TELEMED MicrUs and MicrUs Pro Series Ultrasound Systems

Echo Wave A Software Measurements and Calculations Overview
This document presents equations that are used for Echo Wave A measurements and calculations.
B mode measurements and calculations.
- Distance
- Area (method: 1 ellipse)
- Circumference(method: 1 ellipse)
- Volume (method: 1 ellipse)
M mode measurements and calculations
- Distance
- Time
- Velocity
- Heart Rate (method: 2 beats distance)
PW mode general measurements and calculations
- One-point PW measurements and calculations:
- Velocity
- Pressure Gradient (PG)
- Two-point PW measurements and calculations:
- Velocities difference
- Pressure Gradient (PG) difference
- Time interval
- Acceleration
- Resistivity Index (RI)
- Heart Rate (2 beats)
B mode general measurements and calculations
In this section are presented basic equations that are used both for general measurements and calculations. Please note that not all here described measurements may have control items in the software user interface, but they may be used in other calculations.
B Distance

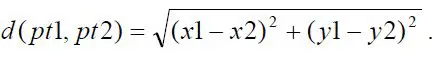
Distance d between points pt1 and pt2 is calculated using the following equation:

B Area (Ellipse)

- During measurements and calculations, we assume that the ellipse axis between two circular marker points pt1 and pt2 is the “long axis”, and the axis with one circular endpoint marker pt3 is the “short axis”. And this “long axis” and “short axis” notation remains unchanged no matter what are real lengths of these axes.
- Area S and circumference P (perimeter) of an ellipse with long axis length dl1 and short axis length ds1 are calculated using the following equations:

- Volume V of an ellipsoid with axes lengths dl1, ds1, and ds2=ds1 is calculated using the following equation:

B Volume (1 ellipse)
- See the “B Area (Ellipse)” section.
M mode general measurements and calculations
Usually in M mode ultrasound image horizontal axis (x-axis) represents time (in seconds), and the vertical axis (y-axis) represents depth (in millimeters). In M mode images are usually performed with two-point-based measurements and calculations. For measurements and calculations, we use the (time [s], depth [mm]) coordinate system, where each point can be described by its time (in seconds [s]) and depth (in millimeters [mm]). For example, notation pt1(x1,y1)=(5,120) means that coordinates of point pt1 are x1=5s and y1=120mm. Here pt1 and pt2 are two end-points of one line (distance).

M Distance
Distance between points pt1 and pt2 is calculated using the following equation: d = abs ( d1 – d2 ), here
- d [mm] – distance,
- d1 [mm] – depth at point pt1,
- d2 [mm] – depth at point pt2,
- abs(…) means that is calculated absolute value.
M Time
Time interval (difference) between points pt1 and pt2 is calculated using the following equation: t = abs ( t1 – t2 ), here
- t [s] – time interval (difference),
- t1 [s] – time at point pt1,
- t2 [s] – time at point pt2.
M Velocity
Velocity between points pt1 and pt2 is calculated using the following equation: Vel = abs ( d2 – d1 ) / abs ( t2 – t1 ), here
- Vel [mm/s] – velocity,
- t1 [s] – time at point pt1,
- d1 [mm] – depth at point pt1,
- t2 [s] – time at point pt2,
- d2 [mm] – depth at point pt2.
M Heart Rate (HR)
Heart Rate (HR) using markers pt1 and pt2 is calculated according to the following equation: HR = 60*beats_num / abs(t2-t1), here
- HR [beats/min] – Heart Rate in beats per minute,
- abs(t2-t1) [s] – the time interval between markers pt1 and pt2,
- beats_num [beats] – the number of heartbeats (e.g., 2) in a measured time interval.
PW Doppler mode general measurements and calculations
Pulsed Wave (PW) Doppler mode measurements and calculations are available only for scanners that support PW Doppler scanning mode. Usually in PW Doppler mode ultrasound image horizontal axis (x-axis) represents time (in seconds), and the vertical axis (y-axis) represents velocity (in centimeters per second). On PW image we can perform one-point (one-marker) and two-point measurements and calculations. For measurements and calculations, we use the (time [s], velocity [cm/s]) coordinate system, where each point can be described by its time (in seconds [s]) and velocity (in centimeters per second [cm/s]). For example, notation pt1(x1,y1)=(5,20) means that coordinates of point pt1 are x1=5s and y1=20cm/s.

One-point PW measurements
PW Velocity
- pt(x,y)=(time [s], velocity [cm/s])=(t,V)
- If the y-axis of the PW ultrasound image represents velocities, then velocity V at the point pt is equal to this point’s y-coordinate value. Velocities may have both positive and negative values.
PW Pressure Gradient (PG)
- pt(t,V)
- The pressure Gradient (PG) at point pt is calculated using the following equation:
- PG = 4 . V 2, here
- PG [mmHg] – Pressure Gradient,
- V [m/s] – velocity,
- 1 m/s = 100 cm/s.
- Reference:
- Oh, J.K., J.B. Seward, A.J. Tajik. The Echo Manual. 2nd ed., Lippincott, Williams, and Wilkins, (1999), p. 64.
Two-point PW measurements

For two-point PW measurements, we use coordinates (time, velocity) of two end-points pt1 and pt2 of one line (distance).
PW Velocities difference
- The velocity difference between points pt1 and pt2 is calculated using the following equation:
- Vel_diff = abs ( V1 – V2 ), here
- Vel_diff [cm/s] – velocities difference,
- V1 [cm/s] – velocity at point pt1,
- V2 [cm/s] – velocity at point pt2,
- abs(…) means that is calculated absolute value.
PW Pressure Gradients (PG) difference
- The pressure Gradients (PG) difference between points pt1 and pt2 is calculated using the following equation:
- PG_diff = abs ( PG1 – PG2 ), here
- PG_diff [mmHg] – Pressure Gradients (PG) difference,
- PG1 [mmHg] – Pressure Gradient at point pt1,
- PG2 [mmHg] – Pressure Gradient at point pt2.
- For Pressure Gradient (PG) calculation please see the “PW Pressure Gradient” section.
PW Time
- The time difference (time interval) between points pt1 and pt2 is calculated using the following equation:
- t = abs ( t2 – t1 ), here
- t [s] – time difference (time interval),
- t1 [s] – time at point pt1,
- t2 [s] – time at point pt2.
PW Acceleration
- Acceleration between points pt1 and pt2 is calculated using the following equation:
- Acc = abs ( V2 – V1 ) / abs ( t2 – t1 ), here
- Acc [cm/s2] – acceleration,
- t1 [s] – time at point pt1,
- V1 [cm/s] – velocity at point pt1,
- t2 [s] – time at point pt2,
- V2 [cm/s] – velocity at point pt2.
- Reference:
- Zwiebel, W.J. Introduction to Vascular Ultrasonography. 4th ed., W.B. Saunders Company, (2000), p. 52.
PW Resistivity Index (RI)
- Resistivity Index (RI) between points pt1 and pt2 is calculated using the following equation:
- RI = abs ( abs(V1) – abs(V2) ) / max ( abs(V1), abs(V2) ), here
- RI [unitless] – Resistivity Index,
- V1 [cm/s] – velocity at point pt1,
- V2 [cm/s] – velocity at point pt2,
- max(…,…) means that we get the maximal value from two passed values.
- References:
- Evans, D.H., N. McDicken. Doppler Ultrasound: Physics, Instrumentation, and Signal
- Processing. Second Edition. John Wiley & Sons, (2000), p. 456.
- Burns, Peter N. The Physical Principles of Doppler and Spectral Analysis. Journal of
- Clinical Ultrasound, November/December 1987, vol. 15, no. 9, p.586.
- Kurtz, A.B., W.D. Middleton. Ultrasound – the Requisites. Mosby Year Book, Inc., (1996), p. 467.
PW Heart Rate (HR)
- Heart Rate (HR) using markers pt1 and pt2 is calculated according to the following equation:
- HR = 60*beats_num / abs(t2-t1), here
- HR [beats/min] – Heart Rate in beats per minute,
- abs(t2-t1) [s] – the time interval between markers pt1 and pt2,
- beats_num [beats] – the number of heartbeats in the measured time intervals (usually 1 or 2).
Conversion of measurement units
- 1 cm = 10 mm
- 1 cm2 = 100 mm2
- 1 cm3 = 1000 mm3
- 1 cm3 = 1 ml
- 1 m/s = 100 cm/s
- 1 cm/s = 10 mm/s
- 1 min = 60 s
Revision History
| Revision | Revision Date | Description of Revision | Revision Author |
| 1.0.0 | 2019.10.07 | Initial Release | V.Perlibakas |
| 1.0.1 | 2020.05.14 | Changed first-page photo. | V.Perlibakas |
| 1.2.0 | 2020.08.11 | Added information about M mode measurements. | V.Perlibakas |
| 1.2.1 | 2020.08.13 | Added section “M Heart Rate”. | V.Perlibakas |
| 1.3.0 | 2022.09.29 | Added information about PW mode measurements | V.Perlibakas |
| 1.3.1 | 2022.12.08 | Updated company information. | V.Perlibakas |
- (c)1992-2023 TELEMED, UAB
- Company address: Savanoriu pr. 178A, Vilnius, LT-03154, Lithuania
- Internet: www.pcultrasound.com, www.telemed.lt.
- Information, sales e-mail: [email protected], [email protected].
- Technical Support e-mail: [email protected], [email protected].
- Internet page: http://www.pcultrasound.com.
- Information E-mail: [email protected].
- Support E-mail: [email protected].




















