8000FC Fiber Optic Pulse Oximeter Sensors
Instruction Manual
Model 8000FC (Adult/Pediatric) and
Model 8000FI (Infant/Pediatric)
Fiber Optic Pulse Oximeter Sensors![]()
![]()
Intended Use
The Noni Model 8000FC Adult/Pediatric and 8000FI Infant/Pediatric Fiber Optic
Sensors are intended for use with Noni’s Fiber Optic Pulse Oximeters, for spot-checking or continuous monitoring of functional oxygen saturation of arterial hemoglobin (SpO2) and pulse rate in a Magnetic Resonance (MR) environment.
Note: Because the fiber optic sensors and cables contain no conductive components, they can safely be placed on the patient while inside an MR (magnetic resonance) environment.
Warnings:
- Do not use this device on neonatal patients.
- Do not use a damaged sensor. If the sensor is damaged in any way, do not use, or discontinue use immediately.
- As with all medical equipment, carefully route patient cables and connections to reduce the possibility of entanglement or strangulation.
- The fiber cable for the sensor is extremely sensitive and must be handled with caution at all times.
- The connector that attaches to the monitor must be kept outside the 200 Gauss line of the MR field and firmly secured to the monitor.
- Inspect the sensor application site at least every 4 hours to ensure correct sensor alignment and skin integrity. Patient sensitivity to sensors and/or adhesive strips may vary due to medical status or skin condition.
- Avoid excessive pressure to the sensor application site as this may cause damage to the skin beneath the sensor.
Cautions:
- The sensor might not work on cold extremities due to reduced circulation. Warm or rub the finger to increase circulation, or reposition the sensor.
- Do not gas sterilize or autoclave this sensor.
- Do not immerse the sensor in any liquids.
- Do not use caustic or abrasive cleaning agents on the sensor.
- Follow local, state and national governing ordinances and recycling instructions regarding disposal or recycling of the device and device components, including batteries. Use only Noni-approved battery packs.
- In compliance with the European Directive on Waste Electrical and Electronic Equipment (WEEE) 2002/96EC, do not dispose of this product as unsorted municipal waste. This device contains WEEE materials; please contact your distributor regarding take-back or recycling of the device. If you are unsure how to reach your distributor, please call Non in for your distributors contact information.
- A functional tester cannot be used to assess the accuracy of a pulse oximeter sensor.
- This device is designed to determine the percentage of arterial oxygen saturation of functional hemoglobin. Factors that may degrade pulse oximeter performance or affect the accuracy of the measurement include the following:
• excessive ambient light
• excessive motion
• electrosurgical interference
• blood flow restrictors (arterial catheters, blood pressure cuffs, infusion lines, etc.)
• moisture in the sensor
• improperly applied sensor
• incorrect sensor type
• poor pulse quality
• venous pulsations• anemia or low hemoglobin concentrations
• cardiogram and other intravascular dyes
• carboxyhemoglobin
• methemoglobin
• dysfunctional hemoglobin
• artificial nails or finger nail polish
• a sensor not at heart level
• residue (e.g., dried blood, dirt, grease, oil) in the light path
Symbols:
| Symbol | Definition |
| Follow Instructions for Use | |
| Caution! | |
| CE Marking indicating conformance to EC Directive No. 93/42/ EEC concerning medical devices | |
| Authorized Representative in the European Union. | |
| Lot number | |
| Catalog number | |
| Quantity | |
| Manufacturer | |
| Date of manufacture | |
| MR Conditional Symbol | |
IP32 | Protected against vertically falling water drops when enclosure is tilted up to 15 degrees and ingress of solid foreign objects greater than or equal to 2.5 mm in diameter per IEC 60529. |
| Indicates separate collection for waste electrical and electronic equipment (WEEE) | |
| Storage/shipping temperature range | |
| Federal law (USA) restricts this device to sale by or on the order of a licensed practitioner. | |
| Country of manufacture |

Applying the Sensor
Notes:
- Use care when applying/removing the sensor wrap to/from the sensor. The sheathing material protecting the glass fibers (located in the area between the dotted lines in Figure 2) is fragile and can easily be damaged.
- If the sensor is not positioned properly, light may bypass the tissue and result in SpO2 inaccuracies. Proper sensor application is critical for optimal performance.
8000FC:
- The preferred site for the sensor application is the index finger (not the thumb) of adult and pediatric patients. For patients with large fingers, the ring finger or little finger may be used.
- Before applying the sensor, ensure the nail is trimmed to allow the fingertip to rest against the sensor strap.
- Vertically align the sensor as illustrated (Figure 1). Avoid any configuration that would allow emitted light to bypass the fingertip.
- Secure the sensor with Nontin Model 8000FW Sensor Wrap. Model 8000FW is designed to block the ambient light. Other wraps or tapes are not recommended.
8000FI:
- Place the sensor strap between the large toe and the second toe (Figure 3). Vertically align the emitter bundle directly opposite the detector bundle. Avoid any configuration that would allow emitted light to bypass the toe.
- Overwrap the sensor and foot with Noni Model 8000TW Sensor Wrap. To ensure excessive ambient light does not affect sensor performance, other wraps or tapes are not recommended.
- Secure the cable to the ankle with adhesive tape, relieving strain on the sensor from the cable. Ensure that the tape securing the cable does not restrict blood flow.
Verifying Operation
Allow at least 1 minute for the system to stabilize after the sensor has been properly applied and the patient is at rest. After stabilization, verify that the system is operating properly by:
- Ensuring that the sensor is applied to the finger (8000FC)/toe (8000FI) as described above.
- Observing the Pulse Strength Bar Graph is blinking green at a rate and rhythm corresponding to the patient’s pulse for at least 3 minutes.
- Observing that the SpO2 and pulse rate displays are stable and displaying values expected for the patient.
If the following are observed, reposition the sensor or move the sensor to a different finger (8000FC) or toe (8000FI), following the steps of “Applying the Sensor.” - The Pulse Strength Bar Graph is blinking yellow or red.
- The Pulse Strength Bar Graph, pulse rate display, or SpO2 display are functioning inconsistently.
If unable to verify operation, do not use the pulse oximeter. Contact Non in for assistance.
Cleaning the Reusable Sensor
Cautions:
- Clean the sensor before applying it to a new patient.
- Unplug the sensor from the pulse oximeter before cleaning.
- Do not sterilize, autoclave, or immerse the sensors in liquid of any kind. Do not pour or spray any liquids into the sensor.
- Do not use caustic or abrasive cleaning agents on the sensors. Do not use cleaning agents containing ammonium chloride.
1. Clean the sensor with a soft cloth dampened with a mild detergent or a 10% bleach/90% water solution (household bleach [containing less than 10% sodium hypochlorite]). Ensure that all tape residue is removed.
2. Allow the sensor to dry thoroughly before reusing.
Note: To minimize cable deterioration when cleaning the cable, gently wipe away from the plug end towards the sensor end.

Specifications
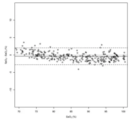
SpO2 Accuracy1, 2, 3 :
| Range | Oxygen Saturation (Arms*) |
| 70 – 100% | ±2 |
| 70 – 80% | ±2 |
| 80 – 90% | ±2 |
| 90 – 100% | ±2 |
SpO2 Low Perfusion Accuracy: 70% to 100% ±2 digits (Arms*)¹
Pulse Rate Accuracy: 20 to 250 BPM ±3 digits (Arms*)¹
Pulse Rate Low Perfusion Accuracy: 40 to 240 BPM ±3 digits (Arms*)¹
Temperature:⁴ ⁵
Operating: 0 °C to 40 °C (32 °F to 104 °F)
Storage/Transportation: -30 °C to 50 °C (-22 °F to 122 °F)
Humidity: 4, 5
Operating: 10% to 95% non-condensing
Storage/Transportation: 10% to 95% non-condensing
* ±1 Arms encompasses 68% of the population at zero bias.
1 Additional accuracy and performance information can be found in the sensor accuracy document on the operator’s manual CD.
2 Accuracy testing was performed under no-motion conditions.
3 Accuracy specifications based on Noni’s Purest® SpO2 technology and Pure Light®sensor technology.
4 For combined oximeter/sensor specifications, refer to the applicable oximetry system’s operator’s manual.
5 Range as tested with Noni’s Purest SpO2 technology.
Measurement Wavelengths and Output Power**
Red: 660 nanometers @ 0.8 mW maximum average
Infrared: 910 nanometers @ 1.2 mW maximum average
** This information is especially useful for clinicians performing photodynamic therapy.
Compliance
This product complies with ISO 10993-1.
Not made with natural rubber latex.
Warranty
The 8000FC/8000FI is warranted for 90 days from delivery.
Nontin reserves the right to make changes and improvements to these instructions and the product it describes at anytime, without notice or obligation.
Nontin Medical, Inc.
13700 1st Avenue North
Plymouth, MN 55441, USA
nonin.com
+1 (763) 553-9968
(800) 356-8874 (US and Canada)
+31 (0)13 – 79 99 040 (Europe)
Fax: +1 (763) 553-7807
+31 (0)13 – 79 99 042 (Europe)
E-mail: [email protected]
[email protected] (Europe)
MPS, Medical Product Service GmbH
Seaborne 20
D-35619 Braunfels, Germany
1340-000-12
©2016 Nontin Medical, Inc.


















