
Models 3144 & 3145B
Log Periodic Dipole Array Antennas
User Manual
PN: 399171
ETS-Lindgren Inc. reserves the right to make changes to any products herein to improve functioning or design. Although the information in this document has been carefully reviewed and is believed to be reliable, ETS-Lindgren does not assume any liability arising out of the application or use of any product or circuit described herein; nor does it convey any license under its patent rights nor the rights of others.
All trademarks are the property of their respective owners.
© Copyright 1997–2021 written permission from ETS-Lindgren Inc. All Rights Reserved. No part of this document may be copied by any means without written permission from ETS-Lindgren Inc.
Trademarks used in this document: The ETS-Lindgren logo is a trademark of ETS Lindgren L.P.
Revision Record
MANUAL, 3144 & 3145B | Part # 399171 Rev F
| Revision | Description | Date |
| A–C | Initial Release Updates/edits Updates/edits | Date January 1997 |
| D | Updates/edits | September 2002 |
| E | Rebrand | September 2010 |
| F | Rebrand; Inserted 3145B information | April 2021 |
NOTES, CAUTIONS, AND WARNINGS
Note | Note: Denotes helpful information intended to provide tips for better use of the product. |
| CAUTION | CAUTION: Denotes a hazard. Failure to follow instructions could result in minor personal injury and/or property damage. The included text gives proper procedures. |
| WARNING | WARNING: Denotes a hazard. Failure to follow instructions could result in SEVERE personal injury and/or property damage. The included text gives proper procedures. |
*All notes, cautions, and warnings will be located on the left column area of the page.
See the ETS-Lindgren Product Information Bulletin Product Information Bulletin for safety, regulatory, and other product marking information.
INTRODUCTION

The ETS-Lindgren Model 3144 and 3145BLog Periodic Dipole Arrays are linearly polarized, broadband antennas designed to operate over the frequency range of 80 MHz to 2 GHz and 100MHz to 2GHz respectively.
The choice of scaling factors, the various diameters of each element, and the center-to-center spacing of the booms are such that excellent VSWR characteristics are obtained throughout the operating frequency range.
The precise design of the feed and the positioning of the elements on the boom yield an optimum phase relationship. This causes the active region, at any given frequency, to propagate RF energy towards the smaller elements leaving the elements behind it electrically dead.
The constant gain of the antenna yields an antenna factor that varies linearly with frequency. The variation is smooth; therefore, accurate interpolation of performance between specified frequency points is simple.
The Model 3144 and 3145B are each provided with an integral mount and the necessary attachments to mount the antenna to either a tripod (with a 1/4–20 threaded mount) or an ETS-Lindgren antenna mast. For the variety of mounting options available for your antenna, see Mounting & Assembly.
Each Model 3144 and 3145B is individually calibrated at one meter per SAE ARP 958 and at three and 10 meters per ANSI C63.5. Actual antenna factors and a signed Certificate of Calibration Conformance are included.
The 3145 LPDA, is an adaptation of the 3144 optimized for use in a Reverberation chamber for operation from 100 MHz with greater continuous power withstand. The overall width and depth has been reduced with the removal of the low and high-frequency elements so that the antenna bandwidth matches the intended low-frequency operating range of the reverb chamber. The standard mounts and masts can still be used and although optimized for operation in reverb, this model can also be used in traditional anechoic chamber immunity applications where higher transmit power withstand is required.
Optional Items
Support Rod
Antenna mount with insert drilled to accept ETS-Lindgren or other tripods with standard 1/4–20 threads.
Tripod Options
ETS-Lindgren offers the following non-metallic, non-reflective tripods for use at both indoor and outdoor EMC test sites.
- 4-TR Tripod—Constructed of linen phenolic and Delrin, designed with an adjustable center post for precise height adjustments. The maximum height is 2.0 m (80.0 in), and the minimum height is 94 cm (37.0 in). This tripod can support up to an 11.8 kg (26.0 lb) load.

- 7-TR Tripod—Constructed of PVC and fiberglass components, providing increased stability for physically large antennas. The unique design allows for quick assembly, disassembly, and convenient storage. Allows several different configurations, including options for manual or pneumatic polarization. Quick height adjustment and locking wheels provide ease of use during testing. The maximum height is 2.17 m (85.8 in), with a minimum height of 0.8 m (31.8 in). This tripod can support a 13.5 kg (30 lb) load.

ETS-Lindgren Product Information Bulletin
See the ETS-Lindgren Product Information Bulletin included with your shipment for the following:
- Safety, regulatory, and other product marking information
- Steps to receiving your shipment
- Steps to return a component for service
- ETS-Lindgren calibration service
- ETS-Lindgren contact information
CAUTION Before performing any maintenance, follow the safety information in the ETS-Lindgren Product Information Bulletin included with your shipment.
WARNING Maintenance of the Model 3144 and 3145Bis limited to external components such as cables or connectors.
If you have any questions concerning maintenance, contact ETS-Lindgren Customer Service. 
MAINTENANCE
Maintenance Recommendations
If the Model 3144 and 3145BLog Periodic Dipole Array Antennas are used outdoors, periodic removal of the antenna cable connection and cleaning off any corrosion may be needed to maintain the accuracy of the measurements. An inspection to determine the need for cleaning should be made at least every six months. More frequent inspection may be needed depending on the atmosphere and the environment in which the antenna is used.
Annual Calibration
See the Product Information Bulletin included with your shipment for information on ETS-Lindgren calibration services.
Service Procedures
For the steps to return a system or system component to ETS-Lindgren for service, see the Product Information Bulletin included with your shipment.
SPECIFICATIONS
Model 3144 Specifications
Electrical
| Frequency Range: | 80 MHz–2 GHz |
| Input Impedance: | 50 Ohms |
| VSWR: | Average: 1.2:1 Maximum: 2.0:1 |
| CW Power: | 1000 W |
| Symmetry: | +/– 0.5 dB |
| Connector: | Type N Female |
Physical
| Height: | 6.4 cm (2.5 in) |
| Width: | 213.4 cm (84.0 in) |
| Depth: | 167.6 cm (66.0 in) |
| Weight: | 4.3 kg (9.5 lb) |
Model 3145B Specifications
Electrical
| Frequency Range: | 100MHz – 1GHz |
| Input Impedance: | 50 Ohms |
| VSWR: | Maximum: 2.0:1 |
| CW Power: | 2000 W |
| Symmetry: | +/- 0.5 dB |
| Connector: | Type N Female |
Physical
| Height: | 7.9 cm (3.1 in), 12.2 cm (4.8 in) inc. mount |
| Width: | 162.4 (63.9 in) |
| Depth: | 131.3 cm (51.68 in) |
| Weight: | 3.8 kg (8.5 lb) |
Model 3144 Dimensional Drawing

Model 3145B Dimensional Drawing
CAUTION The Model 3144 and 3145B antennas are precision measurement devices. Handle your antenna with care.
Mount the Model 3144 or 3145BLog Periodic Dipole Array Antenna first, and then attach the elements to the antenna.
MOUNTING & ASSEMBLY
Mounting Instructions
Using Included Mounting Adapters
The Model 3144 and 3145B ships with these mounting adapters:
- 100989 Polarizing Mounting Adapter with 7/8–14 thread receptacle
If you need to convert the polarizing adapter to a 1/4–20 receptacle, insert the 1/4–20 thread insert into the polarizing adapter.
- 105861B 1/4–20 Thread Insert
To attach the included adapters to the Model 3144:

Do not cross-thread or permanent damage to the adapter could occur.
- If required, insert the 1/4–20 thread insert into the polarizing adapter.
- Remove the mounting knob from the mounting bracket on the antenna.
- Slide the polarizing adapter into the mounting bracket by placing the polarizing adapter placed between the shoulders of the
mounting bracket. - Thread the mounting knob through the mounting bracket, then through the polarizing adapter, and finally through the hex nut.
- Tighten the mounting knob to secure the antenna.
- Attach the polarizing adapter and antenna to the tripod or tower, as required.
Additional 4-TR Mounting Options
Following are additional options for mounting the Model 3144 onto an ETS-Lindgren 4-TR tripod. Contact the ETS-Lindgren Sales Department for information on ordering optional mounting hardware.

Additional 7-TR And Mast Mounting Options
Following are options for mounting the Model 3144 onto an ETS-Lindgren 7-TR Tripod or mast. Contact the ETS Lindgren Sales Department for information on ordering optional mounting hardware.
Mast refers to 2070 Series, 2075, and 2175 Antenna Towers. 7-TR refers to 109042 and 108983 booms:
- 109042 boom—Straight boom; for general antenna mounting on a 7-TR.
- 108983 boom—Offset boom; for general antenna mounting on a 7-TR with pneumatic or manual polarization; can also be used to mount stinger-type antennas.

2×2 boom refers to a typical 2-inch by 2-inch boom.
Additional 2×2 Boom Mounting Options
Following are additional options for mounting the Model 3144 onto a 2×2 boom. Contact the ETS-Lindgren Sales Department for information on ordering optional mounting hardware.
Do not cross-thread or permanent damage to the antenna and element could occur.
Do not overtighten or use excessive force or permanent damage to the antenna and element could occur.
Assembly Instructions
To facilitate transport, the Model 3144 is shipped with the five longest elements on each side removed. After you mount the antenna, follow these assembly steps:
- Carefully thread one of the numbered elements into the corresponding numbered receptacle.
- Thread the element until it is finger-tight.
- Repeat these steps until all of the numbered elements are mounted.
CAUTION Before connecting any components, follow the safety information in the ETS-Lindgren Product Information Bulletin included with your shipments.
APPLICATION
After mounting the Model 3144 or 3145BLog Periodic Dipole Array Antenna onto an ETS-Lindgren tripod or antenna mast adapter, connect an N-type coaxial cable from the antenna connector to a generator (immunity) or receiver (emissions). Both horizontal and vertical polarizations are easily accomplished when the Model 3144/3145B is mounted onto a tower or tripod. Due to the length of the low-frequency elements, verify element clearance prior to switching the antenna to vertical polarization. Contact with any metallic or non-metallic structure can capacitively load the antenna, which may cause inconsistent results. Therefore, care must be taken to ensure that no part of the dipole elements is in contact with the tripod or tower, particularly in vertically polarized tests. Where possible, run the feed cable straight at least one meter or more back from the 3144 or 3145B before dropping vertically.
For emissions measurements, the electric field strength in db[V/m] is obtained from:

V = the receiver or spectrum analyzer voltage reading
AF = antenna factor
α = cable loss in dB, if cable losses are non-negligible
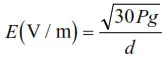
For immunity testing, the electric field strength generated at a distance d can be approximated by:
d = distance, in meters
g = numeric gain (10 G[dB]/10)
P = antenna net input power, in watts
An estimate of the power required for any field strength E can be obtained from Typical Data on the next page. For any other field strength not shown, multiply the power in watts by the desired E-field squared, or:

Actual transmitted field strength should be verified using an ETS Lindgren electric field probe, or equivalent.
For IEC/EN 31000-4-3 type testing, the antenna tip can be placed at any distance between one and three meters from the EUT as long as the front face plane is illuminated according to the -0, +6 dB uniform field specification. In general, closer distances require less power to create a given field strength.
TYPICAL DATA
Model 3144 Antenna Factor
Model 3144 Gain
Model 3144 VSWR
Model 3144 Half-Power Beamwidth
Model 3144 Forward Power 1M

Model 3144 Forward Power 3M




















