Mini Disk Infiltrometer from METER Group. The Mini Disk Infiltrometer measures soil hydraulic conductivity and enables measurements of the unsaturated hydraulic conductivity of any soil accurately and affordably. Prior to use, verify the sensor arrived in good condition.
OPERATION
Please read all instructions before operating the Mini Disk Infiltrometer to ensure it performs to its full potential.
PRECAUTIONS
METER sensors are built to the highest standards, but misuse, improper protection, or improper installation may damage the sensor and possibly void the manufacturer’s warranty. Before using the Mini Disk Infiltrometer, follow the recommended installation instructions and have the proper protections in place to safeguard sensors from damage.
FILLING THE INFILTROMETER
To prepare the infiltrometer for measurement, use the following procedure.
- Remove the upper stopper and suction control tube.
- Fill the mariotte chamber three-quarters full with water (Figure 1).
NOTE: Do not use distilled water. Soil water has solutes and clays have salts on the exchange sites. Using distilled water changes the ionic balance and may flocculate or disperse the clay in the soil.
- Replace the upper stopper and suction control tube.
- Slide the suction control tube all the way down into the mariotte chamber.
- Invert the infi ltrometer.
- Remove the bottom elastomer with the sintered stainless steel disk (Figure 2).
REFERENCES
Carsel, Robert F. and Rudolph S. Parrish. 1988. “Developing joint probability distributions of soil water retention characteristics.” Water Resource Research 24, no. 5:755–769. Dane, Jacob H. and G. Clarke Topp, editors. 2002. Methods of Soil Analysis Part 4—Physical Methods. Madison (WI): Soil Science Society of America. Dohnal, Michal, Jaromir Dusek, and Tomas Vogel. 2010. “Improving hydraulic conductivity estimates from minidisk infiltrometer measurements for soils with wide pore-size distributions.” Soil Science Society of America Journal 74, no. 3:804–811. Lichner, Lubomir, et al. 2007. “Field measurement of soil water repellency and its impact on water flow under different vegetation.” Biologia 62, no. 5:537–541. Zhang, Renduo. 1997. “Determination of soil sorptivity and hydraulic conductivity from the disk infiltrometer.” Soil Science Society of America Journal 61, no. 4:1024–1030.
EUROPE
Customer service representatives are available for questions, problems, or feedback Monday through Friday, 8:00 to 17:00 Central European time.
- Email: [email protected] [email protected]
- Phone: +49 89 12 66 52 0
- Fax: +49 89 12 66 52 20
- Website: metergroup.de
If contacting METER by email, please include the following information:
Name Email address
Address Instrument serial number
Phone Description of the problem
NOTE: For products purchased through a distributor, please contact the distributor directly for assistance.
TERMS AND CONDITIONS
By using METER instruments and documentation, you agree to abide by the METER Group, Inc. USA Terms and Conditions. Please refer to metergroup.com/terms-conditions for details.
MINI DISK INFILTROMETER

- Fill the reservoir. The end of the mariotte tube is carefully set with respect to the porous disk to ensure a zero suction offset while the tube bubbles. If this is changed accidentally, reset the end of the mariotte tube to 6 mm inside from the end of the plastic reservoir tube.
- Replace the stainless steel disk, ensuring it is fi rmly in place. If the infiltrometer is held vertically, no water should leak out. The nitrometer is now ready to take measurements.
CHOOSING THE SUCTION RATE
Since different soil types infiltrate water at different rates, the infiltrometer suction rate should be adjusted for different types of soil. For most soils, a suction rate of 2 cm is adequate. However, the suction rate may need to be adjusted for sandy soils (up to 6.0 cm) or more compact soils (0.5 cm). METER recommends only advanced users who are comfortable with the instrument and its theory of operation should adjust the suction rate. To adjust the suction rate, move the suction control tube up or down so the water level in the marionette chamber is even with the desired suction rate marked on the side of the suction control tube (Figure 3).
NOTE: If the suction control tube is difficult to move, apply a small amount of vacuum grease to ease movement.
CHOOSING THE TIMING INTERVAL
The time interval is based on both the chosen suction rate and the soil type being measured. METER recommends choosing a time interval that allows approximately 5 mL of water to be infiltrated per measurement. For example, sand typically require 2 to 5 s between readings, a silt loam every 30 s, and a tight clay 30 to 60 min. Soils with higher flow rate should use shorter measurement intervals.
MEASURING UNSATURATED HYDRAULIC CONDUCTIVITY
Prior to making a hydraulic conductivity measurement, fill the instrument with water (Section 2.1) and decide the appropriate suction rate (Section 2.2) and time interval (Section 2.3).
- Choose a smooth spot on the soil surface.
NOTE: If the surface is not smooth, apply a thin layer of fi ne silica sand or diatomaceous earth directly underneath the infi ltrometer stainless steel disk to ensure good contact between the two surfaces. If the device cannot stand up on its own, set up a ring stand and clamp to keep it upright. - Record the starting water volume of the reservoir.
- At time zero, place the infi ltrometer on the soil surface.
- Ensure the infi ltrometer makes solid contact with the soil surface.
- Record the water volume in the reservoir at regular time intervals as the water infi ltrates (Figure 4).
- Repeat step 5 until at least 30 to 40 mL of water has infi ltrated the soil.
SERVICE
This section contains maintenance instructions, troubleshooting guidelines, customer support contact information, and terms and conditions.
MAINTENANCE
All infiltrometer parts can be cleaned using mild soap and water. The stainless steel disk can be cleaned with a brush or even run in a dishwasher since it will not rust. If the suction control tube is diffcult to move, apply a small amount of vacuum grease to allow it to move more freely.
TROUBLESHOOTING
Table 3 lists common problems and their solutions. If the problem is not listed or these solutions do not solve the issue, contact Customer Support.
Troubleshooting the Mini Disk Infi ltrometer
| Problem Possible Solutions | |
| Negative C1 value | There was a problem with the data set, such as shallow flow or moving the infiltrometer during measurement. Rerun the test. |
CUSTOMER SUPPORT
NORTH AMERICA
Customer service representatives are available for questions, problems, or feedback Monday
through Friday, 7:00 am to 5:00 pm Pacific time.
- Email: [email protected] [email protected]
- Phone: +1.509.332.5600
- Fax: +1.509.332.5158
- Website: metergroup.com
SYSTEM
In this example, the value of C1 is 0.0028 cm × s–1. The soil is a silt loam, so from Table 2, for 2-cm suction, A = 7.93. The hydraulic conductivity is therefore
NOTE: A negative C1 value (negative hydraulic conductivity) is a physical impossibility. Negative values indicate a problem with the data set, such as shallow flow restricting layers or jiggling the infiltrometer during the measurement. A much more extensive discussion of tension infiltrometer measurement and analysis is given in Dane and Topp (2002). If measuring hydraulic conductivity on a soil with an n < 1.35, changes to the Zhang (1997) equation proposed by Dohnal et al. (2010) have improved estimates of K as compared to the previous equation.
MINI DISK INFILTROMETER
CALCULATING INFILTRATION
METER created a basic Microsoft® Excel® spreadsheet to help calculate the slope of the curve of the cumulative infiltration versus the square root of time. Follow step 1 through step 5 to use this spreadsheet.
- Download the file from metergroup.com/minidisk-support.
- Open the fi le.
A sample data set like Table 1 will be in the spreadsheet.
Sample infi ltrometer data
| TIME | Square Root | volume | |
| 0 | 0.00 | 95 | 0.00 |
| 30 | 5.48 | 89 | 0.39 |
| 60 | 7.75 | 86 | 0.58 |
| 90 | 9.49 | 83 | 0.77 |
| 120 | 10.95 | 80 | 0.97 |
| 150 | 12.25 | 77 | 1.16 |
| 180 | 13.42 | 75 | 1.29 |
| 210 | 14.49 | 73 | 1.42 |
| 240 | 15.49 | 71 | 1.55 |
| 270 | 16.43 | 69 | 1.68 |
| 300 | 17.32 | 67 | 1.81 |
- Input the recorded time values in the Time column. Extend the column lengths as needed.
- Input the corresponding recorded volume levels into the Volume column. The square root of time column and infi ltration column will change automatically based on the added data, and the graph will update to refl ect the changes.
- Save the data as a new spreadsheet on the computer. The calculations used in the Excel macro are explained in Section 3.3.
MEASURING WATER REPELLENCY
Lichner, et al. (2007) proposed an index of soil water repellency (R) that can be determined from the sorptivities of 95% ethanol and water. The Mini Disk Infiltrometer can be also used for these measurements. For water repellency index measurements, there will need to be two measurements: one with the reservoir filled with ethanol and one with the reservoir filled with water. The mariotte chamber is filled with fresh or tap water for both measurements.
NOTE: Only the infiltrometers with polycarbonate reservoirs (produced after 2005) should be filled with ethanol. Filling instructions are described in Section 2.1. Set the suction rate to 2 cm (Section 2.2) and select an appropriate timing interval (Section 2.3). The time interval should be the same for both the ethanol and water infi ltrations.
NOTE: Ethanol can damage the numbering on the reservoir so handle carefully to avoid spills. Then follow steps 1 through 5.
- Choose a smooth spot on the soil surface.
NOTE: If the surface is not smooth, apply a thin layer of fi ne silica sand or diatomaceous earth directly underneath the infi ltrometer stainless steel disk to ensure good contact between the two surfaces. If the device cannot stand up on its own, set up a ring stand and clamp to keep it upright. - Record the starting ethanol volume of the reservoir.
- At time zero, place the infi ltrometer on the soil surface.
- Ensure the infi ltrometer makes solid contact with the soil surface.
- Record the ethanol volume in the reservoir at regular time intervals as the ethanol infi ltrates.
- Continue recording volume measurements until at least 30 to 40 mL of ethanol has infi ltrated the soil.
- Repeat step 1 through step 6 using water in the infi ltrometer, making sure to place the infi ltrometer far enough away from the wetted zone of the previous measurement
MINI DISK INFILTROMETER
Van Genuchten parameters for soil texture classes and A values for the 2.25-cm disk radius and suction values from 0.5 to 6 cm
| Soil Texture | a | n/ho | A | ||||||||||||||
| –0.5 | –1 | –2 | –3 | –4 | –5 | –6 | |||||||||||
| Sand | 0.145 | 2.68 | 2.84 | 2.40 | 1.73 | 1.24 | 0.89 | 0.64 | 0.46 | ||||||||
| Loamy Sand | 0.124 | 2.28 | 2.99 | 2.79 | 2.43 | 2.12 | 1.84 | 1.61 | 1.40 | ||||||||
| Sandy Loam | 0.075 | 1.89 | 3.88 | 3.89 | 3.91 | 3.93 | 3.95 | 3.98 | 4.00 | ||||||||
| Loam | 0.036 | 1.56 | 5.46 | 5.72 | 6.27 | 6.87 | 7.53 | 8.25 | 9.05 | ||||||||
| Silt | 0.016 | 1.37 | 7.92 | 8.18 | 8.71 | 9.29 | 9.90 | 10.55 | 11.24 | ||||||||
| Silt Loam | 0.020 | 1.41 | 7.10 | 7.37 | 7.93 | 8.53 | 9.19 | 9.89 | 10.64 | ||||||||
| Sandy Clay Loam | 0.059 | 1.48 | 3.21 | 3.52 | 3.24 | 5.11 | 6.15 | 7.41 | 8.92 | ||||||||
| Clay Loam | 0.019 | 1.31 | 5.86 | 6.11 | 6.64 | 7.23 | 7.86 | 8.55 | 9.30 | ||||||||
| Silty Clay Loam | 0.010 | 1.23 | 7.89 | 8.09 | 8.51 | 8.95 | 9.41 | 9.90 | 10.41 | ||||||||
| Sandy Clay | 0.027 | 1.23 | 3.34 | 3.57 | 4.09 | 4.68 | 5.36 | 6.14 | 7.04 | ||||||||
| Silty Clay | 0.005 | 1.09 | 6.08 | 6.17 | 6.36 | 6.56 | 6.76 | 6.97 | 7.18 | ||||||||
| Clay | 0.008 | 1.09 | 4.00 | 4.10 | 4.30 | 4.51 | 4.74 | 4.98 | 5.22 | ||||||||
METER developed the Excel spreadsheet table to interpret this data using a quadratic equation (Section 2.5). After inputting observed data, columns 2 and 4 from the table are used to produce an XY (scatter) plot. This is used to calculate C1, which is the slope of this line, denoted as y. Figure 6 is an example.
SYSTEM
Saturated conductivity occurs when all pores, including the large ones (such as cracks or wormholes), are filled. Macropore flow, however, is extremely variable from place to place, and therefore diffcult to quantify. Infiltrating water under a tension prevents the filling of the macropores and gives a hydraulic conductivity characteristic of the soil matrix and is less spatially variable. Unsaturated soil hydraulic conductivity is a function of water potential and water content of the soil. The decrease in conductivity as the soil dries is due primarily to the movement of air into the soil to replace the water. As the air moves in, the pathways for water flow between soil particles become smaller and more tortuous and flow becomes more diffcult. A number of methods are available for determining soil hydraulic conductivity from observed data. The method proposed by Zhang (1997) is quite simple and works well formeasurements of infiltration into dry soil. The method requires measuring cumulative infiltration versus time and fitting the results with the function:
- Equation 4
where C1(m × s–1) and C2(m × s–1) are parameters. C1 is related to soil sorptivity, and C2 is the hydraulic conductivity. The hydraulic conductivity for the soil (K ) is then computed from
- Equation 5
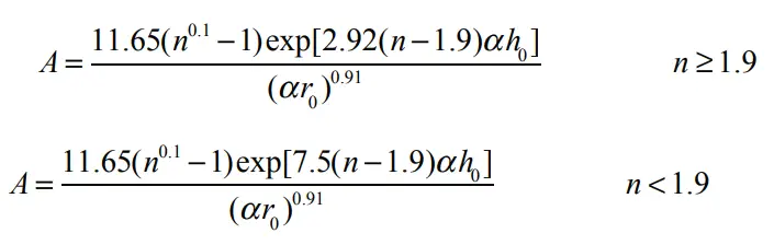
where C1 is the slope of the curve of the cumulative infiltration versus the square root of time and A is a value relating the van Genuchten parameters for a given soil type to the suction rate and radius of the infiltrometer disk. The van Genuchten parameters for the 12 texture classes were obtained from Carsel and Parrish (1988). Compute A from Equation 6 and Equation 7.
- Equation 6
- Equation 7
n and α are the van Genuchten parameters for the soil, ro is the disk radius, and ho is the suction at the disk surface. The Mini Disk Infiltrometer infiltrates water at a suction of –0.5 to –6 cm and has a radius of 2.25 cm. Values of A computed for the Mini Disk Infiltrometer are in Table 2.
MINI DISK INFILTROMETER
After the measurements are completed, use the Excel spreadsheet (Section 2.5) to calculate the cumulative infiltration I (in centimeters) and square root of time t (in seconds) based on the gathered data. Use the Excel spreadsheet to estimate the slope (Se ) of the cumulative infiltration versus square root of time relationship:
- Equation 1
where Se (cm × s–1 = 2) is the sorptivity of ethanol. Use the linear approximation to estimate the slope (Sw ) of the cumulative infiltration versus the square root of the time relationship.
- Equation 2
where Sw (cm × s–1 = 2) is the sorptivity of water. Compute the repellency index (R) from Equation 3:
- Equation 3
SYSTEM
This section describes the Mini Disk Infiltrometer.
SPECIFICATIONS
PHYSICAL SPECIFICATIONS

COMPONENTS
The Mini Disk infiltrometer is ideal for field measurements due to its compact size and the small amount of water needed to operate it. It is also practical for lab and classroom use to demonstrate basic concepts of unsaturated soil hydraulic conductivity. The upper and lower chambers of the infiltrometer are both filled with water. The upper chamber (or mariotte chamber) controls the suction. The lower chamber (or reservoir) contains a volume of water that infiltrates into the soil at a rate determined by the suction control tube in the mariotte chamber. The reservoir is labeled like a graduated cylinder with volume shown in milliliters. The bottom of the infiltrometer has a porous sintered
MINI DISK INFILTROMETER
stainless steel disk that does not allow water to leak when in open air. The small diameter of the disk allows for undisturbed measurements on relatively level soil surfaces. Once the infiltrometer is on soil, water begins to leave the lower chamber and infiltrate into the soil at a rate determined by the hydraulic properties of the soil. These measurements are used to calculate hydraulic conductivity.
THEORY
The knowledge of hydraulic conductivity benefits scientists, land managers, and growers, by indicating how quickly water infiltrates when applied to a given field or soil type. Infiltration is also relevant in contaminant transport, ground water recharge, and ecosystem sustainability. The hydraulic conductivity of the soil is the rate at which water can move through the soil under certain conditions and hydraulic gradients. Water movement through soil typically happens under saturated and unsaturated conditions.


















