metos MG4344300 Gas Ranges

Installation diagram


- Electric cable stress relief
- Water outlet
- Pan Outlet
- Anti-depression valve
- Jacket water drain
- Drain
- Gas connection
- Water inlet EN ISO 228-1 G 3/4
- Warm
- Cold
- Level tap
- dimensions: cm
TECHNICAL DATA




BURNER ASSEMBLING WARNINGS

Personal Protective Equipment
Given below is a summary table of the Personal Protective Equipment (PPE) to be used during the service life of the equipment.
The gloves used during normal Use and Maintenance must be heatproof to protect hands when the operator touches hot parts of the equipment or hot cooking substances (oil, water, steam, etc.).
The non-use of Personal Protective Equipment by operators, specialized technicians or persons using the equipment can involve exposure to chemical hazards and possible damage to health.
Residual risk
There are risks on the machine that have not been completely eliminated from a design standpoint or with the installation of adequate protection devices. To provide the Customer with full information, given below are the residual risks that remain on the machine: such actions are deemed improper and therefore strictly forbidden.
General information
This chapter contains general information which all users of the manual must be familiar with. Specifi c information for individual users of the manual is provided in subsequent chapters (“INSTRUCTIONS FOR …. “ ).
FIGURE

APPLIANCE SPECIFICATIONS
- The appliance data plate is located inside the control panel.
- The appliance model and serial number are detailed on decals and on the packaging.
GENERAL PRESCRIPTIONS
The manufacturer will not be liable for any damage or injury resulting from failure to observe the following rules.
REMINDERS FOR THE INSTALLER
- Read this manual carefully. It provides important information for the safe installation, use, and maintenance of the appliance.
- Installation, conversion to a different type of gas, and appliance maintenance must be carried out by qualifi ed technicians authorized by the manufacturer, in compliance with current safety standards and the instructions given in this manual.
- Identify the specifi c appliance model. The model number is detailed on the packaging and on the appliance data plate.
- The appliance must be installed in a well-ventilated room.
- Do not obstruct any air vents or drains present on the appliance.
- Do not tamper with appliance components.
- Appliances of this type are intended for use in commercial applications such as, for example, the kitchens of restaurants, canteens, hospitals, and businesses such as bakers, butchers, etc., but they are not intended for the continuous mass production of food.
REMINDERS FOR THE USER
The manufacturer will not be liable for any damage or injury resulting from failure to observe the following rules.
- Read this manual carefully. It provides important information for the safe installation, use and maintenance of the appliance.
- Keep this manual in a safe place known to all users so that it can be consulted throughout the working life of the appliance.
- Installation, conversion to a different type of gas, and appliance maintenance must be carried out by qualifi ed technicians authorized by the manufacturer, in compliance with current safety standards and the instructions given in this manual.
- For after-sales service, contact technical assistance centers authorized by the manufacturer and demand the use of original spare parts. Has the appliance serviced at least twice a year? The manufacturer recommends taking out a service contract.
- The appliance is designed for professional use and must be operated by trained personnel.
- The appliance is to be used for cooking food as specifi ed in the prescriptions for use. Any other use is considered to be improper.
- Do not allow the appliance to operate empty for prolonged periods. Only preheat the oven just before use.
- Do not leave the appliance unattended while in operation.
- In the event of an appliance fault or malfunction, shut the gas shut-off valve and/or switch the appliance off at the main switch installed upline.
- Clean the appliance following the instructions are given in Chapter “INSTRUCTIONS FOR CLEANING”.
- Do not store flammable materials in close proximity to the appliance. FIRE HAZARD.
- Do not obstruct any air vents or drains present on the appliance.
- Do not tamper with appliance components.
- Close doors and drawers after use.
REMINDERS FOR THE MAINTENANCE TECHNICIAN
- Read this manual carefully. It provides important information for the safe installation, use, and maintenance of the appliance.
- Installation, conversion to a different type of gas, and appliance maintenance must be carried out by qualifi ed technicians authorized by the manufacturer, in compliance with current safety standards and the instructions given in this manual.
- Identify the specifi c appliance model. The model number is detailed on the packaging and on the appliance data plate.
- The appliance must be installed in a well-ventilated room.
- Do not obstruct any air vents or drains present on the appliance.
- Do not tamper with appliance components.
REMINDERS FOR CLEANING
- Clean the satin finish stainless steel exterior surfaces, the cooking wells, and the surface of the hotplates every day.
- At least twice a year, have an authorized technician clean the internal parts of the appliance.
- Do not use direct or high-pressure water jets or steam cleaners to clean the appliance.
- Do not use corrosive products to clean the floor or shelf beneath the appliance.
SAFETY AND CONTROL DEVICES GAS GRIDDLE PLATES
SAFETY THERMOSTAT
The manufacturer will not be liable for any damage or injury resulting from failure to observe the following rules.
- The appliance is equipped with a manual reset safety thermostat which interrupts heating when the operating temperature exceeds the maximum permitted value.
- To restore appliance operation, press the thermostat reset button. This procedure must only be carried out by a qualifi ed, authorized technician.
DISPOSAL OF PACKAGING AND THE APPLIANCE
PACKAGING
The packaging is made using environmentally friendly materials. The plastic recyclable components are:
- the transparent cover and the bags containing the instructions manual ( made of polyethylene – PE.).
- the straps (in polypropylene – PP).
APPLIANCE
The appliance is manufactured 90% from recyclable metals (stainless steel, aluminum sheet, copper… ). The appliance must be scrapped in compliance with current regulations governing such disposal.
- It must be disposed of properly.
- Make the appliance unusable before scrapping.
RISKS DUE TO NOISE
- As regards airborne acoustical noise emissions, the Aweight-ed sound pressure level is below 70 dB(A).
Instructions for installation
REMINDERS FOR THE INSTALLER
The manufacturer will not be liable for any damage or injury resulting from failure to observe the following rules.
- Read this manual carefully. It provides important information for the safe installation, use, and maintenance of the appliance.
- Installation, conversion to a different type of gas, and appliance maintenance must be carried out by qualifi ed technicians authorized by the manufacturer, in compliance with current safety standards and the instructions given in this manual.
- Identify the specifi c appliance model. The model number is detailed on the packaging and on the appliance data plate.
- The appliance must be installed in a well-ventilated room.
- Do not obstruct any air vents or drains present on the appliance.
- Do not tamper with appliance components.
REFERENCE STANDARDS AND LAWS
Install the appliance in compliance with current safety regulations. Install the appliance in compliance with current regulations.
HANDLING
- The packaging is marked with warning symbols that indicate the precautions to be taken when handling the appliance to avoid damage. The appliance must only be handled-ing suitable equipment. If lifting equipment is used, such as forklift trucks or similar, make sure that the appliance is in a stable position.
UNPACKING
Check the state of the packaging and in the event of damage, ask the delivery person to inspect the goods.
- Remove the packaging.
- Remove the protective fi lm from the exterior and interior pan-els. Use a suitable solvent to remove any residual adhesive from the panels.
POSITIONING
- The overall dimensions of the appliance and the position of connections are given on the installation diagram at the start of this manual.
- The appliance can be installed singly or in combination with other appliances in the same product range.
- The appliance is not suitable for integrated installation.
- Position the appliance at least 20 cm from adjacent walls. This distance can be reduced in the presence of noncombustible walls or heat-insulated walls.
- The appliance should not be installed without feet.
- Level the appliance by means of the height-adjustable feet.
APPLIANCE ASSEMBLY WITH BASE
Follow the instructions provided with the type of support utilized.
JOINING APPLIANCES TOGETHER IN LINE
- Place the side of the appliance by side and adjust the tops to the same height.
FUMES EXHAUST SYSTEM
Provide a fumes exhaust system based on the “Type” of the appliance.The “Type” is stated on the appliance data plate.
APPLIANCE TYPE “A1”
- Position the “A1” type appliance below an extractor hood to ensure smoke and fumes generated by cooking are removed.
APPLIANCE TYPE “B21”
- Position the “B21” type appliance below an extractor hood.
APPLIANCE TYPE “B11”
- Fit the “B11” type appliance with a suitable flue, available from the appliance manufacturer. Follow the assembly instructions provided with the flue.
- Connect the flue to a 150/155 mm diameter hose, heat resistant to 300°C.
- Vent to the outside or into an efficient flue. The hose length must not exceed 3 meters.
CONNECTIONS
The position and dimensions of connections are given in the installation diagram at the start of this manual.
CONNECTION TO THE GAS SUPPLY
Check the compatibility of the gas supply. Check the details given on the decals on the packing and on the appliance. If necessary, convert the appliance to the type of gas utilized. Follow the instructions in the next paragraph “Conversion to a different type of gas”. On top of appliances, a rear connection is also available. Remove the plug present and screw it tightly onto the front connector.
- A rapid-action gas shut-off valve must be fi tted upstream of the appliance in an easily accessible position.
- Do not use connection pipes having a diameter smaller than that of the appliance’s gas connector.
- Once the appliance has been installed, check for leaks at the connection points.
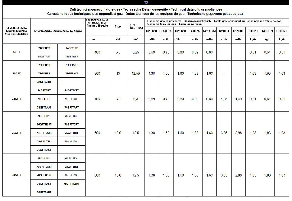
CONVERSION TO A DIFFERENT TYPE OF GAS Table
T1 specifi es, for each country:
- which gas can be used for the appliance.
- the nozzles and settings for each gas that can be used.For nozzles, the number indicated in table T1 is also stamped on the nozzle body.
To convert the appliance to the local gas type, follow the instructions given in table T1 and carry out the steps below:
- Replace the main burner nozzle ( UM ).
- Adjust the main burner’s air regulator to distance A.
- Replace the pilot burner nozzle ( UP ).
- Adjust the pilot burner air fl ow ( if necessary ).
- Replace the gas valve minimum nozzle ( Um ).
- A ffi x the adhesive tab indicating the new type of gas used. The nozzles and adhesive tabs are supplied with the appliance.
REPLACING THE MAIN BURNER NOZZLE AND ADJUSTING THE PRIMARY AIRFLOW.
- Remove the control panel.
- Loosen the screws V.
- Remove the nozzle-support manifold.
- Slacken screw V.
- Remove nozzle UM and replace it with the one indicated in table T1.
- Retighten nozzle UM.
- Adjust air regulator Z to distance A as shown in table T1.
- Retighten screw V fully.
- Re-assemble all parts. For assembly, proceed in reverse order.
REPLACING THE MINIMUM ADJUSTMENT SCREW
- Remove the control panel.
- Remove nozzle Um and replace it with the one indicated in table T1.
- Retighten nozzle Um.
- Re-assemble all parts. For assembly, proceed in reverse or-der.
REPLACING THE PILOT BURNER NOZZLE
- Remove the control panel.
- Undo connector R.
- Remove nozzle UP and replace it with the one indicated in table T1.
- Retighten the connector R. Re-assemble all parts.
- For assembly, proceed in reverse order.
COMMISSIONING
See Chapter “ INSTRUCTIONS FOR MAINTENANCE”.
Instructions for use
REMINDERS FOR THE USER
The manufacturer will not be liable for any damage or injury resulting from failure to observe the following rules.
- Read this manual carefully. It provides important information for the safe installation, use, and maintenance of the appliance.
- Keep this manual in a safe place known to all users so that it can be consulted throughout the working life of the appliance.
- Installation, conversion to a different type of gas, and appliance maintenance must be carried out by qualifi ed technicians authorized by the manufacturer, in compliance with current safety standards and the instructions given in this manual.
- For after-sales service, contact technical assistance centers authorized by the manufacturer and demand the use of original spare parts.
- Has the appliance serviced at least twice a year? The manufacturer recommends taking out a service contract.
- The appliance is designed for professional use and must be operated by trained personnel.
- The appliance is to be used for cooking food as specifi ed in the prescriptions for use. Any other use is considered to be improper.
- Do not allow the appliance to operate empty for prolonged periods. Only preheat the oven just before use.
- Do not leave the appliance unattended while in operation.
- In the event of an appliance fault or malfunction, shut the gas shut-off valve and/or switch the appliance off at the main switch installed upline.
- Clean the appliance following the instructions are given in Chapter “ INSTRUCTIONS FOR CLEANING”.
- Do not store flz`ammable materials in close proximity to the appliance. FIRE HAZARD.
- Do not obstruct any air vents or drains present on the appliance.
- Do not tamper with appliance components.
- The use of personal safety equipment is recommended – the risk of very hot food being scattered.
- During appliance operation, the floor surrounding the appliance may become slippery: exercise caution and take all suitable measures to prevent falls.
- Take care when handling accessories (e.g. pans) and movable parts of the appliance to use the correct posture.
- Appliances of this type are intended for use in commercial applications such as, for example, the kitchens of restaurants, canteens, hospitals, and businesses such as bakers, butchers, etc., but they are not intended for the continuous mass production of food.
USING THE GAS FRY-TOP WITH A TAP
REMINDERS FOR USE
- The appliance is designed for cooking foods directly on the hotplate (steaks, hamburgers, fi sh, vegetables, etc.).
- The hotplate must not be used to heat pans or saucepans.
- Empty the grease collection tray several times a day.
- Exercise great caution when removing the tray. DANGER of scalding from hot oil.
- Take particular care when using the chromed fry-top. Always clean the cooking surface and remove any food residues immediately after cooking. While cooking, handle food only with the special scraper for the smooth fry-top or the toothed scraped for the ribbed fry-top. Do not use sharp or pointed utensils, which could scrape or damage the chromed surface.
USING THE GAS FRY-TOP WITH A VALVE
REMINDERS FOR USE
- The appliance is designed for cooking foods directly on the hotplate ( steaks, hamburgers, fi sh, vegetables, etc.).
- The hotplate must not be used to heat pans or saucepans.
- Take particular care when using the chromed fry-top. Always clean the cooking surface and remove any food residues immediately after cooking. While cooking, handle food only with the special scraper for the smooth fry-top or the toothed scraped for the ribbed fry-top. Do not use sharp or pointed utensils, which could scrape or damage the chromed surface.
- The appliance is equipped with a manual reset safety thermostat which interrupts heating when the operating temperature exceeds the maximum permitted value.
- Empty the grease collection tray several times a day.
- Exercise great caution when removing the tray. DANGER of scalding from hot oil.
PROLONGED DISUSE
Before any prolonged disuse of the appliance, proceed as follows
- Clean the appliance thoroughly.
- Rub stainless steel surfaces with a cloth soaked in Vaseline oil to create a protective fi lm.
- Leave lids open.
- Close the valves and turn off the electrical power supply at the main switch.
Following prolonged disuse, proceed as follows:
- Inspect the appliance thoroughly before using it again.
- Allow electric appliances to operate at the lowest temperature for at least 60 minutes.
Instructions for cleaning
REMINDERS FOR CLEANING
The manufacturer will not be liable for any damage or injury resulting from failure to observe the following rules.
- Disconnect the appliance’s electrical power supply, if present, before proceeding with any operation.
- Clean the satin finish stainless steel exterior surfaces, the cooking wells, and the surface of the hotplates every day. At least twice a year, have an authorized technician clean the internal parts of the appliance.
- Do not use direct or high-pressure water jets or steam cleaners to clean the appliance.
- Do not use corrosive products to clean the floor or shelf beneath the appliance.
SATIN FINISH STAINLESS STEEL SURFACES
- Clean the surfaces with a cloth or sponge using water and proprietary non-abrasive detergents. Follow the grain of the satin fi nish. Rinse repeatedly and dry thoroughly.
Instructions for maintenance
REMINDERS FOR THE MAINTENANCE TECHNICIAN
The manufacturer will not be liable for any damage or injury resulting from failure to observe the following rules.
- Read this manual carefully. It provides important information for the safe installation, use, and maintenance of the appliance.
- Disconnect the appliance’s electrical power supply, if present, before proceeding with any operation.
- Installation, conversion to a different type of gas, and appliance maintenance must be carried out by qualifi ed technicians authorized by the manufacturer, in compliance with current safety standards and the instructions given in this manual.
- Identify the specifi c appliance model. The model number is detailed on the packaging and on the appliance data plate.
- The appliance must be installed in a well-ventilated room.
- Do not obstruct any air vents or drains present on the appliance.
- Do not tamper with appliance components
CONVERSION TO A DIFFERENT TYPE OF GAS
See Chapter “ Instructions for installation “.
COMMISSIONING
Following installation or any maintenance operations, check appliance operation. In the event of any malfunction, consult the next paragraph “Troubleshooting”..
GAS APPLIANCES :
Switch on the appliance as directed in the instructions and reminders for use given in Chapter “INSTRUCTIONS FOR USE“ and check:
- the gas supply pressure ( see next Paragraph ).
- the correct ignition of the burners and the effectiveness of the fumes removal system.
CHECKING THE GAS SUPPLY PRESSURE
- To measure the gas supply pressure use a manometer with a minimum definition of 0.1 bar.
- Remove the control panel.
- Do not use pan scourers or other iron items.
- Do not use chemical products containing chlorine.
- Do not use sharp objects which might scratch and damage the surfaces.
HOTPLATE IN DUCTILE IRON
- Clean surfaces with a damp cloth.
- Switch on for a few minutes to dry rapidly.
- Lubricate surfaces with a fi ne coat of food-grade oil.
CHROMED HOTPLATE OR STAINLESS STEEL
- Clean the cooking surface while it is still moderately hot(approx. 80-100°C ). Use a cloth or sponge soaked in water and vinegar. Rinse thoroughly and dry carefully.
- Do not use pan scourers or abrasive powder detergents.
- Do not use chemical products containing chlorine.
- Do not use sharp objects which might scratch and damage the surfaces.
COLLECTION TRAYS
Clean the surface, removing grease, oil, food residue etc.
- Remove the screw from the pressure test point PP and connect the manometer to the test point.
- Make the measurement with the appliance in operation. ATTENTION! If the gas supply pressure is not within the limits ( Min. – Max ) indicated in Table T2, cease operation of the appliance and contact the gas utility company.
- Disconnect the manometer and retighten the retaining screw on the pressure connection.
TROUBLESHOOTING
The pilot burner does not light Possible causes:
- Insufficient gas supply pressure.
- Blocked tubing or nozzle.
- Defective gas tap or valve.
- Igniter defective or not properly connected.
- Igniter or igniter wire defective.
- Safety thermostat
The pilot burner goes out during use
Possible causes:
- Insufficient gas supply pressure.
- Defective gas tap or valve.
- Defective thermocouple or insufficient heating.
- Thermocouple incorrectly connected to gas tap or valve.
- Knob of gas tap or valve not pressed sufficiently.
The main burner does not light (even though pilot is lit)
Possible causes:
- Insufficient gas supply pressure.
- Blocked tubing or nozzle.
- Defective gas tap or valve.
- Defective burner ( gas outlet holes clogged ).


















