onsemi AND9859-D Power Packages Heat Sink Mounting

SUMMARY
This document provides guidelines for mounting heat sinks for the proper thermal management of power semiconductor devices in field applications. This document describes heat-sink mounting methods, considerations, contact thermal resistance, and mounting torque for various packages.
HEAT SINK MOUNTING CONSIDERATIONS

Thermal Resistance and Heat Sink Mounting
The thermal performance of a package with a heat sink is characterized by a junction-to-ambient thermal resistance, Rθja, which is the sum of junction-case (Rθjc), case-heat sink (Rθcs), heat sink (Rθsink), and heat sink-ambient (Rθsa). Thermal resistance components are shown in Figure 1.
Air convection is usually the dominant heat transfer mechanism in electronics. The convection heat transfer strongly depends on the air velocity and the area of the heat-transferring surface. Since air is a good thermal insulator, it is important that a heat sink is used to increase the overall heat transfer area to the ambient, i.e., the overall thermal performance, Rθ heat sink-ambient, as shown in Figure 1. This is especially true for power device packages. Applying the heat sink provides an air gap between the package and the heat sink due to the inherent surface roughness, as shown in Figure 2. Since the two rough surfaces can only make contact at certain points or areas, the remaining space is filled with air. Since air is a good insulator, the air gap significantly increases the thermal resistance. This is called a contact thermal resistance, Rθ case-heat sink and is shown in Figure 1. The contact thermal resistance is a function of the roughness of the contacting surfaces and the contact pressure. The technique of mounting a heat sink is a key factor in minimizing the contact thermal resistance.
The first way to reduce the contact thermal resistance is to increase the contact pressure, which is the joining force. This maximizes the contact area between the two surfaces. Increasing the mounting torque in the fastening screw or using a clip with a high spring constant provides for larger contact areas, providing solid conduction heat flow paths compared with air conduction through the air gap.
The second method is to fill the air gap with an interface material, such as silicone grease or an insulation pad, having better thermal conductivity than air. Table 1 shows the typical thermal resistance values of several interface materials [1]. Thermal information for various interface materials is provided by leading manufactures [2, 3, 4].
|
Material Type | Thickness (in) | Thermal R°esistance ( C−in2/W) |
| Mica / Grease | 0.003 | 0.10 |
| BN-Filled Silicone Sheet | 0.010 | 0.17 |
| Kapton MT / Phase Change | 0.002 | 0.20 |
| Kapton MT/BN-Filled Silicone | 0.006 | 0.25 |
| Alumina-Filled Silicone Sheet | 0.010 | 0.45 |
Mounting Surface Condition
The contact surfaces must be flat and clean. The following surface conditions are recommended for the heat sink:
- Flatness ≤ 16 m (reference length 0.8 mm)
- Surface finish ≤ 0.02 mm
A milled or machined surface is satisfactory if prepared with tools in good working condition. The heat sink mounting surface also must be clean and free from particles, damage, or corrosion. Drilling is preferable to punching in the machining of the heat sink through-hole. Inappropriate punching can cause a depressed and irregular surface near the mounting hole. This can cause local distortion of the package and poor thermal performance due to uneven thermal contact.
MOUNTING TECHNIQUE
Screw Mounting
Screw mounting is a traditional assembly method accomplished with the fastening of a screw, nut, and washer. Although it takes long to assemble in a mass production environment, it is easy and quick to disassemble. Applying the proper mounting torque is the key factor in obtaining adequate contact pressure along the contact surfaces of the package and the heat sink to minimize the contact thermal resistance. With a low mounting torque, the contact thermal resistance increases due to bad thermal contact under insufficient contact pressure. With a high mounting torque, the package head and mounting tab show large deformations such that the package may be lifted away from the heat sink, as shown in Figure 3. This also increases the contact thermal resistance. Hence, an appropriate range of mounting torque values must be applied to produce minimal thermal resistance. This prevents package destruction or changes in device characteristics.
A fastening torque can be transferred to the axial force of the screw, as described in Equation 1: [5]
where l, dm, and 2 are the pitch, mean diameter, friction coefficient, and thread angle (2 = 60° for standard metric threads), respectively.
The axial force in the screw results in the contact pressure between the package case and the heat sink surface. Table 2 shows the typical coefficients of sliding friction for common material combinations [5].
| Screw Material | Nut Material | |||
| Steel | Bronze | Brass | Cast Iron | |
| Steel, Dry | 0.15−0.25 | 0.15−0.23 | 0.15−0.19 | 0.15−0.25 |
| Steel, Machine Oil | 0.11−0.17 | 0.10−0.16 | 0.10−0.15 | 0.11−0.17 |
| Bronze | 0.08−0.12 | 0.04−0.06 | 0.06−0.09 | |
Clip Mounting
The clip mounting method has become popular because it is a simple and reliable mounting process. The process is fast and appropriate for mass production assembly. The screw mounting is applied at the die center-off on one end of the package during fastening. This causes uneven contact pressure and a bad thermal contact. But the clip is mounted on the package center over the die, and this results in more uniform contact pressure and good thermal contact. Although clip mounting reduces the chances of over or under tightening the fastening screw, it is hard to place the package correctly.
Rivet Mounting
The rivet method enables quick assembly in mass production, but it is difficult to disassemble and control the force applied to the rivet. The riveting force must be controlled to avoid shape distortion, which increases the contact thermal resistance between the package case and the heat sink surface.
Soldering

In general, devices mounted to aluminum heat sinks must be either screw or clip mounted. A new technology, PowerSite [6] allows packages to be soldered directly to the copper patch on the aluminum heat sink without screws, nuts, rivets, or clips. Figure 6 shows the vertical structure of a package assembled with PowerSite technology, which removes the problem of pressure dependency associated with mounting hardware and fasteners becoming loose. The copper patch improves thermal performance compared with manually applied thermal pads. However, it needs special equipment for assembly and rework requires solder reflow.
HEAT SINK MOUNTING GUIDE
Screw Mounting
Screw mounting is a common assembly technique for Fairchild power packages. The screw mounting techniques and torque values are a function of several assembly variables: contact surface condition, washer, thermal grease, contact pressure, and mounting torque. The thermal resistances for packages, such as discrete (TO220, TO220F, TO3PF, TO3P, TO264, TO247, and TO126) and module (7PMGA, HA, IA, and SPM27−AA) are measured. The mounting torques recommended for optimal thermal performance are analyzed below.
Dry Mounting
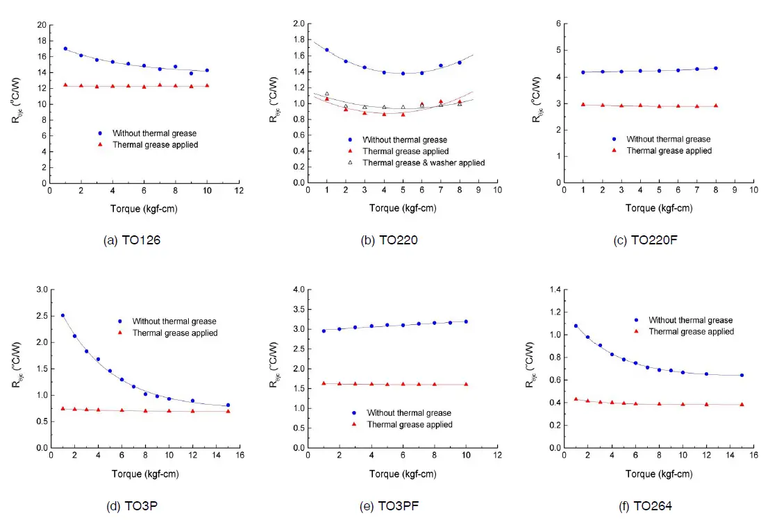
Generally speaking, increasing the mounting torques at an initial stage reduces the junction-to-heat sink thermal resistance or the contact thermal resistance, because the contact area also increases with the mounting torques. Further increasing the mounting torque increases the contact thermal resistance due to excessive deformation of the package. This results in a bad thermal contact, as shown in Figure 3. Figure 7 shows variations of the thermal resistances of each package under various conditions. The Rθjc of TO220 follows this tendency very well: the lowest Rθjc appears in the mounting torque of 4 kgf ⋅ cm to 6 kgf ⋅ cm. Beyond that range, the Rθjc rises again, which may be due to deformation of the package. The Rθjc of TO3P, TO264, TO247, and TO126 decreases as the mounting torque increases, not showing an increase in Rθjc in the range of measurement. TO3P, TO247, and TO264 can be assembled to heat sink properly with mounting torque of around 9 kgf ⋅ cm. The TO220 Rθjc is low enough with a mounting torque of 6 kgf ⋅ cm to 8 kgf ⋅ cm.

Conversely, for the Rθjc of TO220F and TO3PF, the thermal resistances increase slightly as the mounting torque increases. This is related to the mounting surface flatness of the package, i.e., warping of the package during the molding process in manufacturing. The mounting surface flatness of TO220F and TO3PF is convex, while it is concave for TO220 and TO3P as shown in Figure 8.
The higher the mounting torque, the larger the deformation of the package head and mounting tab (in the case of the convex surface). The unbalanced deformation around the through-hole causes the package to be lifted from the heat sink, which results in the bad thermal contact shown in Figure 3. For the concave surface, the space between the package and the heat sink becomes smaller as the mounting torque increases. This is helpful in heat transfer from the package to the heat sink. The mounting surface shape of the package − convex or concave − depends on the package structure and on the material properties (coefficient of thermal expansion, elastic modulus, etc.). This indicates that the optimal mounting torque must be chosen for each package by measuring the thermal resistance at various mounting torques.
In the dry mounting of TO220F and TO3PF (Figure 7(c),(e)), there is no large dependency on the mounting torque, so it is not appropriate to define an optimum mounting torque range. But a low mounting torque may allow the screw to loosen due to vibration or other external loads. This results in the weak contact pressure between the package surface and the heat sink. Therefore, it is reasonable to set the mounting torque range similar to the range for packages such as TO220 and TO3P. The appropriate mounting torque of TO220F and TO3PF in dry mounting can be 4 kgf ⋅ cm to 5 kgf ⋅ cm and 6 kgf ⋅ cm to 8 kgf ⋅ cm, respectively.
The IGBT module package does not show the effect of reducing the thermal resistance above 20 kgf ⋅ cm (Figure 7(h)~(j)). From the results, the torque of 18~20 kgf ⋅ cm is recommended for 7PM−GA and 22~26 kgf ⋅ cm is recommended for 7PM−HA, IA. However, SPM27−AA does show a tendency similar to TO3P or TO264. SPM27−AA thermal resistance doesn’t decrease beyond 5 kgf ⋅ cm.
Besides optimization of thermal resistance, another criterion for mounting torque is that physical or functional characteristics of a product shall not deteriorate while the package is tightened to the heat sink. A device under test can be considered a failure if it exhibits any of the following after package mounting: external crack visible with naked eye, electrical function failure, or de-lamination on the active side of die. To determine maximum recommended torque of TO220 and TO220F packages, a torque test was performed for FDP047AN08A0 and FDP032N08 in TO220 and FQPF13N50CF and FDPF20N50 in TO220F. These products were selected as test vehicle because a product with big die is prone to fail under the loading condition of screw mounting. In the test, no package cracking and electric failure happened until 7 kgf ⋅ cm. Table 3 shows that de-lamination on the die didn’t change after screw mounting. 7 kgf ⋅ cm can be regarded as the maximum torque for TO220 and TO220F.

Thermal Grease
Thermal grease reduces the contact thermal resistance by filling the minute air gap between the mating surfaces. The experimental results shown in Figure 7 indicate thermal grease is essential in heat sink mounting The thermal grease used in the experiment is Wakefield Engineering’s thermal compound 120 series, containing zinc oxide in a silicone oil carrier. [4] Once the air, the main insulator along the contact surface, is filled with thermal grease, the influence of
mounting torque on Rθjc decreases. Little declination or dependency of the Rθjc on the mounting torque is observed.
Washer
The use of a washer guarantees the proper assembly between the screw and the part being fastened. It provides a wider contact area to transfer the axial force of the screw. However, it creates an additional contact surface, so part of the fastening force is consumed as friction force at the surface. A weakened assembly force results in a shrunk contact area and can decrease thermal resistance. To compensate, a stronger mounting torque is required to maintain the same axial force as that of a screw without a washer. Figure 7(b) shows the effect of the washer on the thermal resistance. Package mounting with a washer results in a slight increase and more even distribution of thermal resistance as compared to a mounting without a washer. Widening the loading area with a washer may result in a more stable contact between the mating surfaces.
Insulating Material
Mica and silicone pads are well known insulating materials that are used between the package and the heat sink. Mica is usually assembled with the thermal grease on both sides. Mica shows high thermal performance at low cost, but it is apt to be messy, contaminate adjacent circuitry, and dry out over time. Clean installation is possible with silicone pads. Reworking it is easy and the cost is low. Silicone pads also have a few disadvantages. Their thermal performance is not very good and the heat transfer may be pressure dependent. High mounting pressure can cause cut-through failures in silicone pads. [6] Figure 9 shows the
difference in the Rθjc of TO264 between silicone pads and mica. The higher Rθjc is observed when a silicone pad is applied. The dependency of the Rθjc on the mounting torque is low in both cases. 
Pressure Loading
One of the advantages of a clip mounting is that it distributes more uniform pressure over the entire mating surface and results in a good thermal contact. Figure 10 shows the thermal resistance of TO220 under pressure loading. The pressure loading on the package center is the same as the clip mounting in principle. It indirectly represents the clip mounting technique. Upon analysis, the results of Figure 7(a) show that the thermal resistance under pressure loading is lower and more even than that of a screw mounting. It means that clip mounting is a more stable and safe method than screw mounting. 
Correlation with Clip Mounting and Pressure Loading
Correlation between clip mounting and air pressure can be achieved by two ways. One is to calculate the pressure by clip mounting on the top surface of the package. The other is to calculate applied force by air pressure loading on the top surface of the package.
For pressure calculation in clip mounting, the contact area between the package top surface and the clip must be known. Actually, contact between the package top surface and clip must not be in area but in contacted line. It’s very difficult to calculate the pressure. Calculation requires structural analysis. Air pressure and loading area are given in air pressure test methods and the force by pressure loading can be obtained from the definition. Calculation of loading force by air pressure is chosen to correlate clip mounting to air pressure test method. Calculation result of force value show in Table 4.
| Pressure (psi) | 10 | 20 | 30 | 40 | 50 | 60 |
| Force (N) | 14 | 27 | 40 | 54 | 68 | 81 |
| Force (kgf) | 1.4 | 2.8 | 4.1 | 5.5 | 6.9 | 8.3 |
The TO−220 package can use clip with clamping force of 2~8 kgf from view point of stable thermal resistance, but for stable mounting, mounting force from 3 kgf to 6 kgf is recommended.
SUMMARY OF MOUNTING GUIDE
- In screw mounting, the thermal grease is essential in lowering the contact thermal resistance and having consistent thermal performance.
- A washer slightly increases the thermal resistance.
- Choose an insulating material between the package and heat sink for optimal thermal performance. |
- Clip mounting is a more stable and safer method than screw mounting.
- The mounting torques in Table 5 are recommended for the through-hole packages in screw mounting, regardless of the application of thermal grease.
| Package | Typical | Maximum |
| TO220 | 4 ~ 5 | 7 |
| TO220F | 4 ~ 5 | 7 |
| TO3P | 8 ~ 10 | |
| TO3PF | 6 ~ 8 | |
| TO264 | 8 ~ 10 | |
| TO126 | 6 ~ 8 | |
| TO247 | 8 ~ 10 | |
| 7PMGA | 18 ~ 20 | |
| 7PM−HA | 22 ~ 26 | |
| 7PM−IA | 22 ~ 26 |
REFERENCES
- Sorgo, M. D., “Comparison of Semiconductor Mounting Techniques Reveals Thermal Differences”, PCIM, May 2001, pp. 58 − 63.
- Bergquist, 2002, Sil−Pad® Selection Guide.
- Chomerics, Thermal Management Products.
- Wakefield Engineering, Accessory Products Catalog.
- Shigley, J. E. and Mischke, C. R., “Mechanical Engineering Design”, 6th Ed., pp. 450 − 457.
- Chomerics, PowerSite Automated Power Semiconductor Attachment.
PowerSite is a trademark of Parker Hannifin Corporation. Sil Pad is a trademark of the Bergquist Company.
onsemi, , and other names, marks, and brands are registered and/or common law trademarks of Semiconductor Components Industries, LLC dba “onsemi” or its affiliates and/or subsidiaries in the United States and/or other countries. onsemi owns the rights to a number of patents, trademarks, copyrights, trade secrets, and other intellectual property. A listing of onsemi’s product/patent coverage may be accessed at www.onsemi.com/site/pdf/Patent−Marking.pdf. onsemi reserves the right to make changes at any time to any products or information herein, without notice. The information herein is provided “as−is” and onsemi makes no warranty, representation or guarantee regarding the accuracy of the information, product features, availability, functionality, or suitability of its products for any particular purpose, nor does onsemi assume any liability arising out of the application or use of any product or circuit, and specifically disclaims any and all liability, including without limitation special, consequential or incidental damages. Buyer is responsible for its products and applications using onsemi products, including compliance with all laws, regulations and safety requirements or standards, regardless of any support or applications information provided by onsemi. “Typical” parameters which may be provided in onsemi data sheets and/or specifications can and do vary in different applications and actual performance may vary over time. All operating parameters, including “Typicals” must be validated for each customer application by customer’s technical experts. onsemi does not convey any license under any of its intellectual property rights nor the rights of others. onsemi products are not designed, intended, or authorized for use as a critical component in life support systems or any FDA Class 3 medical devices or medical devices with a same or similar classification in a foreign jurisdiction or any devices intended for implantation in the human body. Should Buyer purchase or use onsemi products for any such unintended or unauthorized application, Buyer shall indemnify and hold onsemi and its officers, employees, subsidiaries, affiliates, and distributors harmless against all claims, costs, damages, and expenses, and reasonable attorney fees arising out of, directly or indirectly, any claim of personal injury or death associated with such unintended or unauthorized use, even if such claim alleges that onsemi was negligent regarding the design or manufacture of the part. onsemi is an Equal Opportunity/Affirmative Action Employer. This literature is subject to all applicable copyright laws and is not for resale in any manner.
PUBLICATION ORDERING INFORMATION
LITERATURE FULFILLMENT:
Email Requests to: [email protected]
onsemi Website: www.onsemi.com
TECHNICAL SUPPORT
North American Technical Support:
Voice Mail: 1 800−282−9855 Toll Free USA/Canada Phone: 011 421 33 790 2910
Europe, Middle East and Africa Technical Support:
Phone: 00421 33 790 2910
For additional information, please contact your local Sales Representative


















