h2flow FlowVis Flow Meter

DESCRIPTION
FlowVis® is a revolutionary, patented solution for accurate and reliable flow rate measurement in fresh water applications such as swimming pools, spas, fountains, water features, irrigation systems, well water and solar systems. A FlowVis® model also exists for Flotation Tanks and where the Specific Gravity has been raised to 1.25 by adding Epsom Salts.
Using a design that is based on ‘mass flow’ principles, the FlowVis® provides many benefits that include:
- Ease of installation without the need to have 15x of straight pipe
- Installation flexibility that allows orientation in any position, e.g., horizontal, vertical or even upside-down
- Long life without sticking floats or paddle wheels
- Combined Flow Meter and Check Valve in all models except FV-C-S, FV-C-Saline, FV-3, FV-L-DN80, FV-4, FV-LDN100 and FV-C-HF-S.

CONCEPT
As flow increases, the check valve or safety flapper moves forward toward its fully open position. The flapper’s angular position is directly related to fl ow rate through the valve body/ tee. A calibrated scale on the valve’s lid provides a highly accurate reading of the flow rate.


www.h2flow.net
Tel: 888-635-0296 (Toll Free) OR (+1) 419-841-7774 (International)
RESOURCES
Thank you for purchasing the H2fl ow FlowVis® flow meter. If you would like to fi nd additional product resources, including tech tip sheets, brochures, videos, and materials in other languages, please visit our website at www.h2fl ow.net or scan the QR Code below.

SERVICE REPAIR KIT
A service repair kit is available using the Part Number FV-SK. The kit comprises:
- 1 x o-ring
- 1 x spring
- 1 x flapper and indicator arm (for all models except FV-C-S, FV-C-Saline, FV-3, FV-L-DN80, FV-4 and FV-L-DN100)
- 1 x pivot pin
For all other parts, please contact H2fl ow at888-635-0296 (toll-free) or (+1) 419-841-7774 (International).
MODELS
FlowVis® comprises several models; it is important that you check that the model you are about to install is the correct one for your application.
DIMENSIONED MODELS
| MODEL | PIPE SIZE | PIPE SCHED. | SCALE | DESCRIPTION |
| FV-C | 2” or 2.5” | 40 | GPM | Complete FlowVis® including valve body |
| FV-C-15 | 1.5” | 40 | GPM | Complete FlowVis® including valve body |
| FV-C-L | 2” or 2.5” | 40 | LPM | Complete FlowVis® including valve body |
| FV-C-15-L | 1.5” | 40 | LPM | Complete FlowVis® including valve body |
| FV-C-S | 2” or 2.5” | 40 | GPM | FlowVis® including valve body, no check valve |
| FV-C-S-L | 2” or 2.5” | 40 | LPM | FlowVis® including valve body, no check valve |
| FV-3 | 3” | 80 | GPM | Complete FlowVis® including Tee |
| FV-3-L | 3” | 80 | LPM | Complete FlowVis® including Tee |
| FV-4 | 4” | 80 | GPM | Complete FlowVis® including Tee |
| FV-4-L | 4” | 80 | LPM | Complete FlowVis® including Tee |
| FV-C-Saline | 2” | 40 | GPM | FlowVis® for flotation tanks, no check valve |
| FV-C-HF-S | 2.5” | 40 | GPM | FlowVis® for high-flow, no check valve |
METRIC DIMENSIONED MODELS
| MODEL | PIPE SIZE | PIPE SCHED. | SCALE | DESCRIPTION |
| FV-C-L-DN50/65 | DN50/65 | 40 | LPM | Complete FlowVis® including valve body |
| FV-C-L-DN40 | DN40 | 40 | LPM | Complete FlowVis® including valve body |
| FV-L-DN80 | DN80 | 80 | LPM | Complete FlowVis® including valve body |
| FV-L-DN100 | DN100 | 80 | LPM | Complete FlowVis® including valve body |
RETROFIT MODELS
| MODEL | PIPE SIZE | PIPE SCHED. | SCALE | DESCRIPTION |
| FV-J-R | 2” or 2.5” | 40 | GPM | Retrofit for existing Jandy® check valve body |
| FV-J-R-15 | 1.5” | 40 | GPM | Retrofit for existing Jandy® check valve body |
| FV-P-R | 2” or 2.5” | 40 | GPM | Retrofit for existing Praher® check valve body |
| FV-P-R-15 | 1.5” | 40 | GPM | Retrofit for existing Praher® check valve body |
| FV-H-R | 2” or 2.5” | 40 | GPM | Retrofit for existing Hayward® check valve body |
| FV-H-R-15 | 1.5” | 40 | GPM | Retrofit for existing Hayward® check valve body |
COMPATIBILITY NOTE: When selecting a ‘retrofit’ models from the table above, it is important to note that each manufacturer’s valve body design has a unique hydraulic characteristic that will result in a specific FlowVis® calibration scale being required. It is therefore important that you select the correct FlowVis® model for the particular valve body that is installed in your system.
INSTALLATION LOCATIONS

SYSTEMS USING SALT GENERATOR CELLS
Due to the fact that Salt Generator Cells have their electrical supply turned off under low or low fl ow conditions, there is virtually no possibility of damage being caused to the FlowVis unit by these devices. Therefore, the installation location of the FlowVis is more of a factor of where the unit will provide the most benefi t to the customer.
For example, it is generally recommended that there is a Check Vlave installed between the Chlorine Feeder/ Generator and the Heater. Given that FlowVis models for 1.5”, 2” and 2.5” plumbing have an integrated Check Valve, this would be an ideal location to install FlowVis.

SYSTEMS USING EROSION FEEDER (HOCKEY PUCK-STYLE)
Material selections such as corrosion resistant Viton and Hastelloy c-276 ensure that FlowVis® will provide many years of trouble-free operation in normally treated, sanitized pool water conditions. However, certain brands and designs of inexpensive
Erosion Chlorine feeders are known to fail and release high concentrations of chlorine or even chlorine gas into the surrounding fi ltration system. When this occurs, any equipment that comes into contact with these abnormal levels of chemicals will experience premature failure.
When this occurs, an inspection of the components within the FlowVis will quickly confirm the cause of the damage and, under these circumstances, the product’s warranty will be void.
Under no circumstances should FlowVis® be used as a ‘check valve’ to prevent the effects of these Chlorine Feeders damaging other equipment such as Heaters
NSF 50
Models certified to NSF 50 will display the mark as shown to the right:

WARNINGS & SAFETY
Check Valves should always be installed in accordance with the original manufacturer’s instructions. When purchased as a complete Check Valve & Flow Meter combination, a copy of these instructions will be included with the FlowVis® packaging. If a FlowVis® retrofit kit has been purchased, it is the installer’s responsibility to ensure that the Check Valve has been installed correctly and does not violate any local or federal codes relating to Check Valves.
The Virginia Graeme Baker Pool & Spa Act requires that all public swimming pools & spas having a single main drain or multiple drains that are 3 feet or less (center to center) from each other be fi tted with a backup anti entrapment system. Such systems include, but are not limited to, SVRS and Automatic Pump Shut Off systems. Special consideration must be made when installing a FlowVis® to such applications. Several of these systems do not allow the use of Check Valves. It is the responsibility of the installer to make sure that the requirements of the specific backup system in use are maintained.
VALVE BODY FEATURE
On the side of the valve body that is used for the 1.5”, 2”/2.5”, DN40 and DN50/65 models, you will note the following feature:
This has no functionality relating to the operation of the FlowVis® and is simply provided as a feature to be able to plumb in a drain down pipe and valve. A typical use for this might be a roof mounted solar system. Under no circumstances should this hole be drilled out when using the valve body with the FlowVis®.
DIMENSIONS
Models: FV-C-15 / FV-C-15-L
| DIMENSION | VALUE |
| A | 6.5” |
| B | 5.875” |
| C | Schedule 40 – 1.5” |
| D | 1.375” |
| E | 4.63” |
| F | 3.75” |
| WEIGHT | 1.5 lbs |

Models: FV-C / FV-C-L / FV-C-S / FV-C-S-L / FV-C-Saline / FV-C-HF-S
| DIMENSION | VALUE |
| A | 6.5” |
| B | 5.875” |
| C | Schedule 40 – 2” (Slip) & 2.5” (with coupling) |
| D | 1.375” |
| E | 4.63” |
| F | 3.75” |
| WEIGHT | 1.5 lbs |

Models: FV-C-L-DN40
| DIMENSION | VALUE |
| A | 165.1 mm |
| B | 149.23 mm |
| C | Schedule 40 – DN40 |
| D | 34.93 mm |
| E | 117.6 mm |
| F | 92.25 mm |
| WEIGHT | 0.544 kg |
Models: FV-C-L-DN50/65
| DIMENSION | VALUE |
| A | 165.1 mm |
| B | 149.23 mm |
| C | Schedule 40 – DN50 (Slip) / 65 (with coupling) |
| D | 34.93 mm |
| E | 117.6 mm |
| F | 92.25 mm |
| WEIGHT | 0.544 kg |

Models: FV-3 / FV-3-L
| DIMENSION | VALUE |
| A | 8.0” |
| B | 9.5” |
| C | Schedule 80 – 3” |
| D | 1.875” |
| E | 4.5” |
| F | 4.25” |
| WEIGHT | 3 lbs |
Models: FV-L-DN80
| DIMENSION | VALUE |
| A | 203.2 mm |
| B | 241.3 mm |
| C | Schedule 80 – DN80 |
| D | 47.63 mm |
| E | 114.3 mm |
| F | 107.96 mm |
| WEIGHT | 1.36 kg |

Models: FV-4 / FV-4-L
| DIMENSION | VALUE |
| A | 9.5” |
| B | 9.75” |
| C | Schedule 80 – 4” |
| D | 2.25” |
| E | 5.25” |
| F | 5.0” |
| WEIGHT | 5 lbs |
Models: FV-L-DN100
| DIMENSION | VALUE |
| A | 241.3 mm |
| B | 247.65 mm |
| C | Schedule 80 – DN100 |
| D | 57.15 mm |
| E | 133.26 mm |
| F | 127.0 mm |
| WEIGHT | 2.27 kg |
INSTALLATION
IMPORTANT NOTE: Before installing the FlowVis®, please refer to the preceding section on Page 4 regarding chlorine feeders.
Installation of FlowVis® should be in accordance with the following instructions.
Normal plumbing procedures such as cleaning, priming and gluing of fixtures should be followed in order to avoid leaks. If you are not familiar with plumbing procedures, it is recommended that you employ the skills of a qualified plumber.
Unlike other flow meters, FlowVis® is not affected by flow stream disturbances caused by its proximity to pumps, elbows, tees, valves, etc. FlowVis® does not require specific straight pipe lengths before or after its point of installation, and can be installed close to, or even adjacent to, other plumbing fittings. FlowVis® can be installed either horizontally or vertically.

NOTE:
- When selecting a physical location to install FlowVis®, be sure to allow accessibility to read the scale on the lid.
- Due to excessive turbulance, models FV-3 and FV-4 should not be installed directly after the pump.
- FlowVis models are designed for the specific pipe Schedule stated at the bottom of the flow scale label, e.g., Schedule 40 for the model FV-C / DN50/65 and Schedule 80 for the FV-3 / DN80. While it is important to comply with the specific Schedule of pipe, the accuracy stated within this manual can be maintained if a short length (3-6 inches / 75-150mm), of the correct pipe type, is installed either side of the FlowVis. For example, an FV-3 / DN80, can be installed to a SCH 40 plumbing system, provided that a short length of SCH 80 pipe is installed into each end of the FlowVis FV-3 / DN80.
Pay particular attention to the system’s direction of flow and make sure that the arrow on the lid of the FlowVis® is pointing in the correct direction. For the 3” / DN80 and 4” / DN100 versions, the Tee will have an additional arrow on one of its bosses. In the event that the FlowVis® is inadvertently glued into the plumbing in the wrong direction, simply remove the (8) screws holding the lid in place and rotate the entire lid assembly by 180˚.
NOTE: Always remove the FlowVis® lid assembly prior to gluing in the valve body.
TIGHTENING LID SCREWS
When installing the Retrofit versions of FlowVis® or when removing and re-installing the FlowVis® lid assembly, it is important to adhere to the following procedure:
- Make sure that the o-ring on the underside of the lid is undamaged, lubricated with silicone (such as Boss 820) and is in-place without twists.
- Ensure flapper hinge pin is centered.
- Carefully lower the lid onto its valve body (or Tee in the case of the 3”/ DN80 and 4” / DN100 models), making sure that the o-ring stays in place.
- Insert by hand the (8) stainless steel screws but do not tighten at this stage.
- Using a hand Phillips-head screwdriver, slowly tighten the screws in a diagonal pattern, per the sequence to the right. Do not fully tighten one screw before proceeding to the next, i.e., pull them down slowly multiple times to avoid stressing and cracking the lid. Screws should be tightened to a final torque of 25 inch / pounds or 2.8 Nm.

FLOW RANGE
| FlowVis® Models | Pipe Size | Min Flow – GPM U.S. | Min Flow – LPM | Max Flow – GPM U.S. | Max Flow – LPM |
| FV-C-15, FV-C-15-L, FV-J-R-15, FV-P-R-15, FV-H-R-15, FV-C-L-DN40 | 1.5” / DN40 | 10 | 40 | 90 | 360 |
| FV-C, FV-C-L, FV-J-R, FV-P-R, FV-H-R, FV-C-L-DN50/65 | 2” / 2.5” / DN50/65 | 10 / 20 | 40 / 80 | 110 | 400 |
| FV-C-S, FV-C-S-L | 2” / 2.5” / DN50/65 | 30 | N/A | 110 | N/A |
| FV-3, FV-3-L, FV-L-DN80 | 3” / DN80 | 90 | N/A | 220 | 833 |
| FV-4, FV-4-L, FV-L-DN100 | 4” / DN100 | 160 | N/A | 300 | 1136 |
| FV-C-Saline | 2” | 20 | 80 | 100 | 400 |
| FV-C-HF-S | 2.5” | 30 | N/A | 190 | N/A |
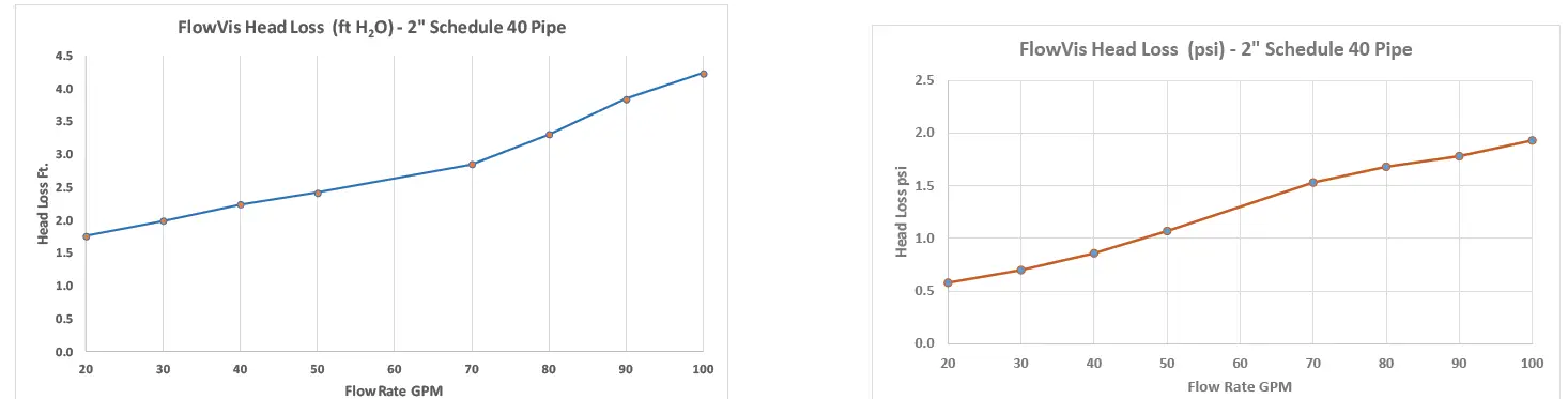
HEAD LOSS DATA
Head Loss (FV-C):


Head Loss (FV-C-S):

Head Loss (FV-C-Saline):

Head Loss (FV-3):

Head Loss (FV-4):

OPERATION
The FlowVis® is factory-calibrated to be extremely accurate across its full operating range. Any perceived ‘inaccuracy’ is related to the viewing angle at which the scale is being read. To avoid so-called ‘parallax error’, it is important to position your eye so that you are looking squarely at the tip of the indicator arm. To achieve this, simply move your head so that you just lose sight of the vertical leading edge of the red arm.
NOTE: Slowly move your head in this direction to the point where the leading edge of the indicating arm is not visible.


The FlowVis® scale not only shows flow rate, but also an indication of velocity.
Alongside the flow rate values are green, yellow, and red bands; these relate to velocity rates of:
| Color | Velocity (Feet Per Second) | Velocity (Meters Per Second) |
| Green | ≤5 | ≤1.52 |
| Yellow | 5-9 | 1.53 – 2.73 |
| Red | 9≥ | 2.74≥ |
MAINTENANCE
Although FlowVis® is designed to be maintenance-free, periodic checks should be made to the following:
| Condition | Check for | Remedy |
| Leak around lid seal | O-Ring Failure | Replace O-Ring |
| Leak from lid | Cracks in lid | Order new lid from supplier |
| Higher flow reading than normal | Broken or weak spring | Replace spring |
| Lower flow reading than normal | Indicator arm stuck due to debris | Remove lid and clear debris |
| Flow indicator stuck at one position | Debris between indicator arm and lid | Remove lid and clear debris |
| Indicator always at max flow when pump running | Broken spring | Replace spring |
| Flapper seal crinkled | Chlorinator check valve failure | Repair chlorinator, order FlowVis® Service Repair Kit. Consider moving FlowVis® to a different location (see ‘Chlorine Feeders’ section on pg. 4). |
TECHNICAL DATA
Materials used:
| Item | Material / Comments |
| Lid | Polycarbonate |
| Valve Body (1.5”, 2”, 2.5”, DN40 and DN50/65) | CPVC |
| Lid Screws | 304 Stainless Steel |
| O-ring | Silicone Lubricated Elastomer |
| Scale label, Product label, NSF label | Polycarbonate |
| Pivot Pin (model FV-C and metric equivelants) | Hastelloy c-276. Glass-filled plastic prior to Feb. 2017 |
| Spring | Hastelloy c-276. 316 Stainless Steel prior to Nov. 2015 |
| 3” / DN80 and 4” / DN100 Tee and reducing bushings | PVC |
| Indicator Arm | ABS |
| Flapper (1.5”, 2”, 2.5”, and DN40, DN50/65) | PPEPS |
| Flapper Seal (1.5”, 2”, 2.5” and DN40, DN50/65) | Viton |
| Flapper (FV-C-S, FV-C-Saline and FV-C-HF-S only) | ABS |
| Lower Flapper (3” / DN80 and 4” / DN100 only) | ABS |
| Interconnecting link (3” / DN80 and 4” / DN100 only) | 316 Stainless Steel |
| Lower Retaining Pins (3” / DN80 and 4” / DN100 only) | 316 Stainless Steel |
Operational Data:
| Function | Models | Comments |
| Max working pressure | All models | 50 psi |
| Accuracy | FV-C / FC-C-S / FV-C-Saline | Average: 97.9% / 98% / 97.5% |
| Accuracy | FV-3, FV-4, FV-L-DN80 and FV-L-DN100 | Average: 98.6% in straight pipe |
| Min / Max operating ambient temp | All models | 32˚F (0˚C) / 140˚F (60˚C) |
| Periodic calibration | All models | None required |
| Design life | All models | Greater than 5 years |
WARRANTY
IMPORTANT: please read and keep this document on record.
- Definition
H2flow Controls, Inc., warrants the FlowVis® product for 3-years from its date of supply from H2flow Controls, Inc. or its stocking Distributor. In the event that the product experiences a premature failure due to defective workmanship or materials, H2flow will, at its discretion, replace either the failed component(s) or the complete FlowVis unit. H2flow shall not be responsible for third-party labor or any consequential losses. Damage caused by improper installation, misuse or exposure to excessive chemicals such as chlorine, will not be covered by this warranty. - Eligibility
This warranty extends to the original purchaser only or to the end-user client of an H2flow Controls Inc authorized affiliate. - How to obtain service
To obtain service under the terms of this warranty, the customer is required to notify H2flow Controls Inc. before the expiration of the warranty period and to return the item in accordance with H2flow Controls Inc’s product return policy. Any product returned for warranty repair must be accompanied by a full fault report specifying the symptoms and the conditions under which the fault occurs. Should H2flow Controls Inc incur additional cost as a result of a failure to complete the appropriate paperwork, an administrative charge may be levied. - Exclusions
This warranty shall not apply to any defect, failure or damage caused by improper use or improper or inadequate care. H2flow Controls Inc. shall not be obligated to provide service under this warranty if:- damage has been caused by a failure to make a full and proper inspection of the product (as described by the documentation enclosed with the product at the time of shipment) on initial receipt of the product following shipment;
- damage has been caused by the attempts of individuals, other than H2flow Controls Inc staff to repair or service the product;
- damage has been caused by the improper use of the product, including but not limited to, the installation of a FlowVis® unit using a chlorination system as described on page 4 of this manual.
- Charges
Under cover of this warranty, H2flow Controls Inc will pay the carriage and insurance charges for the shipment of defective product back to H2flow Controls Inc and for its return to the client’s original site of dispatch except when:- H2flow Controls Inc’s product return policy has not been followed.
- product failure is caused by any of the exclusions described at paragraph 4 above, when the customer will be liable for the full cost of the repair (parts and labor) plus all carriage and insurance costs to and from H2flow Controls Inc’s premises.
- the product is damaged in transit and a contributory cause is inadequate packaging. It is the customer’s responsibility to ensure that the packaging used to return equipment to H2flow Controls Inc is the same, or has equivalent protective qualities, to that used to ship the product to the customer in the first instance. Any damage resulting from the use of inadequate packaging will nullify H2flow Controls Inc’s obligations under this warranty.
Should the customer’s product be damaged in transit following a repair at H2flow Controls Inc’s site, a full photographic record of the damage must be obtained (packaging and the product) to support any claim for recompense. Failure to present this evidence may limit H2flow Controls Inc’s obligations under this warranty.
THIS WARRANTY IS GIVEN BY H2FLOW CONTROLS INC IN LIEU OF ANY OTHER WARRANTIES, EXPRESSED OR IMPLIED, INCLUDING BUT NOT LIMITED TO ANY IMPLIED WARRANTY OF MERCHANTABILITY, NON INFRINGEMENT OR FITNESS FOR A PARTICULAR PURPOSE. H2FLOW CONTROLS INC SHALL NOT BE LIABLE FOR ANY SPECIAL, INDIRECT, INCIDENTAL OR CONSEQUENTIAL DAMAGES OR LOSSES. WE SPECIFICALLY DISCLAIM ANY AND ALL WARRANTIES TO CUSTOMERS OF THE CUSTOMER. THE CUSTOMER’S SOLE REMEDY FOR ANY BREACH OF WARRANTY IS THE REPAIR OR REPLACEMENT, AT H2FLOW CONTROLS INC’S DISCRETION, OF THE FAILED PRODUCT.



















