38MURA-18K Residential Single Zone Heat Pump System
Installation Guide
38MURA
Residential Single Zone Heat Pump System
Sizes 18 to 60
Fig. 1 —Sizes 18K, 18K HH, 24K, 24K HH, 30K, 30K HH, 36K
Fig. 2 —Sizes 36K HH, 48K, 48K HH, 60K, 60K HH
NOTES: Read the entire instruction manual before starting the installation.
Images are for illustration purposes only. Actual models may differ slightly.
HH Denotes High Heat Models.
https://qr.page/g/D3W7rkiNic
SAFETY CONSIDERATIONS
Installing, starting up, and servicing air- conditioning equipment can be hazardous due to system pressures, electrical components, and equipment location (roofs, elevated structures, etc.).
Only trained, qualified installers and service mechanics should install, start- up, and service this equipment.
Untrained personnel can perform basic maintenance functions such as coil cleaning. All other operations should be performed by trained service personnel only.
When working on the equipment, observe the precautions in the literature and on tags, stickers, and labels attached to the equipment.
Follow all safety codes.Wear safety glasses and work gloves. Keep a quenching cloth and a fire extinguisher nearby when brazing. Use care in handling, rigging, and setting bulky equipment.
Read these instructions thoroughly and follow all warnings or cautions included in the literature and attached to the unit. Consult local building codes and National Electrical Code (NEC) for special requirements.
Recognize safety information.
This is the safety – alert symbol
. When you see this symbol on the unit and in instructions or manuals, be alert to the potential for personal injury.
Understand these signal words: DANGER, WAR NING , and CAUTION.
These words are used with the safety- alert symbol.
DANGER identifies the most serious hazards which will result in severe personal injury or death.
WARNING signifies hazards which could result in personal injury or death.
CAUTION is used to identify unsafe practices which may result in minor personal injury or product and property damage.
NOTE is used to highlight suggestions which will result in enhanced installation, reliability, or operation.
vWARNING
ELECTRICAL SHOCK HAZARD
Failure to follow this warning could result in personal injury or death.
Before installing, modifying, or servicing system, the main electrical disconnect switch must be in the OFF position. There may be more than 1 disconnect switch. Lock out and tag switch with a suitable warning label.
WARNING
EXPLOSION HAZARD
Failure to follow this warning could result in death, serious personal injury, and/or property damage.
Never use air or gases containing oxygen for leak testing or operating refrigerant compressors. Pressurized mixtures of air or gases containing oxygen can lead to an explosion.
CAUTION
EQUIPMENT DAMAGE HAZARD
Failure to follow this caution may result in equipment damage or improper operation.
Do not bury more than 36 in. (914 mm) of refrigerant pipe in the ground. If any section of pipe is buried, there must be a 6 in. (152 mm) vertical rise to the valve connections on the outdoor units. If more than the recommended length is buried, refrigerant may
migrate to the cooler buried section during extended periods of system shutdown. This causes refrigerant slugging and could possibly damage the compressor at start-up.
MODEL NUMBER AND ACCESSORIES
The system is shipped with the following accessories. Use all of the installation parts and accessories to install the system. Improper installation may result in water leakage, electrical shock and fire, or cause the equipment to fail. Keep the installation manual in a safe place and do not discard any other accessories until the installation work has been completed.
Table 1 —Accessories
| PART NO. | PART NAME | QTY. |
| 1 | Outdoor unit | 1 |
| – | Literature package including installation instructions | 1 |
| – | Mounting pads for the outdoor unit (helps with vibration prevention during unit operation) | 4 |
| – | Drain Joint | 1 |
| – | Drain Hose | 1 |
| – | Flare to Braze Adapter | 2 |
| – | Suction Line Reducer | 1 |

NOTE:
- If the outdoor unit is higher than the indoor unit, prevent rain from flowing into the indoor unit along the connection pipe by making a downward arc in the connection pipe before it enters the wall to the indoor unit. This ensures that rain drips from the connection pipe before it enters the wall.
- Piping and the interconnecting wiring are field supplied.
- Figure 3 is only a The actual model may differ slightly.
Table 2 lists the units covered in this document.
Table 2 — Unit Sizes
| CBP | |||
| SYSTEM TONS | BTUH | VOLTAGE – PHASE | OUTDOOR MODEL |
| 1.50 | 18,000 | 208/230-1 | 38MURAQ18AA3 |
| 1.50 | 18,000 | 208/230-1 | 38MURAQ18AB3 |
| 2.00 | 24,000 | 208/230-1 | 38MURAQ24AA3 |
| 2.00 | 24,000 | 208/230-1 | 38MURAQ24AB3 |
| 2.50 | 30,000 | 208/230-1 | 38MURAQ30AA3 |
| 2.50 | 30,000 | 208/230-1 | 38MURAQ30AB3 |
| 3.00 | 36,000 | 208/230-1 | 38MURAQ36AA3 |
| 3.00 | 36,000 | 208/230-1 | 38MURAQ36AB3 |
| 4.00 | 48,000 | 208/230-1 | 38MURAQ48AA3 |
| 4.00 | 48,000 | 208/230-1 | 38MURAQ48AB3 |
| 5.00 | 60,000 | 208/230-1 | 38MURAQ60AA3 |
| 5.00 | 60,000 | 208/230-1 | 38MURAQ60AB3 |
DIMENSIONS
Table 3 — Dimensions
| System Size | (208/230V) | Packaging | ||||||
| Height (H) in (mm) | Width (W) in (mm) | Depth (D) in (mm) | Net Weight lbs. (kg) | Height (H) in (mm) | Width (W) in (mm) | Depth (D) in (mm) | Net Weight lbs. (kg) | |
| 18K | 21.81 (554) | 31.69 (805) | 12.99 (330) | 75.84 (34.4) | 24.21 (615) | 36.02 (915) | 14.57 (370) | 81.35 (36.9) |
| 18K High Heat | 26.50 (673) | 35.04 (890) | 13.29 (338) | 102.95 (46.7) | 29.13 (740) | 39.17 (995) | 15.67 (398) | 109.79 (49.8) |
| 24K | 26.50 (673) | 35.04 (890) | 13.29 (338) | 102.29 (46.4) | 29.13 (740) | 39.17 (995) | 15.67 (398) | 109.79 (49.8) |
| 24K High Heat | 31.89 (810) | 37.24 (946) | 16.02 (407) | 136.69 (62) | 34.84 (885) | 42.91 (1090) | 19.69 (500) | 145.50 (36) |
| 30K | 31.89 (810) | 37.24 (946) | 16.02 (407) | 141.76 (64.3) | 34.84 (885) | 42.91 (1090) | 19.69 (500) | 151.46 (68.7) |
| 30K High Heat | 31.89 (810) | 37.24 (946) | 16.02 (407) | 159.83 (72.5) | 34.84 (885) | 42.91 (1090) | 19.69 (500) | 169.75 (77) |
| 36K | 31.89 (810) | 37.24 (946) | 16.02 (407) | 151.68 (68.8) | 34.84 (885) | 42.91 (1090) | 19.69 (500) | 161.16 (73.1) |
| 36K High Heat | 52.48 (1333) | 37.48 (952) | 16.34 (415) | 227.07 (103) | 58.27 (1480) | 43.11 (1095) | 19.49 (495) | 255.73 (116) |
| 48K | 52.48 (1333) | 37.48 (952) | 16.34 (415) | 217.59 (98.7) | 58.27 (1480) | 43.11 (1095) | 19.49 (495) | 248.68 (112.8) |
| 48K High Heat | 52.48 (1333) | 37.48 (952) | 16.34 (415) | 220.24 (99.9) | 58.27 (1480) | 43.11 (1095) | 19.49 (495) | 248.90 (112.9) |
| 60K | 52.48 (1333) | 37.48 (952) | 16.34 (415) | 217.15 (98.5) | 58.27 (1480) | 43.11 (1095) | 19.49 (495) | 248.46 (112.7) |
| 60K High Heat | 52.48 (1333) | 37.48 (952) | 16.34 (415) | 239.86 (108.8) | 58.27 (1480) | 43.11 (1095) | 19.49 (495) | 271.61 (123.2) |




CLEARANCES

Table 4 — Clearance Dimensions
| UNIT | MINIMUM VALUE IN. (MM) |
| A | 24 (610) |
| B | 24 (610) |
| C | 24 (610) |
| D | 4 (101) |
| E | 4 (101) |
NOTE: The outdoor unit must be mounted at least 2in (50mm) above the maximum anticipated snow depth.
INSTALLATION REQUIREMENTS
- A location which is convenient to installation and not exposed to strong winds.
- A location which can bear the weight of the outdoor unit and where the outdoor unit can be mounted in a level position.
- A location which provides appropriate clearances (see Fig. 8).
- Allow sufficient space for airflow and service of the unit. See Fig. 8 for the required minimum distances between the unit or walls.
NOTE: DO NOT install the indoor or outdoor units in a location with special environmental conditions.
WARNING
PRODUCT INSTALLATION
- Installation must be performed by an authorized dealer or specialist. A defective installation can cause water leakage, electrical shock, or fire.
- The installation must be performed according to the installation instructions. Improper installation can cause water leakage, electrical shock, or fire. (In North America, installation must be performed in accordance with the requirements of NEC or CEC by authorized personnel only.)
- Contact an authorized service technician for repair or maintenance of this unit. This appliance must be installed in accordance with local codes.
- Only use the included accessories, parts, and specified parts for installation. Using non-standard parts can cause water leakage, electrical shock, fire, or unit failure.
- To prevent exposure to wind, install the outdoor unit with its air inlet side facing the wall
- Install drainage piping according to the instructions in this manual. Improper drainage may cause water damage to your home and property.
- DO NOT install the unit in a location that may be exposed to combustible gas leaks. If combustible gas accumulates around the unit, it may cause a fire.
- DO NOT turn on the power until all work has been completed.
- When moving or relocating the system, consult experienced service technicians for the disconnection and re-installation of the unit.
INSTALLATION
Step 1 – Check Equipment
Unpack the unit and move to the final location. Remove the carton, taking care not to damage the unit. Inspect the equipment for damage prior to installation. File a claim with the shipping company if the shipment is damaged or incomplete.
Locate the unit rating plate which contains the proper installation information. Check the rating plate to ensure the unit matches the job specifications.
Step 2 – Mount Unit
1. Select the installation location of the outdoor unit following the installation requirements. To prevent high wind exposure, install the outdoor unit with the air inlet side facing the wall (see fig 10).
2. Use a rigid base to support the unit in a level position. If conditions or local codes require the unit be attached to a pad, tie down bolts should be used and fastened through knockouts provided in unit base pan. Refer to unit mounting pattern in Fig. 3 to determine base pan size and knockout hole location. For hurricane tie downs, contact distributor for details and PE (Professional Engineer) Certification, if required.
CAUTION
EQUIPMENT DAMAGE HAZARD
Failure to follow this caution may result in equipment damage or improper operation.
In regions with snowfall and cold temperatures, avoid installing the outdoor unit in areas where it can be covered by snow. Blocking the air intake may result in reduced airflow, significantly reduced performance and damage to the equipment.
Step 3 – Condensate Drain Installation
NOTE: Install drains must meet local sanitation codes.
Install the outdoor unit drain joint
Fit the seal into the drain joint, then insert the drain joint into the base panhole of the outdoor unit. Rotate 90° to securely assemble them. Connect the drain joint with an extension drain hose to avoid condensate from draining off the outdoor unit during the heating mode.
NOTE: Images are for illustration purposes only.
CAUTION
EQUIPMENT DAMAGE HAZARD
In cold climates, ensure the drain hose is as vertical as possible to ensure swift water drainage. If water drains too slowly, it can freeze in the hose and flood the unit.
NOTE: Basepan built-in with multiple holes for proper draining during defrost. For applications where it is required to seal these holes, and re-direct the condensate drain, rubber plugs are available through RCD.
Table 5 — Base Pan Rubber Plugs
| OUTDOOR UNIT MODEL NUMBER PER UNIT | BASE PAN RUBBER PLUGS RCD PART NUMBER |
| 38MURAQ18AA3 38MURAQ18AB3 38MURAQ24AA3 38MURAQ24AB3 38MURAQ30AA3 38MURAQ30AB3 38MURAQ36AA3 38MURAQ36AB3 38MURAQ48AA3 38MURAQ48AB3 38MURAQ60AA3 38MURAQ60AB3 |
12600801A00077 |
Step 4 – Operating Ambient
| Operating Range and Humidity | High Heat Models | Regular Models | ||
| Operating Range | Cooling Outdoor Min – Max DB | °F | -22~130 | 5~130 |
| °C | -30~55 | -15~55 | ||
| Heating Outdoor Min – Max DB | °F | -22~86 | -5~86 | |
| °C | -30~30 | -15~30 | ||
| Operating Humidity | % | 0~80 | 0~80 | |
Step 5 – Refrigerant Piping Connections
Table 6 — Piping and Refrigerant
| System Size | 18K | 18K High Heat | 24K | 24K High Heat | 30K | 30K High Heat | 36K | 36K High Heat | 48K | 48K High Heat | 60K | 60K High Heat | |
| (208/230 V) | |||||||||||||
| Min. Piping Length | ft.(m) | 9.8 (3) | |||||||||||
| Standard Piping Length | ft.(m) | 24.6 (7.5) | |||||||||||
| Max. outdoor-indoor height difference (OU higher than IU) | ft.(m) | 65.6 (20) | 65.6 (20) | 82 (25) | 82 (25) | 82 (25) | 82 (25) | 98.4 (30) | 98.4 (30) | 98.4 (30) | 98.4 (30) | 98.4 (30) | 98.4 (30) |
| Max. outdoor-indoor height difference (IU higher than OU) | ft.(m) | 65.6 (20) | 65.6 (20) | 82 (25) | 82 (25) | 82 (25) | 82 (25) | 98.4 (30) | 98.4 (30) | 98.4 (30) | 98.4 (30) | 98.4 (30) | 98.4 (30) |
| Suction Pipe (size – connection type) | in (mm) | ø3/4” (19) | ø3/4” (19) | ø3/4” (19) | ø3/4” (19) | ø3/4” (19) | ø3/4” (19) | ø3/4” (19) | ø3/4” (19) | ø3/4” (19) | ø3/4” (19) | ø7/8” (22) | ø7/8” (22) |
| Liquid Pipe (size-connection) | in (mm) | ø3/8” (9.52) | |||||||||||
| Refrigerant Type | Type | R410A | |||||||||||
| Charge Amount | lb. (kg) | 3.53 (1.6) | 5.07 (2.3) | 4.63 (2.1) | 6.39 (2.9) | 6.72 (3.05) | 8.38 (3.8) | 8.16 (3.7) | 10.36 (4.7) | 10.4 (4.7) | 10.58 (4.8) | 10.8 (4.9) | 10.58 (4.8) |
IMPORTANT: The suction line must be insulated. Use refrigeration grade tubing ONLY. No other type of tubing may be used. Use of other types of tubing will void the manufacturer’s warranty.
- The minimum refrigerant line length between the indoor and outdoor unit is 10 ft. (3m).
- All outdoor units have an electronic expansion valve to manage the refrigerant flow of the fan coil connected.
- Do not open the service valves or remove the protective caps from the tubing ends until all connections are made.
- Bend the tubing with bending tools to avoid kinks and flat spots.
- Keep the tubing free of dirt, sand, moisture, and other contaminants to avoid damaging the refrigerant system.
- Avoid sags in the suction line to prevent the formation of oil traps.
- Insulate the suction line with a minimum 3/8-in. (10 mm) wall thermal pipe insulation. Inserting the tubing into the insulation before making the connections will save time and improve installation quality.
WARNING
All field piping must be completed by a licensed technician and must comply with the local and national regulations.
When the system is installed in a small room, measures must be taken to prevent the refrigerant concentration in the room from exceeding the safety limit in the event of refrigerant leakage. If the refrigerant leaks and its concentration exceeds its proper limit, hazards due to lack of oxygen may result.
When installing the refrigeration system, ensure that air, dust, moisture or foreign substances do not enter the refrigerant circuit. Contamination in the system may cause poor operating capacity, high pressure in the refrigeration cycle, explosion or injury.
Ventilate the area immediately if there is refrigerant leakage during the installation.
Leaked refrigerant gas is hazardous. Ensure there is no refrigerant leakage after completing the installation work.
CAUTION
DO NOT install the connecting pipe until both the indoor and outdoor units have been installed.
Insulate the suction line to prevent condensation.
Use the following steps to connect the refrigerant piping:
1. Run the interconnecting piping from the outdoor unit to the indoor unit.
2. Connect the refrigerant piping and drain line outside the indoor unit.
Complete the pipe insulation at the flare connection then fasten the piping and wiring to the wall as required. Completely seal the hole in the wall.
3. Cut tubing to the correct length.
When preparing refrigerant pipes, take extra care to cut and flare them properly. This ensures efficient operation and minimizes the need for future maintenance.
a. Measure the distance between the indoor and outdoor units.
b. Using a pipe cutter, cut the pipe a little longer than the measured distance.
c. Make sure the pipe is cut at a perfect 90° angle.
CAUTION
DO NOT DEFORM PIPE WHILE CUTTING
Be extra careful not to damage, dent, or deform the pipe while cutting. This will drastically reduce the heating efficiency of the unit.
4. Remove Burrs
Burrs can affect the air-tight seal of the refrigerant piping connection.
Therefore, they must be completely removed. To remove:
a. Hold the pipe at a downward angle to prevent burrs from falling into the pipe.
b. Using a reamer or deburring tool, remove all burrs from the cut section of the pipe.
5. Flare Pipe Ends
Proper flaring is essential to achieving an airtight seal.
a. After removing the burrs from the cut pipe, seal the ends with PVC tape to prevent foreign materials from entering the pipe.
b. Sheath the pipe with insulating material.
c. Place factory flare nut on pipe facing the proper direction. Make sure they are facing the right direction. Once the ends are flared, it is impossible to put them on or change their direction.
d. Remove the PVC tape from ends of pipe when ready to perform the flaring work.
e. Clamp the flare block on the end of the pipe. The end of the pipe must extend beyond the flare form.
f. Place the flaring tool onto the form.
g. Turn the handle of the flaring tool clockwise until the pipe is fully flared. Flare the pipe in accordance with the dimensions in Table 7.
Table 7 — Tightening Torque
| BRASS FLARE SIZES | RECOMMENDED SEATING TORQUE FOR BRASS FLARE NUTS | FLARE DIMENSIONS (A) (INCH/MM) | ||
| In (mm) | Ft-Lbs | N-M | Min | Max |
| Ø3/8 (9.52) | 23.6-28.8 | 32-39 | 0.52/13.2 | 0.53/13.5 |
| Ø3/4 (19) | 49.4-74.5 | 67-101 | 0.91/23.2 | 0.93/23.7 |
| Ø7/8 (22) | 62.7-81.1 | 85-110 | 1.04/26.4 | 1.06/26.9 |
NOTE: Use both a backup wrench and a torque wrench when connecting or disconnecting pipes to or from the unit.
h. Remove the flaring tool and flare block, then inspect the end of the pipe for cracks and even flaring.
6. Connect the Pipes
Connect the copper pipes to the indoor unit first, then connect the pipes to the outdoor unit. Connect the low-pressure pipe first, then connect the high pressure pipe.
a. Align the center of the two pipes that you will connect.
b. Tighten the flare nut as much as possible by hand.
c. Using a wrench, grip the nut on the unit tubing.
d. While firmly gripping the nut, use a torque wrench to tighten the flare nut according to the torque values listed in Table 7.
CAUTION
Wrap insulation around the piping. Direct contact with the bare piping may result in burns or frostbite. Ensure the pipe is properly connected. Over tightening may damage the bell mouth and under tightening may lead to leakage.
All tubing bends should be performed with a properly sized tubing bender to prevent kinking or damaging the tubing.
e. After connecting the copper pipes to the indoor unit, wrap the power cable, signal cable and the piping together with binding tape.
NOTE: While bundling these items together, DO NOT intertwine or cross the signal cable with any other wiring.
f. Thread this lineset through the wall and connect it to the outdoor unit.
g. Insulate the suction line, including the outdoor unit valves.
NOTE: DO NOT open the service valves until pressure test is complete.
7. Brazing Adapter (Optional)
When flare to braze adapter is used, follow these steps:
a. Refer to the liquid line and gas line connection O.D. sizes in Table 6 based on the model being installed. Cut and deburr the tubing (review “Remove Burrs” on page 11) to prepare it for brazing. Setup the nitrogen apparatus and connect to the outside unit to flow nitrogen while brazing. Braze the tubing and any fittings to obtain a proper seal.
b. Adjust the nitrogen apparatus to pressurize the system. Pressure test the system to a maximum of 500 psig for at least 60 minutes.
c. Insulate suction line completely, including the outdoor unit valves.
8. Pressure Test Piping
CAUTION
Only use Dry Nitrogen to pressure test refrigerant systems. Use of other gases can result in injury, property damage or death.
NOTE: Use refrigeration gauges that are pressure rated for R410a refrigerant.
a. Attach low side gauge hose to the 5/16” Schrader valve on the outdoor unit service valve.
b. Attach the charging hose to the regulator on the dry nitrogen tank.
c. Preset the nitrogen regulator to 550 psi.
d. Slowly pressurize the line set until the low side gauge reads 500 psi. Do not exceed 550 psi.
e. Close all the valves on the nitrogen tank and gauges.
f. Allow the pressure test to stand for a minimum of 30 minutes.
g. If the pressure holds, release the nitrogen and proceed with “Step 6 – Electrical Connections – Dip Switch Configuration” on page 13.
h. If the pressure goes down in the 30 minute delay, leak check the tubing and flare fittings to identify the source of the leak. Return to Step C, above.
Additional Refrigerant Requirements
| System Size | Max. Piping Length with no additional refrigerant charge per System | Additional refrigerant charge | Total Maximum Piping Length per system |
| ft. (m) | Oz/ft (g/m) | ft. (m) | |
| 18K |
24.6 (7.5) |
0.69 (65) | 98 (30) |
| 24K – 30K | 164 (50) | ||
| 36K – 60K | 213 (65) |
Step 6 – Electrical Connections – Dip Switch Configuration
Install All Power and Interconnecting Wiring to Outdoor Units
- Mount the outdoor power disconnect.
- Run the power wiring from the main box to disconnect per NEC and local codes.
- Remove the field wiring cover from the unit by loosening the screws.
- Remove the caps on the conduit panel.
- Connect the conduit to conduit panel (see Fig. 18).
- Properly connect both the power supply and control lines to the terminal block per the connection diagram for the appropriate unit capacity and voltage.
- Ground the unit in accordance with NEC and local electrical codes.
- Use the lock nuts to secure the conduit.
- Reinstall the field wiring cover.
CAUTION
EQUIPMENT DAMAGE HAZARD
Failure to follow this caution may result in equipment damage or improper operation.
Be sure to comply with local codes while running wire from indoor unit to outdoor unit.
Every wire must be connected firmly. Loose wiring may cause the terminal to overheat or result in unit malfunction. A fire hazard may also exist. Therefore, ensure all wiring is tightly connected.
No wire should be allowed to touch the refrigerant tubing, compressor or any moving parts.
Disconnecting means must be provided and shall be located within sight and readily accessible from the air conditioner.
Connecting cable with the conduit shall be routed through hole in the conduit panel.
Select the appropriate conduit opening for the wire size used.
Fig. 18 —Field Wiring
WARNING
An approved and listed fitting must be used to securely affix conduit in accordance with NEC and local codes.
Wiring
All wires must be sized per NEC (National Electrical Code) or CEC (Canadian Electrical Code) and local codes. Use Electrical Data table MCA (minimum circuit amps) and MOCP (maximum over current protection) to correctly size the wires and the disconnect fuse or breakers respectively.
Power wiring
- Remove the electric cover of the outdoor unit.
- Connect the fork terminal to the terminals.
- Match the wire labels with the labels on the terminal block.
- Firmly screw the fork terminal of each wire to its corresponding terminal.
- Insulate unused wires with electrical tape. Keep them away from any electrical or metal parts.
- Reinstall the cover of the electric control box

Communication wiring
There are two options available to establish communication between the outdoor unit and approved indoor unit.
| OPTIONS | COMMUNICATION TYPE | RECOMMENDED CABLE SIZE |
| 1 | Non-Polarity RS485 Communication (S1 – S2) | 16 AWG (stranded shielded) |
| 2 | 24V communication | 18 AWG 8 conductor thermostat wire |
NOTES:
- Do not use the thermostat wire for any RS-485 connection between indoor and outdoor units.
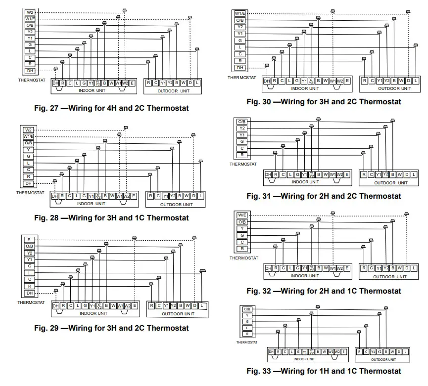
- All connections between the indoor and outdoor units must be made as shown in Figures 21 – 22.
CAUTION
Power needs to be OFF before dip switch adjustments.
WARNING
EQUIPMENT DAMAGE HAZARD
Failure to follow this caution may result in equipment damage or improper operation. Wires should be sized based on NEDC and local codes.
CAUTION
EQUIPMENT DAMAGE HAZARD
Failure to follow this caution may result in equipment damage or improper operation. Be sure to comply with local codes while running wire from the indoor unit to the outdoor unit. Every wire must be connected firmly. Loose wiring may cause the terminal to
overheat or result in unit malfunction. A fire hazard may also exist. Ensure all wiring is tightly connected.
No wire should touch the refrigerant tubing, compressor or any moving parts. Disconnecting means must be provided and shall be located within sight and readily accessible from the air conditioner. Connecting cable with conduit shall be routed through the hole in the conduit panel.
Step 7 – Evacuate Coil And Tubing System
CAUTION
UNIT DAMAGE HAZARD
Failure to follow this caution may result in equipment damage or improper operation.
Never use the system compressor as a vacuum pump.
Refrigerant tubes and the indoor coil should be evacuated using the recommended 500 microns deep vacuum method. The alternate triple evacuation method may be used if the procedure outlined below is followed.
NOTE: Always break a vacuum with dry nitrogen.
Using Vacuum Pump
- Completely tighten flare nuts A, B, C, D. Connect the manifold gage charge hose to a charge port of the low side service valve (see Fig. 23).
- Connect the charge hose to vacuum pump.
- Fully open the low side of manifold gage (see Fig. 24).
- Start the vacuum pump.
- Evacuate using either the deep vacuum or triple evacuation method.
- After evacuation is complete, fully close the low side of manifold gage and stop the vacuum pump operation.
- The factory charge contained in the outdoor unit is good for up to 25 ft. (8 m) of line length. For refrigerant lines longer than 25 ft. (8 m), add refrigerant, up to the allowable length.
- Disconnect the charge hose from the charge connection of the low side service valve.
- Fully open service valves B and A.
- Securely tighten the service valve caps.
Evacuation
Evacuation of the system will remove air or nitrogen (non-condensables) as well as moisture. A proper vacuum will assure a tight, dry system before charging with refrigerant. The two methods used to evacuate a system are the deep vacuum method and the triple vacuum method.
Deep Vacuum Method
The deep vacuum method requires a vacuum pump capable of pulling a vacuum of 500 microns and a vacuum gauge capable of accurately measuring this vacuum depth. The deep vacuum method is the most positive way of assuring a system is free of air and moisture (see Figure 25).
Triple Evacuation Method
The triple evacuation method should be used when vacuum pump is not capable of pumping down to 500 microns and system does not contain any liquid water. Refer to Fig. 26 and proceed as follows:
- Attach refrigeration gauges and evacuate system down to 28 in. of mercury and allow pump to continue operating for an additional 15 minutes.
- Close service valves and shut off vacuum pump.
- Connect a nitrogen cylinder and regulator to system and flow nitrogen until system pressure is 2 psig.
- Close service valve and allow system to stand for 1 hour. During this time, dry nitrogen will be able to diffuse throughout the system absorbing moisture.
- Repeat this procedure as indicated in Fig. 26. System will then be free of any contaminants and water vapor.
Final Tubing Check
Check to be certain factory tubing on both the indoor and outdoor unit has not shifted during shipment. Ensure tubes are not rubbing against each other or any sheet metal. Pay close attention to the feeder tubes, making sure wire ties on feeder tubes are secure and tight.
ELECTRICAL DATA
| OUTDOOR UNIT | 208/230-1-60 | Cooling | Heating | ||||||
| Minimum Circuit Ampacity (MCA) | Maximum Over- Current Protection Ampacity (MOCP) | MAX-MIN VOLTAGE RANGE | Running Current | Power Consumption | Power Factor | Running Current Range | Power Consumption | Power Factor | |
| 18K | 16 | 20 | 253-187 | 7.5 | 1620 | 97.2 | 6.7 | 1510 | 96.9 |
| 18K HH | 16 | 20 | 253-187 | 6.5 | 1430 | 71.5 | 7 | 1550 | 71.5 |
| 24K | 19 | 30 | 253-187 | 9.7 | 2120 | 98.9 | 9.8 | 2150 | 98.8 |
| 24K HH | 20.5 | 35 | 253-187 | 9.4 | 1920 | 94.6 | 9.13 | 2040 | 94.5 |
| 30K | 20 | 35 | 253-187 | 12.2 | 2760 | 95.8 | 12.4 | 2850 | 96.3 |
| 30K HH | 23 | 35 | 253-187 | 12.4 | 2720 | 96.4 | 12.5 | 2780 | 96.7 |
| 36K | 24 | 40 | 253-187 | 15.82 | 3750 | 97.2 | 16.12 | 3496 | 96.8 |
| 36K HH | 41 | 50 | 253-187 | 14.8 | 3300 | 97.8 | 14.8 | 3400 | 97.6 |
| 48K | 34 | 50 | 253-187 | 21.9 | 5046 | 98 | 23.3 | 5373 | 98.4 |
| 48K HH | 42 | 50 | 253-187 | 24.2 | 5530 | 99 | 21.5 | 4880 | 98.9 |
| 60K | 34 | 60 | 253-187 | 23.8 | 5644 | 98.3 | 20.9 | 4959 | 97.7 |
| 60K HH | 42 | 60 | 253-187 | 26.7 | 6110 | 97.9 | 21.5 | 4940 | 97.1 |
LEGEND
FLA – Full Load Amps
MCA – Minimum Circuit Amps
MOPA – Maximum Overcurrent Protection Ampacity
24V CONNECTION DIAGRAMS
Table 9 — Terminal Function
| R | 24V Power Connection |
| C | Common |
| Y1 | Low Demand |
| Y2 | High Demand |
| B | Heating Reversing Valve |
| W | Heating Control |
| D | Defrost – (24V output signal) |
| L | System Fault – (24V output signal) |
NOTE: Terminal D will be energized when the outdoor unit goes into defrost mode and can be used to enable electric heat. This feature is not available when the outdoor unit communicates with the indoor unit via non-polarity RS485 Communication S1-S2.
S4-1:
Default ON: For single stage supplemental heat, W1 and W2 are connected.
OFF: For dual stage supplemental heat, W1 and W2 are controlled independently. feature is enabled through thermostat.
S4-2:
Default ON: Dehumidification control not available.
OFF: Dehumidification feature is enabled through thermostat.
Note: Dip switches are located on compatible indoor unit.
Refer to the indoor unit installation manual for additional information.
START-UP
Test Operation
Perform a test operation after completing a gas leak and electrical safetycheck. Review the indoor unit installation instructions and owner’s manual for additional start up information.
System Checks
- Conceal the tubing where possible.
- Ensure that the drain tube slopes downward along its entire length.
- Ensure all required piping and connections are properly insulated.
- Fasten the tubes to the outside wall, when possible.
- Seal the hole through which the cables and tubing pass.
Outdoor Unit
- Are there unusual noises or vibrations during operation?
Explain the Following Items to the Customer (with the aid of the Owner’s Manual): - Explain care and maintenance.
- Present the installation instructions to the customer.
CARE AND MAINTENANCE
To help ensure high performance and minimize possible equipment failure, periodic maintenance must be performed on this equipment. Maintenance frequency may vary depending upon geographic areas.
TROUBLESHOOTING
For ease of service, the systems are equipped with diagnostic code display LEDs on both the indoor and outdoor units. The outdoor diagnostic display are two LEDs (Red and Green) on the outdoor unit board and is limited to very few errors. The indoor diagnostic display is a combination of flashing LEDs on the display panel or the front of the unit.
There may be a few error codes displayed in the indoor unit that might relate to the outdoor unit’s problems. If possible, always check the diagnostic codes displayed on the indoor unit first.
OUTDOOR UNIT DIAGNOSTIC GUIDES
For ease of service, systems are equipped with diagnostic code display LEDs on the indoor and outdoor units. Outdoor diagnostic is displayed on the outdoor unit microprocessor board. There may be a few error codes displayed in the indoor unit that might relate to the outdoor unit’s problems. If possible, always check diagnostic codes displayed on the indoor unit first. The diagnostic codes displayed on the outdoor units are listed on Table 10.
Table 10 — Outdoor Unit Diagnostic Codes
| DISPLAY | ERROR INFORMATION | DISPLAY | ERROR INFORMATION |
| EC5C | High pressure sensor failure | PC0F | PFC module protection |
| EC57 | Refrigerant pipe temperature sensor error | PC0L | Low temperature protection of outdoor unit |
| EL01 | Communication malfunction between indoor and outdoor units | PC10 | Outdoor unit low AC voltage protection |
| EC50 | Outdoor temperature sensor error | PC11 | Outdoor unit main control board DC bus high voltage pro- tection |
| EC51 | Outdoor EEPROM error | PC12 | Outdoor unit main control board DC bus high voltage pro- tection /341 MCE error |
| EC52 | Condenser coil temperature sensor (T3) malfunction | PC30 | System high pressure protection |
| EC53 | Outdoor ambient temperature sensor (T4 ) malfunction | PC31 | System low pressure protection |
| EC54 | Compressor discharge temperature sensor TP has an open or short circuit | PC40 | Communication error between outdoor main chip and com- pressor driven chip |
| EC07 | Outdoor DC fan motor malfunction/fan speed out of con- trol | PC42 | Compressor start failure of outdoor unit |
| EC71 | Over current failure of outdoor DC fan motor | PC43 | Outdoor compressor lack phase protection |
| EC72 | Lack phase failure of outdoor DC fan motor | PC44 | Outdoor unit zero speed protection |
| EL16 | Communication malfunction between outdoor unit main board and outdoor transit board | PC45 | Outdoor unit IR chip drive failure |
| PC00 | Inverter module (IPM) protection | PC46 | Compressor speed has been out of control |
| PC02 | Top temperature protection of compressor | PC49 | Compressor overcurrent failure |
| PC06 | Discharge temperature protection of compressor | PH90 | High temperature protection of Evaporator |
| PC08 | Outdoor overcurrent protection | PH91 | Low temperature protection of Evaporator |
| PC0A | High temperature protection of condenser | LC06 | High temperature protection of Inverter module (IPM) |
NOTE: It is a normal to display DF or FC, not a malfunction.
For additional diagnostic information, refer to the service manual.
© 2022 Carrier. All rights reserved.
Edition Date: 09/22
A Carrier company
Catalog No: IM-38MURA-02
Replaces: IM-38MURA-01
Manufacturer reserves the right to change, at any time, specifications and designs without notice and without obligations.


















