ZULU T
Smart Radio Telemetry Module

Features
- Small Form Factor
- 2 Analogue I/O (10bit)
- Data Reception LED
- Secure Data Protocol
- Easy Pairing Process
- One to One operation
- M100mW Transmit Power
- 10 Digital Input / Outputs
- Range up to 2,000 Metres
- Minimal external components
- 868MHz Operating Frequency
- 10 Channel Transceiver Module
- CE Compliant, Licence Free Use
- Ultra-Low Voltage 2.2—3.6V
Applications
- Remote Control
- Remote Networking
- Remote Switching
- Remote Traffic Lights
Description
The ZULU-T Telemetry Module provides a reliable Transceiver based industrial Remote Switch with up to 2,000 meters range. Two modules are combined to provide a simple network of radio switching.
Each unit is supplied ready to operate, once paired with another Module a remote control system is created.
Connections for power, antenna, and Input / Output are the only connections required.
Ordering Information
| Part No | Description |
| ZULU-T868-SO | Radio Telemetry Module SMT Package |
Pinout
Pin Description
| Pin No | Name | Direction | Description |
| 1 | ANT | In | Antenna Input / Output 50ohm Impedance |
| 2, 15 | GND | In | Connect to ground |
| 3 | Analog/ Digital | In | Connect to Vcc = 1/01-2 are digital Connect to GND = I/01-2 are Analogue |
| 4 – 5 | 1101-2 | In / Out | Analog or digital I/Os 0—Vcc, connect to GND if unused |
| 6. 8-11, 25 -27 | I/0 3-10 | In / Out | When configured as transmitter: Digital inputs: high Impedance inputs When configured as a receiver: Digital outputs: LVCMOS output drive |
| 7/21/22 | NC | Leave unconnected | |
| 12 | Reset | In | Resets module operation, pull high for ordinary use. |
| 13 | Watchdog | In | Connect to Vcc = Turns OFF “watchdog” Connect to GND = Turns ON “watchdog” |
| 14 | Error LEO | Out | LED drive output. Flashes if Zulu Tx has not received acknowledgment or Zulu Rx not received watchdog. |
| 16 | Vcc | In | Supply voltage |
| 17. | TX/RX LEDs | Out | Active LED output when the module is transmitting or receiving RF data packets. |
| 19 | TX/RX | In | Connect to Vcc = Module is a Transmitter Connect to GND = Module is a Receiver |
| 20 | Ch Sel | In | Sets the channel frequency Connect to Vcc = Operates on ch A 869.500 Connect to GND = Operates on ch B 868.133 |
| 23 | Learn | In | Connect to momentary switch to GND, when activated places the module into pairing mode. |
| 24. | IRO In/Out | In / Out | Connect together to enable RF interrupts on chip (mandatory). |
| 29-30 | XTAL1-2 | In | Connect 30MHz XTAL here to drive RF circuit |
General Description of Operation
Each module can be set to act as a ‘Transmitter’ or ‘Receiver’ A remote telemetry system is achieved when two modules are paired together, as a transmitter (ZuluTx) and receiver (ZuluRx).
Each time an input changes on the ZuluTx, it will transmit the status of its inputs to the paired ZuluRx(s). Which will set its outputs to follow the ZuluTx Inputs and reply back with an acknowledge signal. Once completed the modules will then go into sleep mode.
Pin Descriptions:
Channel Select (pin 20)
This sets the operating carrier frequency of the module. This enables separate groups of modules to coexist in the same vicinity without any interference. For operation see page 2.
TX / RX (pin 19)
When connected to Vcc Zulu is a Transmitter.
When connected to GND Zulu is a Receiver.
XTAL1, XTAL2 (pins 29, 30)
The Zulu module requires a 30MHz drive crystal to be connected between XTAL1-2.
Any standard crystal +/-10ppm ~20pF such as Farnell part no. 184-2247. Note tuning capacitors are not required.
Learn / Erase (pin 23)
Each transmitter has a unique identity. A receiver can ‘sync’ with a transmitter so that the receiver outputs will respond to the transmitter inputs.
To Learn:
- Briefly press the “sync” switch on the receiver.
- Briefly operate any of the transmitter inputs.
To Erase
- Hold pin 7 on the receiver to ground for >10seconds.
- (For complete circuit press learn switch for 10sec).
- Indication of the process is shown in the TX/RX LED.
Tx / Rx LEDs (pins 17, 18)
Direct LED drive which operates whenever there is RF activity Tx or Rx.
| Mode | TX/Rx LED | Description |
| Normal operation | ON | The module is transmitting/receiving RF data |
| OFF | No RF data is being transmitted/received | |
| Learn mode | Flashing at low speed | The module is searching for another to pair with. |
| Flashing at high speed 3secs | Pairing successful |
The following descriptions apply to the Zulu Module in TRANSMITTER Mode
When configured as a Transmitter the ZULU Module will automatically default to low power sleep mode until any input state change takes place.
On receipt of an input state change, the ZuluTx will transmit a packet showing the status of all inputs (multiple state changes can take place simultaneously).
The ZuluTx will remain “awake” until:
- The paired ZULU Rx Module has acknowledged, or
- A timeout value of 4 retry transmissions. (Pin 26 output will then be flashed)
Analogue / Digital (pin 3)
This input configures Input 1-2 to be analog or digital inputs.
Note: this input is read at power-up only.
Analogue Inputs (4,5)
If enabled each input is 10bit A/D which can accept a voltage between 0 –Vcc.
Each input is sampled ten times per second, and the value is averaged before transmission.
ZuluTx will transmit whenever there is a change in the detected input voltage of 0.025V.
If no change of voltage is measured then the ZuluTx will not transmit. A nominal 1uF capacitor.
is recommended across the analog inputs in order to prevent noise from being read and transmitted.
Note: A maximum of three RF packets are sent per second.
Digital Inputs
High Impedance Inputs, LVCMOS / LVTTL compatible.
Can be connected directly to CMOS/TTL logic or switch inputs connected to 0V (active low).
A change on the input will cause the ZuluTx to wake, read the inputs and initiate RF transmission.
Watchdog Input (pin 13)
The watchdog is designed to enable the ZuluRx to be aware of any potential problems with the RF link to a synced ZuluTx.
When activated the ZuluTx will automatically transmit a call-in packet a regular basis every 10seconds. Input statuses are not sent as part of the watchdog signal.
Note: This pin is only read on power-up. Watchdog is only valid on a 1-1 system.
RF Fault (pin 26)
Direct drive to LED. Each time the ZuluTx transmits the status of its inputs, it expects an acknowledgment from the paired receiver. If this is received then the RF Fault LED is not used. If no acknowledgment is received RF Fault is flashed.
| RF Fault LED Status | Description |
| OFF | The receiver has acknowledged correctly |
| Flashing at 1Hz | No acknowledgment received |
Transmitter example application circuit

Notes:
Watchdog is ON
Channel selected is 869.500
Analogue inputs active
The following descriptions apply to the Zulu module in RECEIVER mode:
Analogue outputs (pin 4, 5)
If enabled the ZuluRx outputs PWM signal.
The PWM may be used directly (e.g. for motor control).
The PWM signal is a proportional digital output representing the analog input.
If the analogue input is 0V then the PWM output will be ‘0’.
If the analogue input is 1/2Vcc then the PWM output will be a square wave with 50% duty cycle, (operating at approx 23KHz).
If the analogue input is Vcc then the PWM output will be ’1’.
In order to re-create an analog signal (representing the analogue input at the transmitter), the output should be fed through an RC network as above.
Digital outputs
CMOS / TTL compatible outputs. Can be connected directly to CMOS/TTL logic or drive.
Analogue / Digital (pin 3)
This input configures outputs 1-2 to be analog or digital outputs.
Note: this input is read at power-up only.
Watchdog Input (pin 13)
When activated the ZuluRx module will automatically expect to receive a watchdog signal from the ZuluTx on a regular basis (10seconds) If it has failed to receive this within a 30second period it will assert drop all outputs and flash the RF fault output.
RF fault
Direct drive to LED. Flashes when watchdog fails.
| RF fault status | Description |
| OFF | ZuluRx has received watchdog correctly |
| Flashing at 2Hz | No watchdog received |
| OFF | watchdog is inactive |
Receiver Application Circuit

Notes:
Watchdog is ON
Channel Selected is 869.500
Analogue outputs active
Application Example ONE to ONE

In this application, the outputs at the receiver will track the inputs at the transmitter.
The receiver outputs are acknowledged back to the transmitter.
If required the Watchdog can be enabled to inform the user if the RF system has a fault.
Mechanical Dimensions

Range
The antenna choice and position directly control the system range. Keep it clear of other metal in the system. The best position by far, is protruding vertically from the top of the product. This is often not desirable for practical reasons and thus a compromise may be needed. Note that the space around the antenna is as important as the antenna itself. All radio systems are dependent on a radio signal being received through the airspace.
The range quoted is optimal in a direct line of sight without obstacles and in good atmospheric conditions.
The range is affected by many things, for example, local environmental conditions, atmospheric conditions, interference from other radio transmitters. For evaluating the local environment please see our RF Meter (DS006).
In very worse case applications the range quoted may be reduced dramatically below the optimal range stated.
Recommended Antenna 868MHz
The BEAD Antenna provides a Miniature PCB mounting solution
where performance is required from a small space.
Available as a straight or 90-degree mount this antenna is a general-purpose Omni-directional. Please see Datasheet ANT-BEAD-868.
Technical Specifications
Absolute Maximums:
Temperature Range: Storage –50 to +125oC.
DC Characteristics
| Parameter | Min | Max | Units |
| Supply Voltage | 4.0 | V | |
| Voltage on any Input VDD >2.2V VDD <2.2V | 5.8 VDD + 3.6 | V V V | |
| Max Input power (thro Antenna) | +5 | dBm |
| Parameter | Min | Typical | Max | Units |
| Supply Voltage | 2. | 4. | V | |
| Operating Temperature | -40 | -r85 | ‘C | |
| Zulu Tx Supply Current: When Transmitting When sleeping | 85 1 | mA uA | ||
| Zulu Rx Supply Current: | I 8 5 | mA |
AC Characteristics
| Parameter | Min | Typical | Max | Units |
| Operating Frequency 1 Operating Frequency 2 Deviation | 869.50 0868. 1 33 50 | MHz MHz kHz | ||
| Operating Temperature | -40 | +85 | °C | |
| Zulu Tx Output Power | +20 | dBm | ||
| Zulu Tx—Rx FSK Raw RF Data Rate | 9.6 | Kbps | ||
| Zulu Rx Sensitivity | -121 | dBm |
System Characteristics
| Parameter | Min | Typical | Max | Units |
| Time from Zulu Tx input activation time to Zulu RX output Activation | 28 | ms | ||
| Time from Zulu Tx input activation time to Zulu RX output Relaxing | 28 | ms |
ZuluT Evaluation Board
The ZULU EVAL Boards provide a ready-to-go platform that can be used for evaluation or complete projects. These boards demonstrate the capabilities of ZULU Modules.

Features
- Provides a Radio Link with;
- 10 Digital Channels
- 2 Analogue Channels (PWM)
- Watchdog Feature
- Direct Antenna Connection
- 9-12Vdc Power in Terminal
- LED Indication of
- Power
- Transmit / Receiver
- RF Error
The Evaluation boards are sold as a TX and RX PCB pair, ready for component use.
| Part No | Description |
| ZULU-EVENT | Tx and RX PCB Pair |
| PSU-12V1A-UK | Power Supply 12V 100mA |
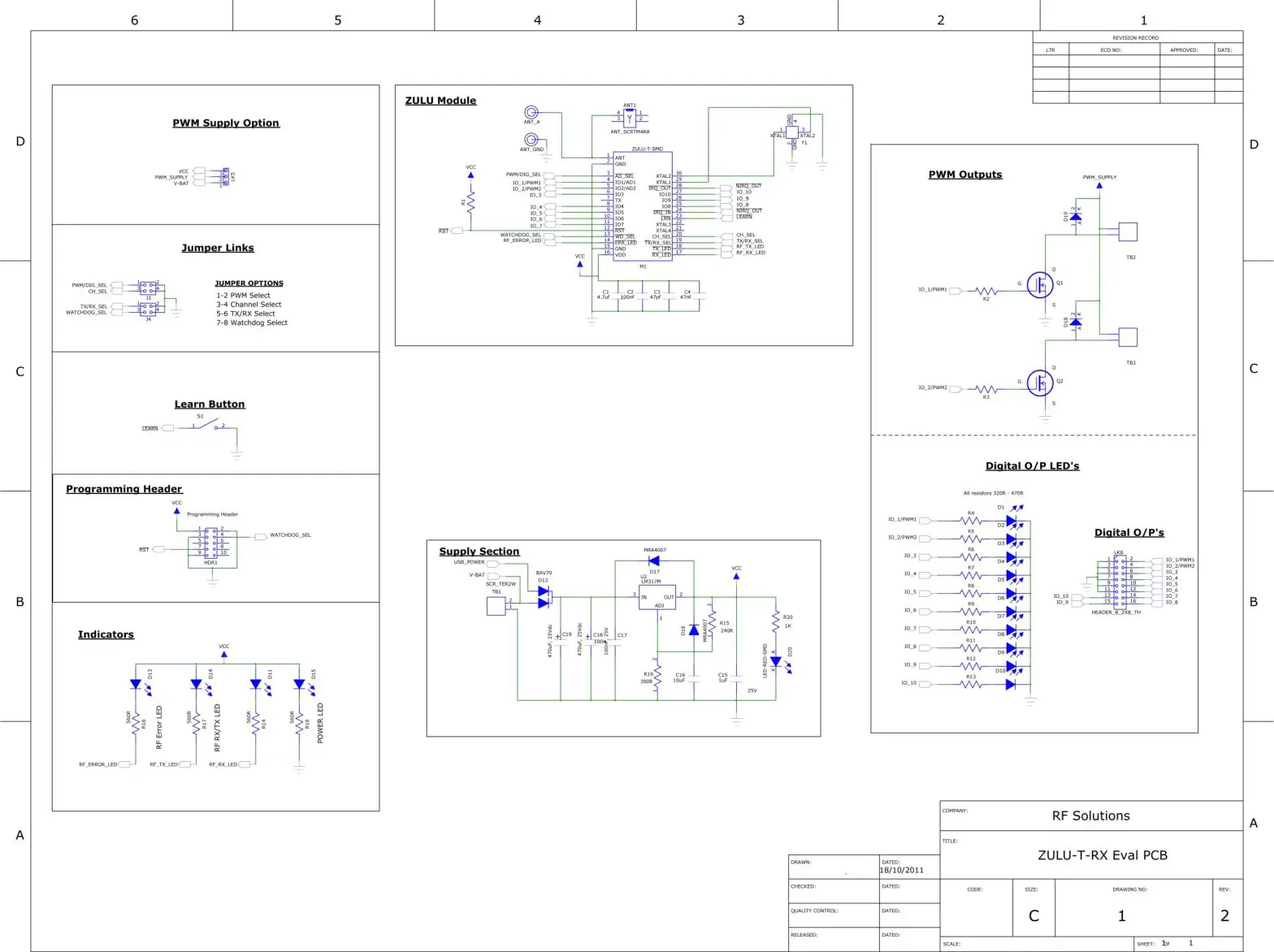
ZuluT Evaluation Board Configuration

Overview
When paired together the outputs of the receiver will follow the inputs at the transmitter.
The serial outputs also provide data from the receiver.
To get up and running complete the following;
- Set the jumper links as below
- Screw-in Antenna
- Apply power
- Pair together the receiver and transmitter board
Jumper Links
Note that the Jumper links are read on Power up only
| Reference | Name | When Fitted | When Open |
| J3 | A/D | VO 1 & 2 are analog operation | I/0 1 & 2 are set to Digital operation |
| J3 | Channel Select | Zulu operates on Channel A | Zulu operates on Channel B |
| J4 | TX/ RX Select | Zulu set as Transmitter | Zulu set as Receiver |
| J4 (Transmitter) | Watchdog Enable | Watchdog enabled | Watchdog Disabled |
| J4 (Receiver) | PWM Enable | Enables PWM Output | Output’s 1& 2 sets to Digital |
| LK1-LK4 | Comms Select | All links from Centre to USB All links from Centre to RS232 | N/A |
| LK5 (Receiver) | PWM Supply | Vcc: PWM is powered from Vcc VSUPPLY: PWM is powered from the incoming V supply at TB1 |
Pairing Process
In order to pair together with a Transmitter and receiver,
- On the Receiver Briefly press the Receiver ‘Sync Button’
- Briefly operate any of the transmitter buttons
For all other operations please refer to the ZULU Module operation
Analogue in / PWM Out
When using the analog RF link, by turning the potentiometer VR1 or VR2, outputs 1 and 2 at the receiver will vary between 0 and 100% PWM, the EVAL-T board has these outputs connected to LED’s 1 and 2 which will ‘dim’ their brightness with the adjustment of the transmitter VR1 and 2.
Zulu evaluation board receiver schematic

Zulu evaluation board transmitter PCB layout

Simplified Declaration of Conformity (RED)
Hereby, RF Solutions Limited declares that the radio equipment type defined within this document is in compliance with Directive 2014/53/ EU. The full text of the EU declaration of conformity is available at the following internet address: www.rfsolutions.co.uk
RF Solutions Ltd. Recycling Notice
Meets the following EC Directives:
DO NOT
Discard with normal waste, please recycle.
ROHS Directive 2011/65/EU and amendment 2015/863/ EU
Specifies certain limits for hazardous substances.
Waste Batteries and Accumulators
Directive 2006/66/EC
Where batteries are fitted, before recycling the product, the batteries must be removed and disposed of at a licensed collection point.
WEEE Directive 2012/19/EU
Waste electrical & electronic equipment. This product must be disposed of through a licensed WEEE collection point.
RF Solutions Ltd. fulfills its WEEE obligations by the membership of an approved compliance scheme.
Environment agency registration number WEE/JB0104WV.
Disclaimer:
Whilst the information in this document is believed to be correct at the time of issue, RF Solutions Ltd does not accept any liability whatsoever for its accuracy, adequacy or completeness. No express or implied warranty or representation is given relating to the information contained in this document. RF Solutions Ltd reserves the right to make changes and improvements to the product(s) described herein without notice. Buyers and other users should determine for themselves the suitability of any such information or products for their own particular requirements or specification(s). RF Solutions Ltd shall not be liable for any loss or damage caused as a result of the user’s own determination of how to deploy or use RF Solutions Ltd’s products. Use of RF Solutions Ltd products or components in life support and/or safety applications is not authorized except with express wrote approval. No licenses are created, implicitly or otherwise, under any of RF Solutions Ltd’s intellectual property rights. Liability for loss or damage resulting from or caused by reliance on the information contained herein or from the use of the product (including liability resulting from negligence or where RF Solutions Ltd was aware of the possibility of such loss or damage arising) is excluded. This will not operate to limit or restrict RF Solutions Ltd’s liability for death or personal injury resulting from its negligence.
www.rfsolutions.co.uk
RF Solutions Ltd: William Alexander House, William Way, Burgess Hill, West Sussex, RH15 9AG
Sales: +44 (0)1444 227900
Tech Support: +44 (0)1444 227909















.jpg)




