
Pulse Oximeter
INSTRUCTIONS FOR:
Item # 40-815-000
Item # 40-816-000
Item # 40-817-000
Package Includes:
|
IMPORTANT
Thank you for purchasing this Pulse Oximeter.
This manual contains the instructions necessary to operate the product safely and in accordance with its function and intended use. Please read this manual in its entirety for proper product performance, correct operation, and to ensure patient and operator safety.
- Read this manual carefully before using the fingertip pulse oximeter.
- Product lifespan is 2 years.
SAFETY
CONTRAINDICATIONS: Do not use an oximeter in a magnetic resonance (MR or CT) environment.
WARNINGS: Keep the oximeter away from young children. Small parts such as the battery door, battery, and lanyard may be choking hazards.
CAUTIONS:
- Do not use an oximeter in the presence of flammable anesthetics.
- The oximeter needs to be used according to the information provided in the user manual.
- The equipment is NOT intended for neonates or infants.
- Do not use a damaged oximeter which may affect measurement performance.
- Do not place the oximeter on the same hand/arm when using a blood pressure cuff or monitor.
- Do not use the oximeter for more than 5 minutes without relocating the device to another finger.
- Do not place the oximeter on edema or fragile/tender tissues.
- Do not use the oximeter as the only basis for making medical decisions, it is intended only to be used as additional information that you can give to your licensed health care professional.
- Do not use the oximeter in high-frequency environments such as electro-surgical equipment.
- Do not place the oximeter in liquid.
- Follow local disposal and recycling laws for the oximeter and its components, including the battery.
- Do not stare at the light (the infrared is invisible) which emitted from the oximeter is harmful to the eyes.
- For clinical limitations and contraindications, please carefully review this manual.
- The equipment is just a clinical diagnosis of auxiliary equipment. The physiological data displayed on the equipment are for reference only and can not be directly used for diagnostic interpretation.
- Not suitable for the users with arrhythmia/heart failure / low perfusion (PI <0.3) / finger trembling.
- Not suitable for the users with large finger size or exceeding pulse oximeter’s finger measurement cavity size.
- Do not use the thumb or little finger for measurement.
- Discomfort or pain may appear if using the equipment continuously, especially for micro-circulation barrier patients, it is recommended that the equipment should not be used on the same finger for more than 5 minutes.
- The oximeter is designed to measure the percentage of arterial oxygen saturation of functional hemoglobin
- Any of the following conditions may reduce the performance of the oximeter.
- Flicking or very bright light
- Moisture in the oximeter
- The individual weight less than 44 lbs. (20kgs)
- Week pulse quality (low perfusion)
- Venous pulsations
- Low hemoglobin
- Cardiogreen and other intravascular dyes
- Carboxyhemoglobin
- Methemoglobin
- Dysfunctional hemoglobin
- Artificial nails or fingernail polish
- Cold hands or fingers
- Patients with an abnormal circulation of finger endings caused by COPD.
INTRODUCTION
The pulse oxygen saturation is the percentage of lib02 in the total Hb in the blood, so-called the 02 concentration in the blood. It is an important bio-parameter for respiration.
INTENDED USE:
The pulse oximeter is a portable, convenient, non-invasive device, used to monitor arterial hemoglobin oxygen saturation (SP02) and pulse rates. This unit is designed for adult patients (weight: >60 lbs.) and pediatric patients (weight: 44 — 60 lbs.). We recommend using the index finger, middle finger or ring finger as the best suitable locations for measurement. THIS FINGERTIP PULSE OXIMETER IS NOT A MEDICAL DEVICE AND CANNOT BE USED FOR MEDICAL DIAGNOSTIC OR TREATMENT ACTIVITIES.
CAUTION:
- The pulse oximeter is NOT designed for newborns or infants. For adults and children, we recommend the person’s finger thickness should be between 0.31″ — 1.0″ (8 —25.4mm)
NOTES:
- The probe is the hole in the middle of the equipment in which the finger is inserted
- The probe is the Applied part of the equipment
FEATURES:
- The pulse oximeter is small and lightweight making it easy to carry with you anywhere.
- One button for easy operation
- Three operating modes: power off, sleep, and measure.
- Automatically goes into sleep mode within 8 seconds after the finger has been removed and no signal is

FUNCTIONS
| Function | 40-815-000 / 40-816-000 | 40-817-000 |
| Display | LED | OLED |
| Sp02 Parameter Measurement | Yes | Yes |
| Pulse Rate Parameter Measurement | Yes | Yes |
| Bar Graph Display | Yes | Yes |
| Battery Display | Yes | Yes |
| Automatically Enters Sleep Mode | Yes | Yes |
| Pulse Waveform Display | — | Yes |
| Four Direction Display | — | Yes |
SYMBOLS

BATTERY INSTALLATION
- Slide cover off of the backside of the pulse oximeter.
- Insert two ‘AAA’ batteries into the compartment, matching the indicated polarity symbols.
- To close, slide the cover back into place.
WARNING:
- Battery polarities should be correctly installed, otherwise, it may damage the unit.
- Remove batteries if unit will be stored for more than 30 days.
- To completely turn off the unit, please remove the batteries. Otherwise, the unit is always in sleep mode, but may still be using some battery power.
- Batteries may leak or explode if used or disposed of improperly
OPERATING GUIDE
- Remove the battery cover and insert the two ‘AAA’ batteries noting the polarity markings indicated inside of the battery compartment. Replace the cover.
- Hold the oximeter with the display facing toward you. Slide your finger into the opening probe of the device (as shown below) until the fingertip touches the built-in stop guide. For best results, make sure the finger is centered within the finger guide.
- Press the button to activate the oximeter from sleep mode. The measurement interface will appear in 3 seconds.
- The measurement results will show on the screen.
- The oximeter will turn back to sleep mode automatically within 8 seconds after the finger has been pulled out.

OPERATING NOTES
- Only use your ring finger, middle finger or index finger for measurements.
- Excessive or rapid movements may affect measurement accuracy.
- Improper sensor placement may affect the measurement accuracy.
- The oximeter can be reused after cleaning and disinfection.
- Be sure to keep the oximeter at the same level as your heart.
- The display will show an invalid indicator as ‘—‘ if the signal is very low.
- The display will show an invalid indicator as ‘—‘ if an oximeter error occurs.
- Do not use the oximeter for more than 5 minutes without relocating the device to another finger.
SPECIFICATIONS
Classification
Type of protection against electric shock …………….. II (Internally powered equipment
Degree of protection against electric shock…… Type BF-Applied part (non-defibrillation proof)
Operating Mode…………………………………………………………………………. Spot Checking
Degree of protection against hazards of explosion … Ordinary Equipment: Not Protected
Equipment Type…………………………………………………………………….. Fingertip Oximeter
Power Requirements
Specification of Batteries……………………………………………………………… Two 1 .5v (AM)
Operation Voltage……………………………………………………………………….. DC 2.3-3V
NOTE: Product specifications are subject to change without prior notice. Illustrations used in this manual may differ slightly from the actual product. Illustrations are for reference only.
Measurement Specifications
Sp02 Declared Accuracy
Range…………………………………………………………….. 70c1/0-99°/0 ± 2 digits
Resolution………………………………….. 1%
Update Period……………………………. 1 second
Averaging Time…………………………. 8 seconds
PR Declared Accuracy
Range………………………………………………………… 25-250 ± 3 digits
Resolution…………………………………… 1 bpm
Update Period……………………………. 1 second
Averaging Time…………………………. 8 Seconds
Environmental Specifications
Temperature
Operating……………………………………. +41°F-104°F (5°C-40°C)
Storage……………………………………… -4°F-140°F (-20°-60°C)
Humidity
Operating…………………………………… 10-95%, noncondensing
Storage/Transport……………………. 10-95%, noncondensing
Atmosphere Pressure
Operating……………………………………. 70-106 kpa
Storage/Transport…………………….. 50-107.4 kpa
SPECIFICATIONS CONT.
Physical Specifications
Width x Height x Depth…………………………… About 1.29″ x 1.41″ x 2.28″ (33x36x58mm)
Weight………………………………………. 2.1 oz. (60 grams)
Display
| 40-815-000 / 40-816-000 | 40-817-000 | |
| Display Type | LED | OLED, 0.96″, 128×64 pixel |
| Display Content | Sp02%, Pulse rate, Battery Indicator, Bar Graph | Sp02%, Pulse rate, Battery Indicator, Bar Graph, Pulse Waveform, Heart Beat Mark |
LED Wavelengths
| Wavelength | Radiant Power | |
| RED | 660±6mm | 1.8mW |
| IR | 905±10mm | 2.0mW |
TECHNICAL DESCRIPTION
The below table shows the statistical conclusion of an invasive controlled desaturation study guided by “ISO 80601-2-61, Annex EE, Guideline for evaluating and documenting Sp02 Accuracy in human subjects”. The statistic result displayed the accuracy distribution between the range of 700/ – 100%, which may be helpful to the user.
| Bias Analysis Sp02 Pulse Oximeters | Sa02 – Radiometer A BL800 FLEX-CO-Oximeter | |||
| 70-80 (%) | 80-90 (%) | 90-100 (%) | 70-100 (%) | |
| Mean Bias (Bs) | 1.94 | 1.45 | 0.89 | 1.4 |
| Precision (Sres) | 2 | 1.55 | 0.98 | 1.53 |
| Accuracy (Arms) | 1.98 | 1.53 | 0.96 | 1.52 |
The below is the Bland-Altman graphical plot of samples from invasive controlled desaturation study.

MAINTENANCE
The equipment’s design life expectancy is about 2 years, keep your equipment and accessories free of dust and dirt, and follow these rules:
- Please clean the equipment before use. Remove the batteries inside the battery compartment if the equipment will not be operated for a long time (30 days).
- Replace the batteries when the low battery signal appears on the screen.
- It is recommended that the equipment should be kept in a dry environment with no corrosive gases and good The moisture and high-light environments will affect its lifetime and might even damage the equipment.
- It is best to store the product in a place where the temperature is between -4° to 140°F (-20°C to 60°C) and the relative humidity is less than 95%.
- The packed equipment can be transported by ordinary conveyance. The equipment can not be transported mixed with toxic, harmful, corrosive materials.
WARNING: Do NOT make any modification to this equipment.
DISPOSAL: Please dispose of the pulse oximeter in accordance with the local environment and waste disposal laws and regulations.
CLEANING & DISINFECTING
CAUTION
- Never immerse or soak the oximeter in water or other solution.
- We recommend the oximeter be cleaned after every use.
- Never use other cleaning agents or disinfectants than what is recommended.
Cleaning
To properly clean the unit follow the steps below:
- Turn off the pulse oximeter and remove the batteries.
- Gently wipe the unit with cotton or a soft cloth moistened with water.
- After cleaning, wipe off excess water with a soft dry cloth.
- Allow airing dry.
Disinfecting
To disinfect the unit, follow the cleaning steps above.
- Then, use a soft cloth moistened with 70% ethanol or 70% isopropanol to gently clean the unit.
- Use a soft cloth moistened with water to gently wipe clean the unit.
- Allow the oximeter to air dry.
TROUBLESHOOTING
WARNING
- There are no replaceable or serviceable parts on the pulse oximeter.
| Trouble | Possible Reason | Solution |
| The oximeter will not begin measurements | The batteries are completely exhausted | Replace with new batteries |
| The batteries are not installed correctly | Verify and correct the battery orientations | |
| The oximeter is broken | ||
| The display turns off suddenly | The device will automatically go to sleep mode if no signal is detected after 8 seconds | Press the button again to reactivate the oximeter |
| The batteries are completely exhausted | Replace with new batteries | |
| The Sp02 and Pulse Rate displays are unstable | The luminescent or photoelectric window is being blocked | Check the luminescent and photoelectric window |
| Excessive movement | Remain still. Do not move your fingers or hands | |
| The finger is not placed inside far enough | Reposition finger further into the probe | |
| Finger size is not within the recommended range | Use another finger measurement | |
| Excessive ambient light | Move to a room with less ambient light | |
| Pulse rate value of the cyclical fluctuations | The measurement is normal and the patient has arrhythmia | |
| The Sp02 and PR are not displayed normally | The finger is not properly positioned | Reposition finger further into the probe |
| The patient’s Sp02 is too low to be detected | Try to measure again. Consult with your physician |
APPENDIX
The equipment complies with the requirement of standard EN60601-1-2 “Electromagnetic
Compatibility-Medical Electrical Equipment”.
| Guidance and manufacturer’s declaration -electromagnetic immunity | |||
| The 40-815-000 / 40-816 000 / 40-817-000 pulse oximeter is intended for use in the electromagnetic environment specified below. The customer or user of the pulse oximeter should ensure that it is used in such an environment. | |||
| Immunity test | IEC 60601 test level | Compliance level | Electromagnetic environment-guidance |
| Electrostatic discharge (ESD)IEC 61000-4-2 | -6kV contact ±8kV, ±15kV air | _I_6kV contact ±8kV, ±15kV air | Floors should be wood, concrete or ceramic tile.LF floors are covered with synthetic material, the relative humidity should be at least 30% |
| Power frequency (50/60 re magnetic field | 3A/m | 3A/m | Power frequency magnetic fields should be at levels characteristic of a typical location in a typical commercial or hospital environment. |
| NOTE UT is the a.c. mains voltage prior to the application of the test level. | |||
| Guidance and manufacturers declaration —electromagnetic immunity | |||
| The 40-815-000 / 40-816-000 / 40-817-000 pulse oximeter is intended for use in the electromagnetic environment specified below. The customer or user of the pulse oximeter should ensure that it is used in such an environment. | |||
| Immunity test | IEC 60601 test level | Compliance level | Electromagnetic environment-guidance |
| Conducted RF IEC 61000-4-6 | 3 Vrms 150 kHz to 80 MHZ | N/A | Portable and mobile RF communications equipment should be used no closer to any part of the 40-815-000 / 40-816-000 / 40817-000 pulse oximeter including cables, than the recommended separation distance calculated from the equation applicable to the frequency of the transmitter.
|
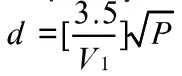
| Radiated RF IEC 61000-4-3 | 3 V/m 80 MHz to 2,5 GHz | 3 V/m | ![]() |
| Where P is the maximum output power rating of the transmitter in watts (W) according to the transmitter manufacturer and d is the recommended separation distance in meters (m). Field strengths from fixed RF transmitters, as determined by an electromagnetic.
| |||
| NOTE 1 At 80 MHz and 800 MHz, the higher frequency range applies. NOTE 2 These guidelines may not apply in all situations. Electromagnetic propagation is affected by absorption and reflection from structures, objects and people. | |||
| Guidance and manufacturer’s declaration — electromagnetic emissions | ||
| The 40-815-000 / 40-816-000 / 40-817-000 pulse oximeter is intended for use in the electromagnetic environment specified below. The customer or user of the pulse oximeter should ensure that it is used in such an environment. | ||
| Emissions test | Compliance | Electromagnetic environment—guidance |
| RF emissions CISPR 11 | Group 1 | The 40-815-000 / 40-816-000 / 40-817-000 pulse oximeter uses RF energy only for its internal function. Therefore, its RF emissions are very low and are not likely to cause any interference in nearby electronic equipment. |
| RF emissions CISPR 11 | Class B | The 40-815-000 / 40-816-000 / 40-817-000 pulse oximeter is suitable for use in all establishments, including domestic establishments and those directly connected to the public low-voltage power supply network that supplies buildings used for domestic purposes. |
| Harmonic emissions IEC 61000-3-2 | N/A | |
| Voltage fluctuations flicker emissions IEC 61000-3-3 | N/A | |
| Recommended separation distances between portable and mobile RF communications equipment and the Medical 40-815-000 / 40-816-000 / 40-817-000 PULSE OXIMETER | |||
| The 40-815-000 / 40-816-000 / 40-817-000 pulse oximeter is intended for use in an electromagnetic environment in which radiated RF disturbances are controlled. The customer or the user of the pulse oximeter can help prevent electromagnetic interference by maintaining a minimum distance between the portable and mobile RF communications equipment (transmitters) and the pulse oximeters as recommended below, according to the maximum output power of the communications equipment. | |||
| The rated maximum output power of the transmitter(W) | Separation distance according to the frequency of the transmitter(m) | ||
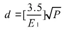
150 kHz to 80 MHZ![]() | 80 MHZ to 800 MHZ![]() | 800 MHz to 2,5 GHz![]() | |
| 0,01 | / | 0.02 | 0.03 |
| 0,1 | / | 0.06 | 0.11 |
| 1 | / | 0.18 | 0.35 |
| 10 | / | 0.57 | 1. |
| 100 | / | 2. | 4. |
| For transmitters rated at a maximum output power not listed above, the recommended separation distance d in meters (m) can be estimated using the equation applicable to the frequency of the transmitter, where P is the maximum output power rating of the transmitter in watts (W) according to the transmitter manufacturer. NOTE 1 At 80 MHz and 800 MHz, the separation distance for the higher frequency range applies. NOTE 2 These guidelines may not apply in all situations. Electromagnetic propagation is affected by absorption and reflection from structures, objects, and people. | |||
WARRANTY
A one-year limited warranty is available from the date of purchase, excluding user-caused failures listed below:
- The failure resulted in unauthorized disassembly and modification
- The failure resulted in an unexpected drop during application or transportation
- The failure resulted in operation away from proper instruction in the user’s manual.
Manufactured for:
HealthSmart® International
1931 Norman Drive
Waukegan, IL 60085
Register this product at LiveHealthSmart.com
#91-032-81X 10/19
©2019 HealthSmarr International






















