RH Electric Wire Rope Hoists
Instruction Manual

Product Introduction
The RH electric wire rope hoists and trolleys have been developed for use in heavy-duty service applications and are extremely durable, highly reliable and require very low maintenance.
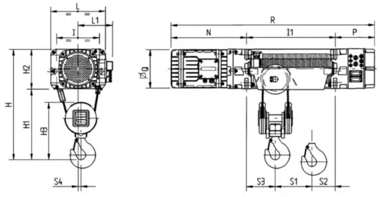
The modular body construction is suitable for all mounting configurations with the hoist oriented parallel to the beam. A single-axis or in-line design with the motor, gearbox, and rope drum sharing the same axis results in a low-profile, low headroom hoist.
Hoists and trolleys are available in any combination of single or dual speed models in a variety of speed combinations. Additional standard features include:
- Electromechanical load limiting device
- Pull rotor brake, asbestos-free, fan-cooled
- Heavy-duty motor, Class F insulation, thermal protection
- Rubber trolley bumpers
- Triple reduction helical gearing
- Premium wire rope, self-tensioning rope guide
- External limit switches
- Temperature range of 14°F to 104°F
- Maximum relative humidity 80%
- Two opposing driven trolley wheels
Our RH hoists are shipped with the bottom block loss for customer reeving. Pendant, pendant cord, and power supply cord are offered as options along with alternate voltages, eye bolt kits, and trolley travel limit switches.
The trolley flange width is adjustable by the customer and all trolleys are compatible with S or W beams.
Refer to Harrington’s catalog C-EWRH entitled Electric Wire Rope Hoists for complete details on features and benefits.
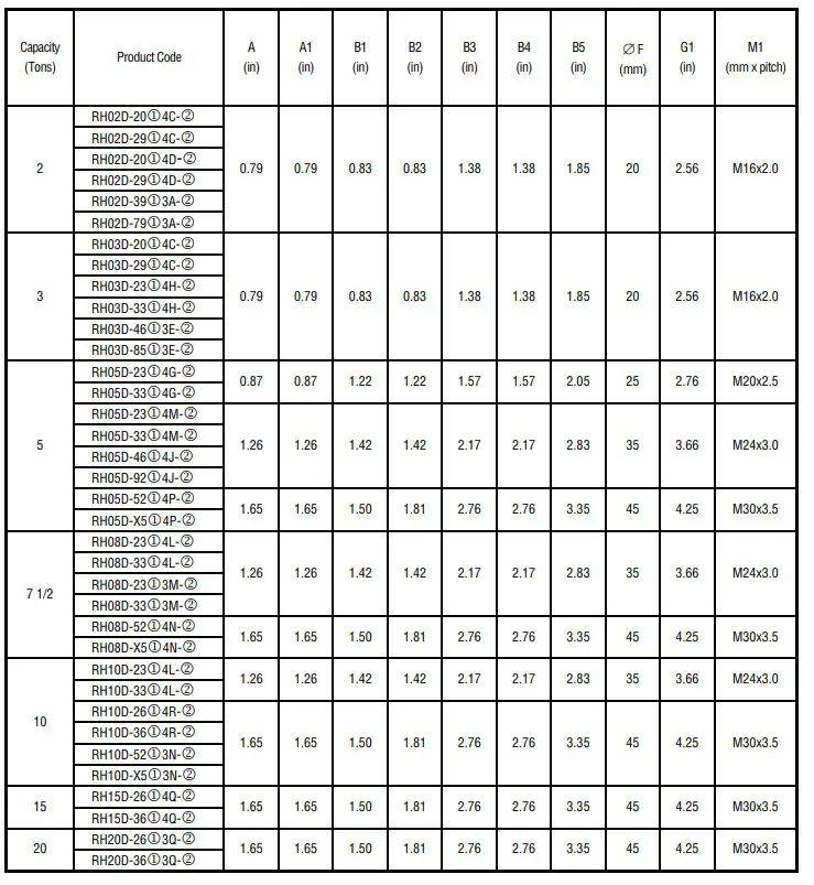
Product Code

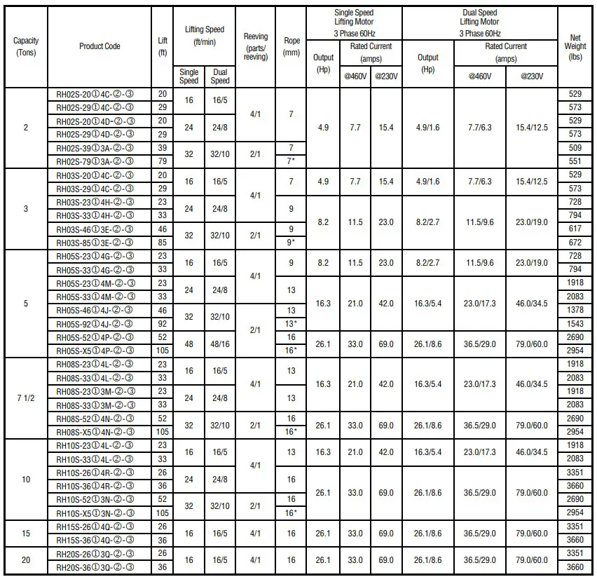
DECK/BASE MOUNTED OR LUG SUSPENDED HOISTS — SPECIFICATIONS
| Capadty (Tons) | Product Code | Lift (ft) | biting Speed (ft/min) | Reeving (Ws/ reeving) | Rope (mm) | Single Speed Lifting Motor 3 Phase 60Hz | Dual Speed Lifting Motor 3 Phase 60Hz | Net Weight (Its) | |||||
| Output (Hp) | Rated Current (amps) | Output (HP) | Rated Current (amps) | ||||||||||
| Single Speed | Dual Speed | @460V | @230V | @460V | 4230V | ||||||||
| 2 | RHo2D-2004C-0 | 20 | 16 | 16/5 | 4/1 | 7 | 4.9 | 7.7 | 15.4 | 4.9/1.6 | 7.7/6.3 | 15.4/12.5 | 331 |
| RHo29-2904C-0 | 29 | 375 | |||||||||||
| RHO2D-20104D-0 | 20 | 24 | 24/8 | 331 | |||||||||
| RHO2D-2904D-0 | 29 | 375 | |||||||||||
| RHo2D-3903A-0 | 39 | 32 | 32/10 | 2/1 | 7 | 311 | |||||||
| mo2D-7903A-0 | 79 | 7′ | 353 | ||||||||||
| 3 | RHo3D-2004c-0 | 20 | 16 | 16/5 | 4/1 | 7 | v | 7.7 | 15.4 | 4.9/1.6 | 7.7/6.3 | 15.4/12.5 | 331 |
| RHo3D-2904c-0 | 29 | 375 | |||||||||||
| RH030-2304H-0 | 23 | 24 | 24/8 | 9 | 8.2 | 11.5 | 23.0 | 8.2/2.7 | 11.5/9.6 | 23.0/19.0 | 452 | ||
| mo3D-330414-0 | 33 | 518 | |||||||||||
| mom-4603E-0 | 46 | 32 | 32/10 | 2/1 | 9 | 430 | |||||||
| m03D-8503E-0 | 85 | 9′ | 474 | ||||||||||
| 5 | mo5D-23046-0 | 23 | 16 | 16/5 | 4/1 | 9 | 8.2 | 11.5 | 23.0 | 8.2/2.7 | 11.5/9.6 | 23.0/19.0 | 452 |
| RH050-33046-0 | 33 | 518 | |||||||||||
| RHoso-2304m-0 | 23 | 24 | 24/8 | 13 | 16.3 | 21.0 | 42.0 | 16.3/5.4 | 23.0/17.3 | 46.0/34.5 | 1190 | ||
| RH050-3304m-0 | 33 | 1378 | |||||||||||
| RHoso-4604J-0 | 46 | 32 | 32/10 | 2/1 | 13 | 1080 | |||||||
| RH05D-9204J-0 | 92 | 13′ | 1246 | ||||||||||
| RH050•520 4P-0 | 52 | 48 | 48/16 | 16 | 26.1 | 33.0 | 69.0 | 26.1/8.6 | 36.5/29.0 | 79.0/60.0 | 1962 | ||
| RHO5D-X504P-0 | 105 | 16′ | 2227 | ||||||||||
| 7 1/2 | RH08D-2304L-0 | 23 | 16 | 16/5 | 4/1 | 13 | 16.3 | 21.0 | 42.0 | 16.3/5.4 | 23.0/17.3 | 46.0/34.5 | 1190 |
| m08D-3304LO | 33 | 1378 | |||||||||||
| RH08D-2303m-0 | 23 | 24 | 24/8 | 13 | 1190 | ||||||||
| mo8D-3303W0 | 33 | 1378 | |||||||||||
| mo8D-5204N-0 | 52 | 32 | 32/10 | 2/1 | 16 | 26.1 | 33.0 | 69.0 | 26.1/8.6 | 36.5/29.0 | 79.0/60.0 | 1962 | |
| RHon-x504N-C) | 105 | 16′ | 2227 | ||||||||||
| 10 | w0o-2304LO | 23 | 16 | 16/5 | 4/1 | 13 | 16.3 | 21.0 | 42.0 | 16.3/5.4 | 23.0/17.3 | 46.0/34.5 | 1190 |
| RH10-3304L-0 | 33 | 1378 | |||||||||||
| RH10D•260 4R-0 | 26 | 24 | 24/8 | 16 | 26.1 | 33.0 | 69.0 | 26.1/8.6 | 36.5/29.0 | 79.0/60.0 | 2205 | ||
| Rft10o-3604R-0 | 36 | 2513 | |||||||||||
| RH10-52T3N-0 | 52 | 32 | 32/10 | 2/1 | 16 | 1962 | |||||||
| RH100•x503N•0 | 105 | 16′ | 2227 | ||||||||||
| 15 | RH1so-26040-0 | 26 | 16 | 16/5 | 4/1 | 16 | 26.1 | 33.0 | 69.0 | 26.1/8.6 | 36.5/29.0 | 79.0/60.0 | 2205 |
| Fili15D-36040-0 | 36 | 2513 | |||||||||||
| 20 | mi2O0-26030-0 | 26 | 16 | 16/5 | 4/1 | 16 | 26.1 | 33.0 | 69.0 | 26.1/8.6 | 36.5/29.0 | 79.0/60.0 | 2205 |
| RH2oo-36030-0 | 36 | 2513 | |||||||||||
*2/1 long lift hoists are fitted with revolving-resistant rope.

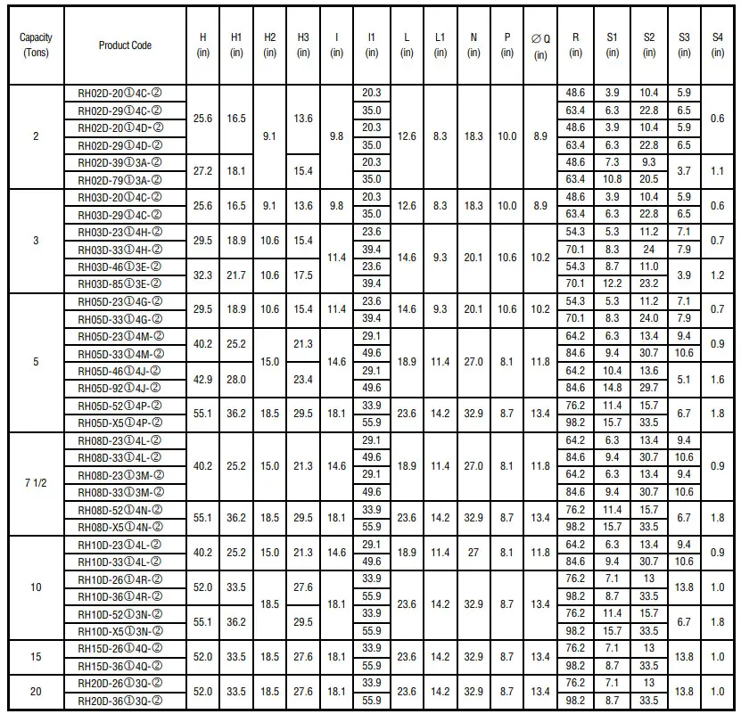
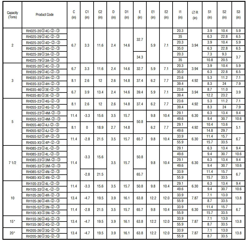
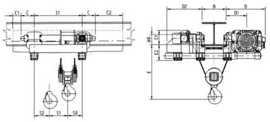
DECK/BASE MOUNTED OR LUG SUSPENDED HOISTS — DIMENSIONS*

*See page 12 for Deck/Base Mounted or Lug Suspended eye bolt and attachment point dimensions.

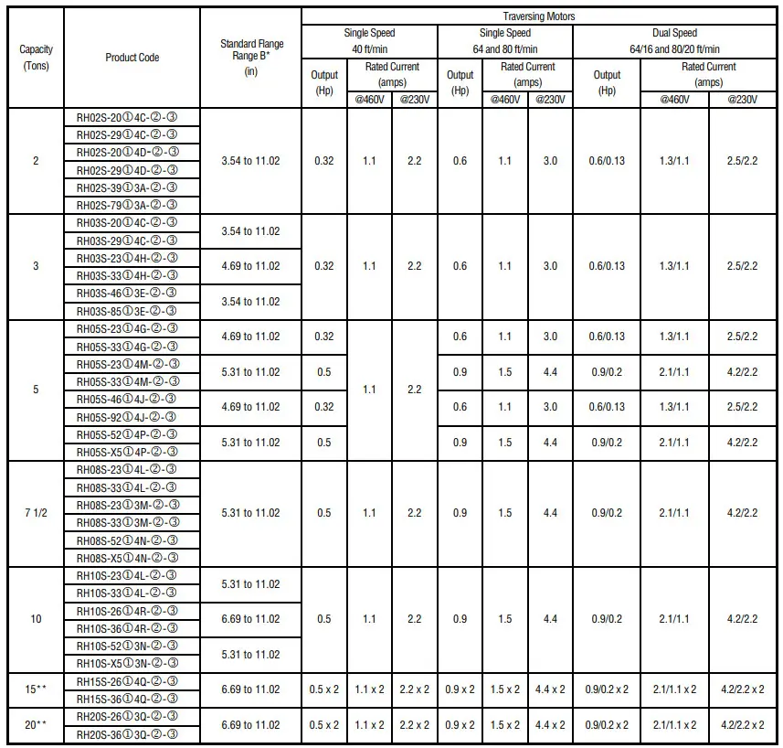
STANDARD HEADROOM TROLLEY HOISTS — HOIST SPECIFICATIONS

*2/1 long lift hoists are fitted with revolving-resistant rope.

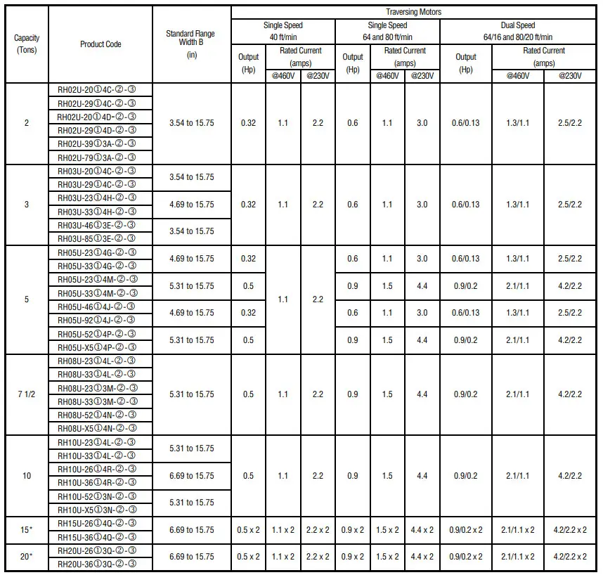
STANDARD HEADROOM TROLLEY HOISTS — TROLLEY SPECIFICATIONS

*Optional wider flange ranges available. The wider flange range is the standard lower value of 15.75 inches.
Example: Wider flange range for 2 Ton trolley hoists is 3.54 to 15.75 inches.
**15 and 20 Ton models are equipped with 2 trolley motors.
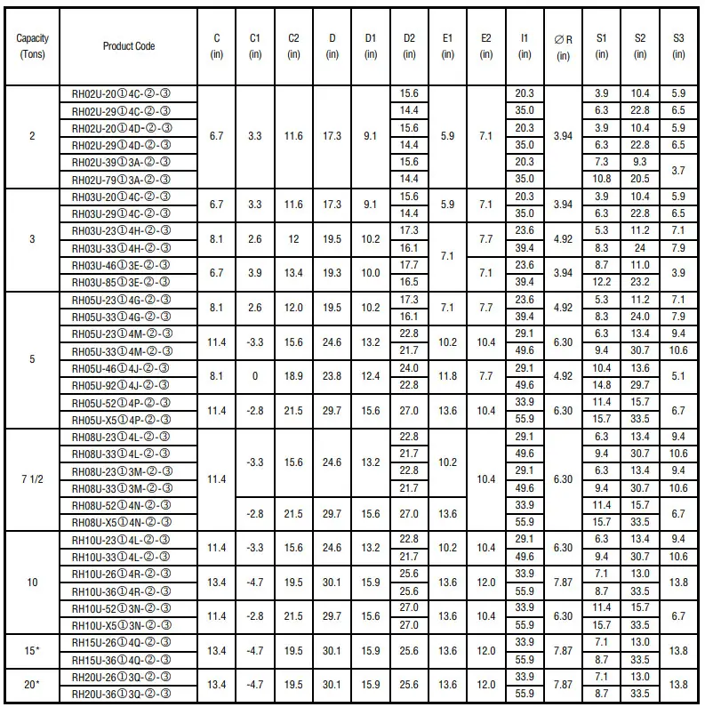
STANDARD HEADROOM TROLLEY HOISTS — DIMENSIONS

*15 and 20 Ton models are equipped with 2 trolley motors.

Note:
- Standard headroom trolleys are suitable for use on S or W-shaped beams.
- Refer to page 7 for flange range dimension B
ULTRA-LOW HEADROOM TROLLEY HOISTS — HOIST SPECIFICATIONS

*2/1 long lift hoists are fitted with anti-revolving rope.

ULTRA-LOW HEADROOM TROLLEY HOISTS — TROLLEY SPECIFICATIONS

*15 and 20 Ton models are equipped with 2 trolley motors.
ULTRA-LOW HEADROOM TROLLEY HOISTS — HEADROOM SPECIFICATIONS
*T in formulas is the exact beam flange width in inches.
**Headroom value for the 7-inch flange.
ULTRA-LOW HEADROOM TROLLEY HOISTS — DIMENSIONS

*15 and 20 Ton models are equipped with 2 trolley motors.

Note:
- Ultra-Low headroom trolleys are suitable for use on S or W-shaped beams.
- Refer to page 10 for flange range B and headroom E dimension.
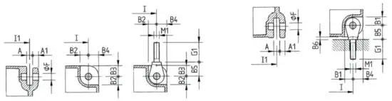
EYE BOLT AND ATTACHMENT POINT — DIMENSIONS (For deck/base mounted or lug suspended hoists)
Note:
- Eyebolts are suitable for deck/base mounted or lug suspended applications.
- Eyebolt kits include four eyebolts and all necessary hardware.
- See page 5 for dimensions I and I1.
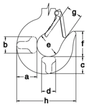
BOTTOM HOOK — DIMENSIONS
REACTION FORCES AT RATED LOAD
TROLLEY WHEEL — DIMENSIONS
Note:
- See page 14 for reaction forces R1 and R2.
CONTACT YOUR NEARBY HARRINGTON DISTRIBUTOR

Warranty
All products sold by Harrington Hoists, Inc. are warranted to be free from defects in material and workmanship from the date of shipment by Harrington for the following periods:
1 year—Electric and Air Powered Hoists (excluding (N)ER2 Enhanced Features Models and EQ/SEQ Models), Powered Trolleys, Powered Tiger Track Jibs and Gantries, Crane Components, Sling Chain, Spare/Replacement Parts, Below-The-Hook and Material Handling Equipment
2 years—Manual Hoists & Trolleys, Beam Clamps
3 years— (N)ER2 Enhanced Features Model Hoists, EQ/SEQ Hoists
5 years—Manual Tiger Track Jibs and Gantries, TNER and EQ/SEQ Pull-Rotor Motor Brake
10 years— (N)ER2 “The Guardian” Smart Brake
The product must be used in accordance with the manufacturer’s recommendations and must not have been subject to abuse, lack of maintenance, misuse, negligence, or unauthorized repairs or alterations.
Should any defect in material or workmanship occur during the above time period in any product, as determined by Harrington Hoist’s inspection of the product, Harrington Hoists, Inc. agrees, at its discretion, either to replace (not including installation) or repair the part or product free of charge and deliver said item F.O.B. Harrington Hoists, Inc. place of business to the customer?
The customer must obtain a Return Goods Authorization as directed by Harrington or Harrington’s published repair center prior to shipping the product for warranty evaluation. An explanation of the complaint must accompany the product. The product must be returned freight prepaid. Upon repair, the product will be covered for the remainder of the original warranty period. Replacement parts installed after the original warranty period will only be eligible for replacement (not including installation) for a period of one year from the installation date. If it is determined there is no defect, or that the defect resulted from causes not within the scope of Harrington’s warranty, the customer will be responsible for the costs of returning the product.
Harrington Hoists, Inc. disclaims any and all other warranties of any kind expressed or implied as to the product’s merchantability or fitness for a particular application. Harrington will not be liable for death, injuries to persons or property or for incidental, contingent, special or consequential damages, loss or expense arising in connection with the use or inability whatever, regardless of whether damage, loss or expense results from any act or failure to act by Harrington, whether negligent or willful or from any other reason.

www.harringtonhoists.com
Harrington Hoists, Inc.
401 West End Avenue
Manheim, PA 17545
Toll-Free: 800-233-3010
Phone: 717-665-2000
Fax: 717-665-2861
![]()
Rev 4 Copyright © 2002 7-17
Item No. TM-EARTH
Specifications and dimensions are subject to change without notice.



















