Dwyer PMT2 Series Particulate Transmitter

DIMENSION

| THREADED MOUNT | |
| Probe Length | A in [mm] |
| 3˝ | 3 [76.20] |
| 5˝ | 5 [127.00] |
| 10˝ | 10 [254.00] |
| 15˝ | 15 [381.00] |
| 20˝ | 20 [508.00] |
| 30˝ | 30 [762.00] |
| 36˝ | 36 [914.40] |
| 1.5˝ TRI-CLAMP MOUNT | ||
| Probe Length | A in [mm] | B in [mm] |
| 3˝ | 3-1/2 [88.90] | 1-25/32 [45.24] |
| 5˝ | 5-1/2 [139.70] | 3-25/32 [96.04] |
| 10˝ | 10-1/2 [266.70] | 8-25/32 [223.04] |
| 15˝ | 15-1/2 [393.70] | 13-25/32 [350.04] |
| 20˝ | 20-1/2 [520.70] | 18-25/32 [477.04] |
| 30˝ | 30-1/2 [744.70] | 28-25/32 [731.04] |
| 36˝ | 36-1/2 [927.10] | 34-25/32 [883.44] |
The Series PMT2 Particulate Transmitter is designed to measure particulate emission levels from dust collector discharge. Using DC coupled electrostatic induction sensing technology, the transmitter monitors a pA current that is generated as particulate passes near the probe; a 4-20 mA signal will vary based on the particulate level. The PMT2 offers 6 sensitivity ranges allowing the user to choose the range that will best fit the application. The range and test selector switch can also be set to output a 4 mA or 20 mA signal to assist with set up or trouble shooting. Averaging time setting can be used to dampen the signal if desired.
BENEFITS/FEATURES
- Simple 2-wire installation for PLC and control panels
- Non-stick PTFE coated probe to prevent false readings from moist and conductive dusts, condensate, and dust buildup
- Remote zero calibration helps to decrease maintenance time
MODEL CHART Example PMT2 -05 -A -U2 PMT2-05-A-U2 Series PMT2 Particulate transmitter Probe Length 03 05
10
15
20
30
36
3˝ probe length 5˝ probe length 10˝ probe length 15˝ probe length 20˝ probe length 30˝ probe length 36˝ probe length
Process Connection A B C
3/4˝ male NPT 1.5˝ tri-clamp kit with 1˝ male NPT 3/4˝ male BSPT
Enclosure Rating A2 A3 U2
ATEX and IECEx (IS) UKCA Ex (IS)* UL (IS)*
Options M2 ST Female M20 electrical entries (female 1/2˝ NPT standard) SS tag
*Options that do not have ATEX or IECEx. Attention: Units without the A2 suffix are not Directive 2014/34/EC (ATEX) compliant. These Units are not intended for use in potentially hazardous atmospheres in the EU. These unites may be CE marked for other Directives of the EU.
SPECIFICATIONS
- Service: Air and compatible gases, any type of particulate conductive or non-conductive.
- Wetted Materials: 316L SS, silicone, and PTFE.
- Enclosure: Powder coated aluminum.
- Accuracy: ±5% of reading.
- Particulate Size: 0.3 microns and higher.
- Detection Range: 5 to 5000 pA (6 selectable range options).
- Temperature Limits: Ambient: -40 to 145°F (-40 to 63°C); Process: -40 to 248°F (-40 to 120°C).
- Pressure Limit: 30 psi (2 bar).
- Output Signal: 4-20 mA.
- Power Requirements: 12-28 VDC ( ).
- Electrical Connection: Two 1/2˝ female NPT electrical entries or two M20 electrical entries (A2 suffix only).
- Terminal Block: Removable (16-20 AWG wire).
- Process Connection: See model chart. BSPT process connections are not UL listed.
- Probe Lengths: See model chart.
- Enclosure Rating: UL type 4 (IP66) ATEX/IECEx IP65.
- Mounting Orientation: Any.
- Averaging Time: 1 to 360 s (10 selectable options).
- Weight: Varies with length of probe and type of mount.
- Compliance: CE, UKCA, cULus; ATEX Compliant: 2813 II 1 G Ex ia IIB T4 GA (-40°C ≤ Tamb ≤ 63°C) (-40°C ≤ T Process ≤ 120°C) / II 1 D Ex ia IIIC T120°C Da (-40°C ≤ Tamb ≤ 63°C) (-40°C ≤ T Process ≤ 120°C). Type Certificate No.: DEMKO 16ATEX1768 X. ATEX Standards: EN 60079-0; EN 60079-11. IECEx Certified: Ex ia IIB T4 Ga (-40°C ≤ Tamb ≤ 63°C) (-40°C ≤ T Process ≤ 120°C) / Ex ia IIIC T120°C Da (-40°C ≤ Tamb ≤ 63°C) (-40°C ≤ T Process ≤ 120°C).
- Certificate of Conformity: IECEx UL 16.013X. IECEx Standards: IEC 60079-0; IEC 60079-11. UL Listed Intrinsically Safe for Class I, Groups C and D; Class II, Groups E, F and G; Class III; Class I Zone 0 AEx ia IIB T4 Ga; Class I Zone 0 Ex ia IIB T4 Ga.
- UKCA Ex Compliant: II 1 G Ex ia IIB T4 Ga (-40°C ≤ Tamb ≤ 63°C) (-40°C ≤ Tprocess ≤ 120°C) / II 1 D Ex ia IIIC T120°C Da (-40°C ≤ Tamb ≤ 63°C) (-40°C ≤ Tprocess ≤ 120°C)
- Certificate of Conformity: UL21UKEX2363X
- UKCA Standards: EN 60079-0, EN 60079-11.
Note: References to ATEX also apply to UKCA Ex.
OPERATING PRINCIPLE
- Technology
The PMT2 utilizes a highly reliable DC coupled electrostatic induction sensing technology. The sensor probe is mounted in an airflow stream such as a pipe, duct or stack. The inductive effect takes place when particulate passes near the probe transferring a charge from the particulate to the probe. A microprocessor filters and processes the signal into a output that is linear to the mass concentration of particulate. - The PTFE coated probe ensures reliable operation with all types of particulate including moist powders and highly conductive dusts.
- The PTFE coated probe eliminates the need for an air purge and keeps maintenance to a minimum.
Particulate Monitoring
- The PMT2 is specifically designed to continuously monitor the particulate levels in air flow from stacks or other emission points being passed through a filter within an air filtration system. The transmitter should be installed in the exhaust ductwork and can be used in conjunction with various types of bag, ceramic, cartridge or cyclone filters. When the PMT2 is first installed a baseline reading must be measured and noted. This baseline reading is application dependent and should be measured independently for each installation. From this baseline the operator will monitor output signal from the PMT2. The increase in mA output indicates a rising level of particulate in the air stream which indicates that filters are either wearing out or broken.
- The PMT2 is designed to give a proportional output based on the particulate levels in a duct or pipe, it is not designed to output a signal based on the particulate volumetric flow. Different types of particulate carry different charges, meaning that two particulates flowing at the same volumetric flow rate could have different output response. The PMT2 is designed to find a baseline under ideal operating conditions and allow an operator to watch the output signal for increases that would signify the bags or filters are starting to wear or break. The six sensitivity ranges allow the PMT2 to monitor particulates with low charge properties or high charge properties. As a reference, Table 1 lists particulate charge properties and the suggested range.

INSTALLATION
Unpacking
Remove the PMT2 from the shipping carton and inspect for damage. If damage is found, notify the carrier immediately.
Location
The following factors should be considered when determining the installation location for the PMT2:
- Make sure the transmitter is rated for the area classification it will be mounted in.
- Mount the transmitter in a location that will not exceed the temperature and pressure ratings listed in the specifications. The process pressure should not exceed 30 psi (2 bar).
- Make sure the 4-20 mA signal wires are not sharing the same conduit with high voltage power wires.
- Make sure the location the transmitter is mounted in meets the NEMA or IP rating for the enclosure.
- Locate the transmitter in a location were it can be accessed in case service is required.
The PMT2 should be mounted in a grounded metal stack, pipe or duct. It should not be mounted in fiberglass or plastic stacks, pipes or ducts. The sensing probe should reach 1/2 to 2/3 the way across the stack, pipe or duct to ensure accurate readings. For the most stable and accurate readings it is recommended to mount the PMT2 in a location where the air flow is as laminar as possible. Avoid mounting the transmitter close to blowers and dampers that cause turbulence. It is ideal to mount the PMT2 in an area with two upstream duct diameters and one down stream duct diameter that are free of turbulent causing objects. The sensing probe is coated in a non-stick PTFE preventing material from coating the probe reducing the need for cleaning or an air purge.
WIRING
NOTICE
- Always install or service this device with the power off and where required install a disconnect lockout
- Use 16-20 AWG copper wire only for line and load connections. Installation must be made in accordance with local codes and regulations such as the National Electric Code
- Degree of protection TYPE 4 (IP66) is maintained when suitable glands/plugs are used in conjunction with UL Listed models
WARNING
HAZARDOUS LOCATIONS
To prevent ignition of hazardous locations the following cautions should be taken:
- Keep device covers tightly closed in operation
- De-energize supply circuit before opening device covers
- Replace device covers before energizing the electrical circuits
- Device is not field repairable and should be returned to Dwyer Instruments if repair is needed
WARNING
INTRINSIC SAFETY SPECIFIC CONDITIONS OF USE
To maintain Intrinsic Safety the following cautions should be taken:
- 4-20 mA signal and remote zero must be treated as separate circuits
- Enclosure parts are constructed of aluminum. Enclosure must be protected from ignition hazard due to impact or friction
- All openings to enclosure must be sealed using suitable glands and/or plug maintaining a minimum IP rating of IP66 for UL Listed models and IP65 for ATEX/IECEx compliant models
- Substitution of parts may impair Intrinsic Safety
CONTROL DRAWING UL LISTED INTRINSIC SAFETY (SUFFIX U2):
UL Listed Intrinsically Safe for use in Class I Div. 1 Groups C and D; Class II Div. 1Groups E, F and G; Class III Div. 1; Class I Zone 0 AEx ia IIB T4 Ga; Class I Zone 0 Ex ia IIB T4 Ga; T4@63°C when installed in accordance with Control Drawing 001744-48 on page 6 of this document.
ATEX COMPLIANT (SUFFIX A2)
II 1 G Ex ia IIB T4 Ga (-40°C ≤ Tamb ≤ 63°C) (-40°C ≤ T Process ≤ 120°C) / II 1 D Ex ia IIIC T120°C Da (-40°C ≤ Tamb ≤ 63°C) (-40°C ≤ T Process ≤ 120°C) when installed in accordance with Control Drawing 001744-81 on page 7 of this document.
IECEx, UKCA Ex COMPLIANT (SUFFIX A2, A3)
Ex ia IIB T4 Ga (-40°C ≤ Tamb ≤ 63°C) (-40°C ≤ T Process ≤ 120°C) / Ex ia IIIC T120°C Da (-40°C ≤ Tamb ≤ 63°C) (-40°C ≤ T Process ≤ 120°C) when installed in accordance with Control Drawing 001744-81 on page 7 of this document.
INTRINSIC SAFETY INPUT PARAMETERS:
4-20 mA Signal, Vmax (Ui) = 28 V; Imax (li) = 93 mA; Ci = .022 μF; Li = 0.373 mH; Pmax (Pi) = 651 mW Remote Zero, Vmax (Ui) = 28 V; Imax (li) = 93 mA; Ci = Negligible; Li = 0 mH; Pmax (Pi) = 651 mW

POWER SUPPLY REQUIREMENTS
The maximum DC power supply is 28 VDC. The minimum required DC power supply is based upon the following:
- Minimum DC voltage requirement of the Model PMT2.
- Total load resistance.
- Total leadwire resistance.
- Zener barrier voltage drop (Model PMT2-XX-X-X2 only).
The formula for calculating the DC Power Supply is:
VDC = VPMT2 + VLOAD + VLEADWIRE + VBARRIER
Where VPMT2 = 9.5 V
- VLOAD = Total load resistance X 20 mA
- VLEADWIRE = Total leadwire resistance X 20 mA
- VBARRIER = 8.1 V (Typical zener barrier voltage drop for this application)
Example 1: Calculate minimum DC power supply for intrinsically safe models
- Step 1 VPMT2 = 9.5 V
- Step 2 Calculate VLOAD. Using the industry standard 250 Ω conversion resistor, VLOAD = 250 X 20 mA = 5 V.
- Step 3 Calculate VLEADWIRE. For this example assume a leadwire resistance of 10 Ω, VLEADWIRE = 10 X 20 mA = 0.2 V
- Step 4 VBARRIER = 8.1 V
- Step 5 VDC = VPMT2 + VLOAD + VLEADWIRE + VBARRIER = 9.5 + 5 + 0.2 + 8.1 = 22.8 V
CONTROLS
WARNING
LIVE MAINTENANCE PROCEDURE
Live maintenance of Zero, Averaging Time, Range and Test controls cannot be performed when a flammable or combustible atmosphere is present.
Zero Switch (see Figure 2)
Press and hold the switch for 3 seconds and the PMT2 will digitally re-zero. It is recommended to re-zero after a filter failure or filter changes. Re-zeroing should only be done when there is no air flow in the duct.
Averaging Time Selection Switch
The PMT2 will average the output for the selected amount of time. This will dampen output spikes caused during normal filter cleaning cycles.
Range and Test Selection Switch
There are 6 sensitivity ranges that can be selected based on the material the PMT2 will be sensing (see Table 1). There is also an option to output a 4 mA or 20 mA signal, these options can assist in the installation of the transmitter or trouble shooting.

SET UP
Mounting
Make sure the PMT2 is securely mounted to the stack, pipe or duct to prevent vibration during operation. Make sure the transmitter is grounded properly.
Control Signal Set Up
Check the power supply wiring to make sure the polarity is correct before powering the PMT2. Turn the power on to the transmitter and turn the Range and Test selector switch to 4 mA (position 2). The PMT should output 4 mA, check the output with a multi-meter or at the device (PLC, Display, etc.) receiving the output signal. Once it is verified the 4 mA signal is being received, switch the Range and Test selector switch to 20 mA (position 1) and repeat the process. If the output is 0 mA, make sure the power supply is on and check for loose wires.
Range and Test Selection
When selecting one of the 6 available ranges, the baseline and maximum peak signals that take place during filter cleaning must be taken into account. The selected ranges should have enough resolution to monitor the baseline and capture the maximum peaks during a cleaning cycle. The four linear ranges output 4 mA at 5 pA and 20 mA at maximum range. The two logarithmic ranges have finer resolution at the low end of the ranges and less at the high end.
| Switch Position | Range | Output |
| 1 | Test | 20 mA |
| 2 | Test | 4 mA |
| 3 | 5 to 100 pA | 5 pA = 4 mA 25 pA = 8 mA 50 pA = 12 mA 75 pA = 16 mA 100 pA = 20 mA |
| 4 | 5 to 500 pA | 5 pA = 4 mA 125 pA = 8 mA 250 pA = 12 mA 375 pA = 16 mA 500 pA = 20 mA |
| 5 | 5 to 1000 pA | 5 pA = 4 mA 250 pA = 8 mA 500 pA = 12 mA 750 pA = 16 mA 1000 pA = 20 mA |
| 6 | 5 to 5000 pA | 5 pA = 4 mA 1250 pA = 8 mA 250 pA = 12 mA 3750 pA = 16 mA 5000 pA = 20 mA |
| 7 | Log 5 to 500 pA | 5 pA = 4 mA 16 pA = 8 mA 50 pA = 12 mA 158 pA = 16 mA 500 pA = 20 mA |
| 8 | Log 5 to 5000 pA | 5 pA = 4 mA 28 pA = 8 mA 158 pA = 12 mA 890 pA – 16 mA 5000 pA = 20 mA |
| Note: Position 9 and 0 are unused. | ||
LOGARITHMIC RANGE
The logarithmic ranges offer a prolonged low-end of the scale while the high-end of the range is compressed. This offers better resolution for the baseline monitoring and still allows the operator to see the particulate spikes during cleaning cycles. Logarithmic ranges are recommended for filter bags since they have a greater tendency for particulate spikes during cleaning cycles.
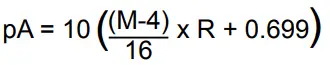
LOGARITHMIC RANGE EQUATIONS

- pA = Measured (pA) Picoamps
- M = Measured (mA) Milliamps from the PMT2
- R = 2 (for Logarithmic Range 5 to 500 pA)
- R = 3 (for Logarithmic Range 5 to 5000 pA)
Example 1: Logarithmic Range 5 to 500 pA with current output of 12 mA:

pA = 50
Example 2: Logarithmic Range 5 to 5000 pA with current output of 14 mA:

pA = 375
SETTING EMISSION LEVEL ALARMS
- The PMT2 will provide a 4-20 mA signal based on the range selected at set up. Alarms can be programmed in the PLC or control system based on the 4-20 mA signal from the particulate transmitter.
- It is suggested to set two alarm set points. One alarm set point to monitor the emission spikes and the second alarm to detect an increase in the baseline.
- The alarm monitoring the emission spikes should be set to identify changes in the spikes caused by the cleaning cycles. As filters become worn, the spike’s height and duration will increase. The emission spike frequency will also increase because the filters will require more frequent cleaning as they wear out. If there is a continuous output above the emission spike alarm, it is more than likely a filter has torn and should be changed right away.
- The baseline alarm should detect an increase in the baseline reading. The type of dust collector and facility regulations will dictate where the baseline alarm has to be set. Typically the baseline alarm should be set 4 to 5 times over the initial baseline reading measurement when filters are first installed. So, if the baseline is 10 pA the base line alarm should be set between 40 pA and 50 pA. It is recommended to set a time delay in the PLC or control panel alarm to prevent false alarms during cleaning cycles. When the output signal from the PMT2 is continuously above baseline alarm it is time to replace the filters. If the emission spikes have increased yet the baseline remains unchanged, it’s an early indication that the filters are starting to wear out and will need to be changed soon.

AVERAGING SELECTION
The PMT2 offers a digital averaging function because of the irregular flow of particulates and the spikes during cleaning cycles. There are ten options for averaging ranging from 1 to 360 seconds. The digital averaging takes a running average of the readings for the selected amount of time. This will dampen output spikes from particulate fluctuations that could trip alarm settings. It is important to select an averaging setting that will allow the operator to see the cleaning cycles. It is recommended to monitor the baseline trend and peak to peak trend between cleaning cycles.
ZERO CALIBRATION
Even though the PMT2 will come zeroed from the factory it is recommended to zero the transmitter after installation to ensure the best accuracy. When zeroing the PMT2, make sure the dust collector is shut down and there is no air flow in the duct, stack or pipe the transmitter is monitoring. It is recommended to re-zero the PMT2 once every 12 months for optimal performance. Please check your local laws and regulations as clean air standards may require zero calibration on a certain time schedule based on application. There are two ways the PMT2 can be zeroed. The first method is with the zero button on the front of the transmitter. Press and hold the button for 3 seconds and the transmitter will begin zeroing. The second method is the remote zero. Supply DC voltage as shown in Figure 4 across the zero terminals on the back of the transmitter for at least 3 seconds for the transmitter to start zeroing. While the transmitter is zeroing, the PMT2 will output about 3.5 mA. The zero function will take approximately 3 minutes. When zeroing is complete the output will return to a normal output signal and the transmitter is ready for operation.

| Symptom | Potential Source | Corrective Action |
| High output | Loop wiring | Check for dirty or defective terminals, interconnecting pins or receptacles. |
| Power supply | Check the output voltage of the power supply at the transmitter terminals. It should be 9.5-28 VDC. | |
| Erratic output | Loop wiring | Check the output voltage of the power supply at the transmitter terminals. It should be 9.5-28 VDC. Check for intermittent shorts, open circuits and multiple grounds. Check the polarity at the signal terminals. |
| Low or no output | Zeroing | The PMT2 will output about 3.5 mA while zeroing. Wait approximately 3 minutes and the 4-20 mA signal should return to normal. |
| Loop wiring | Check for intermittent shorts, open circuits and multiple grounds. Check the polarity at the signal terminals. Check the loop impedance. |
MAINTENANCE/REPAIR
- Upon final installation of the Series PMT2, no routine maintenance is required. The Series PMT2 is not field serviceable and should be returned if repair is needed. Field repair should not be attempted and may void warranty.
- This symbol indicates waste electrical products should not be disposed of with household waste. Please recycle where facilities exist. Check with your Local Authority or retailer for recycling advice
WARRANTY/RETURN
Refer to “Terms and Conditions of Sales” in our catalog and on our website. Contact customer service to receive a Return Goods Authorization number before shipping the product back for repair. Be sure to include a brief description of the problem plus any additional application notes
CONTROL DRAWING




ABOUT COMPANY
- DWYER INSTRUMENTS, LLC
- P.O. BOX 373
- MICHIGAN CITY, INDIANA 46360, U.S.A.
- Phone: 219-879-8000
- Fax: 219-872-9057
- www.dwyer-inst.com
- e-mail: [email protected]





















