PlumbNation Q1H-BD1 1500W Electric Panel Heater

Warning
Caution hot surface.
CAUTION:
Some parts of this product can become very hot and cause burns. Particular attention is required when children and dependent individuals are present.
Children under the age 3 must be kept away from this appliance, unless they are under constant supervision.
Children between the ages of 3 and 8 must only turn the appliance on or off provided that the appliance has been positioned or installed in a normal intended position and provided that the children are supervised or have been instructed with respect to the safe use of the appliance and that they fully understand the potential dangers. Children between the ages of 3 and 8 must not connect, adjust or clean the appliance or perform any product maintenance.
This appliance can be used by children who are at least 8 years old and by persons with limited physical, sensory or mental abilities or without any experience or knowledge of the appliance if they are properly supervised or if instructions for the safe use of the appliance have been given to them and the risks involved are clear to them. Children must not play with this appliance. This appliance must not be cleaned or maintained by
children without supervision.
When first heated, the appliance may release a slight smell corresponding to the elimination of any traces left over after appliance manufacture.
To prevent overheating and for safety reasons, do not cover the heating appliance.
The operating instructions for this appliance are available from our website or by contacting the after-sales department.
Appliances with this symbol must not be disposed of with domestic waste but must be collected separately and recycled. The collection and recycling of end-of-life products must be carried out according to local provisions and orders.
PREPARING FOR INSTALLATION OF THE APPLIANCE
Installing the appliance
Your appliance is delivered with its own hanging bracket. However,the choice of screws and of wall plugs depends on the nature of your wall and you are responsible for ensuring that you use screwsand wall plugs that are adapted to the weight of the appliance.
Once the you have removed the appliance from its cardboard box, you can remove the hanging bracket, which you can use as a hole drilling template.
Installation rules
This appliance has been designed to be installed in a residential room.
The installation must be carried out implementing best practices and in accordance with the current standards in the country of installation (NF C 15-100 for France).

Observe the minimum distances from furniture when locating the appliance (refer to the diagram).
If you have a foam-mounted wall covering then a wedge that is the same thickness as the foam must be placed under the appliance’s bracket so that an open space is maintained behind the appliance to prevent any interference with its regulation function.
- Do not install the appliance in a draught that is likely to interfere with its regulation function (under a Centralised Mechanical Ventilation system, etc), or
- Under a fixed electric socket, or
- In bathroom areas shown as Volume 1.
Appliances used in bathrooms must be installed so that the switches and other devices for controlling the appliance cannot be touched by an individual in the bath or the shower.
Installing the appliances at altitude causes a rise in the air outlet temperature of some 10°C per 1000 m in altitude).
Installing a vertical appliance horizontally and vice versa is prohibited. Using the appliance in a mobile configuration, on feet or on rollers, in prohibited.
INSTALLING THE APPLIANCE
- Unlocking the hanging bracket
We recommend leaving the appliance in its protective wedges and laying it flat, face downwards.- Use a screwdriver to lift the tab, without deforming the tab.
- Push the bracket downwards to disengage the upper hooks.
- Pivot the hanging bracket.
- Then remove the bracket.

- Mounting the hanging bracket
- Place the hanging bracket on the floor against the wall.
- Find the drilling points A. These give the position of the lower mounting points.
- Raise the hanging bracket, aligning it with drilling point A to identify the drilling points B. These give the position of the upper mounting points.
- Drill the four holes and fit wall plugs suited to your wall (e.g. plasterboard) and the weight of the appliance.
- Position the hanging bracket and tighten down the screws.

CONNECTING THE APPLIANCE
Connection guidelines
- The appliance must be supplied with 230V 50 Hz.
- The appliance must be directly connected to the mains downstream of the omnipolar cut-off device in accordance with installation guidelines. A 3-wire cable (Brown = Phase, Blue = Neutral, Black = Pilot wire) is used to connect to the supply circuit through a junction box.
- In humid rooms, such as kitchens and bathrooms, the junction box must be installed at least 25 cm from the ground. The installation must be equipped with a 30mA residual-current circuit-breaker protective device.
- Connection to ground is prohibited. Do not connect the pilot wire (black) to ground.
- If the power cable is damaged, it must be replaced by the manufacturer, their after sales department or by a similarly qualified person, in order to avoid any danger.
- If the control or controlled device is protected by a 30mA residual-current circuit-breaker protective device (e.g. in the bathroom) then the power supply for the pilot wire on this differential needs to be protected.

LOCKING THE APPLIANCE ON ITS HANGING BRACKET
- Place the appliance on the S bracket as shown in the diagram.
- Move the appliance towards the bracket, then lift the appliance (arrows 1 and 2).
- Insert the mounting brackets into the holes on the appliance, then lower the appliance (arrow 3).

MAINTENANCE
Before performing any maintenance work, switch off your appliance by moving the On/Off switch to the 0 0 and switching off the controller, if you have one.
To maintain the performance of your radiator, dust needs to be removed from the lower and upper grills of the appliance approximately twice a year using a vacuum cleaner or a brush. The appliance can be cleaned using a damp cloth; never use abrasive products and solvents. In a polluted environment, dirt can appear on the appliance’s grill. This phenomenon is associated with the poor quality of the ambient air. In this case, we recommend checking that the room is properly ventilated (ventilation, air inlet, etc.). This dirt does not constitute grounds for warranty replacement of the appliance.
Use
OPERATING PRINCIPLE

DESCRIPTION OF MODES
Two operating modes are proposed:
BASIC
The appliance follows the setpoint temperature adjusted at all times.
PROG
- The appliance follows the internal program defined for each day of the week. The following ranges are defined when the appliance is switched on:
Monday to Friday, comfort from 5am to 9am and from 5pm to 11pm
Saturday and Sunday, comfort from 5am to 11pm.
You may modify these ranges and define three Comfort temperature ranges per day.
During these Comfort ranges, the temperature setpoint is adjusted using
or
.
Outside the Comfort ranges, lowering the temperature is set in “Lower ECO T°” Prog mode (see chapter “The menu in PROG mode”). - The appliance follows your installation’s external programming orders (see the manual for your programming unit).
To access the choice of modes, press then confirm the mode screen
with
. |
Choose the mode with
then confirm with
.
SWITCH
An On/Off switch is located on the back of the appliance casing. Use the switch for extended shutdowns only (outside of heating periods).
Set the switch (located on the back of the appliance) to I to switch the appliance on. When the appliance is switched off, you may need to set the day and time again.
SWITCHING THE APPLIANCE ON / OFF
- To shut down the appliance, press and hold
. - Confirm “Switch off” by pressing
. - To switch the appliance on, press and hold
. - You can also shut down the appliance from the main menu by pressing
then confirming the screen
with
. - Choose the mode with
or
then confirm with
.
LOCKING COMMANDS
To avoid the commands being changed by children, you may lock your appliance’s commands by pressing and holding
.
Select “Lock”
and confirm with
.
Do the same to unlock the commands by selecting “Unlock”
.
ADJUSTING THE TEMPERATURE
Use the consumption indicator to optimise your setting. When the consumption indicator is alongside the green symbol, your temperature setting is lower or equal to the recommended temperature.
In BASIC mode:

- Increase with
(max. 28°C). - Lower with
(min. 12°C). - Reduce again to 7°C (Frost Protection temperature cannot be changed) with
.
In PROG mode:
If the screen displays PROG, you are in a programming range in Comfort mode.
- Increase with
(max. 28°C). - Lower with
(min. 12°C).
If the screen displays ECO PROG, you are in a programming range in ECO mode (by default -3.5°C compared with the Comfort temperature).
You may modify the ECO temperature, moving away from the preset reduction (see chapter “The menu in PROG mode”).
If you set a Frost Protection temperature (7°C), then programming is suspended.
Modify this temperature when you return to restart the programming.
USING INTERNAL PROGRAMMING
MODIFYING THE PROGRAMS
You can program up to three Comfort temperature ranges for each day of the week. Outside the Comfort ranges, lowering the temperature is set in “Lower ECO T° Prog mode” (see chapter “The menu in PROG mode”).

Select the day with
. Confirm
.
Select
. Confirm
.
Select the start time for the first Comfort period with
or
.
Confirm
. Select the end time with
or
. Confirm .
Complete the same operation for the second Comfort period and then for the third Comfort period or confirm
.
Copying a program
You may copy a day’s program to one or more days.
Select
. Confirm
.
Scroll through the days with
or
.
Confirm the day to copy the program with
.
To confirm the copy, select “Copy”. Confirm
.
Example: Program copy from Monday to Tuesday,Thursday, Friday.

Deleting a Comfort temperature period
Select the day with
. Confirm
.
Select
. Confirm
.
On the start time, select 0:00 with
. Confirm
.
On the end time, also select 0:00 with
then confirm
.
USING EXTERNAL PROGRAMMING
The appliance follows your installation’s external command orders by Pilot Wire link.
- Activate the mode

- Access the programming source

Select prog. Source with
. Confirm
.
Select Ext. control with
then confirm
.
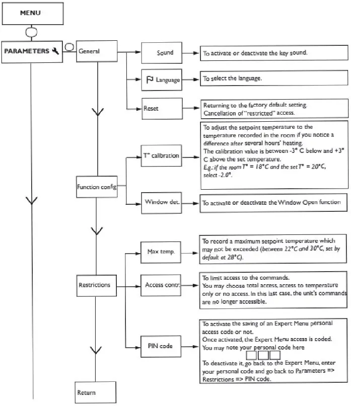
The Open Window menu enables detection of temperature variations associated with opening and closing your windows. If you forget to switch off your appliance when a window is open for a long time, this function lets you get around this and prevents your appliance from heating up unnecessarily.
The appliance automatically switches to Frost Protection mode (7°C) when it detects an open window and rises to the setpoint temperature when it detects that the window has been closed (the detection time is variable). The appliance reacts to the opening and closing of windows according to several variables, which particularly include:
- Desired temperature in the room
- Outside temperature
- Configuration of the installation

We do not recommend using this function in corridors and rooms located near an entry door which opens to the outside.
The Open Window menu can be accessed from the Prog. Mode
Press
and confirm the screen
with
.
Press
to reach the
menu and confirm with
.
Choose Active or Inactive with
or
then confirm with .
Consumption indicator
Irrespective of the mode, you can access the power consumption indicator through the information menu
. It will display consumption in KWh and the price in euros.
To access the information menu
, press
and confirm the
screen with
.
- Press
to reach the
menu and confirm with
. - You can see the cost and the number of KWh consumed.
- You can change the KWh price by scrolling to € using the
arrow, then confirm with
. - You can also reset the meter by moving to RAZ then reset.


The menu in PROG mode

The menu in EXPERT mode
To access the appliance’s advanced functions, press
and at the same time
for over 3 seconds.


Restrictions
You can restrict access to the temperature adjustment.
In the Basic mode or Prog mode menus.
Access Parameters
, select “Restrict”.
- The temperature will be restricted to a maximum of 23°C.
- A warning will appear if the temperature is increased with a request for confirmation (the compulsive overheating function).
- Access to the Expert mode menu is secured using a PIN code.
Deactivation is possible by resetting the appliance (refer to the Expert mode menu).
Shedding
Our appliances are compatible with different shedding systems. However, you must not use mains disconnection shedding as this system is incompatible with our appliances. Sharpunplanned and repeated electricity supply disconnections may cause premature wear and damage to electronic boards which are not covered by the manufacturer’s warranty.
The screen switches to standby during shedding periods.
The appliance then returns to its initial operating mode.
Troubleshooting
| Problem encoun- tered | Checks to make |
| The control unit screen does not come on . | Check that the switch located behind the appliance is in the I posi- tion . Check the power supply to the appliance . |
| The ambient temperature differs from that displayed on the appliance . | A period of at least six hours needs to elapse for the temperature to stabilise . It is possible, depending on your installation, that you will record a temperature that differs from that displayed on the appliance (a differ- ence of 0.5°C is normal) . In this case, refer to the “Expert mode menu” “T° Calibration” chapter . |
| The appliance does not heat up . | If you have chosen programming, check that you are within a Com- fort time window . Check that the installation’s circuit-breakers are set or that the cut-off device (if present) has not interrupted the operation of the appliance . Check the air temperature in the room: if it is too high compared to the setpoint temperature, the appliance will not heat up . |
| The appliance heats up continuously . | Check that the appliance is not located in a draught (door open nearby, air escaping through the cable cover behind the appliance) or that the temperature setting has not been changed . There may be a problem in the electrical network . In the event of a problem (thermostat blocked, etc.), cut the power supply to the appli- ance (fuse, circuit-breaker) for approximately 10 minutes, then turn the appliance back on . If the phenomenon repeatedly occurs, check the power supply with your power distributor . |
| The appliance does not heat up suffi- ciently . | Increase the temperature by pressing (refer to the “Adjusting the temperature” chapter) . If the setting is at the maximum, perform the following checks: – Check whether there is another form of heating in the room . – Ensure that your appliance only heats up the room (door closed) . – Check the power supply voltage for the appliance . – Check whether the power of your appliance is suitable for the size of your room (we recommend an average of 100 W/m2 for a ceiling height of 2.50 m or 40W/m3) . |
| The surface of the appliance is very hot . | It is normal for the appliance to be hot when it operates, the maxi- mum surface temperature is limited in accordance with the NF Elec- tricity standard . However, if you feel that your appliance is always too hot, check that the power is suitable for the surface area of your room (we recommend an average of 100 W/m2 for a ceiling height of 2.50 m or 40W/m3) and that the appliance is not placed in a draught that could interfere with its temperature regulation . |
| Problem encoun- tered | Checks to make |
| Traces of dirt appear on the wall around the appliance . | In a polluted environment, dirt can appear on the appliance’s air out- lets or on the wall . This phenomenon is associated with the poor quality of the ambient air (smoke from cigarettes, candles, incense, fire- places, etc.) . In this case, we recommend checking that the room is properly ventilated (ventilation, air inlet, etc .) . |
| The Expert mode menu is not accessible . | Have your entered a PIN code? You must enter your PIN code to ac- cess the Expert mode menu (refer to the Expert mode menu chapter) . If you forgot your PIN code, enter code 081 . |
| The appliance does not follow the internal programming instructions . | Check that the date and time are set . Check that the appliance is in PROG mode and that internal programming is selected . |
| The appliance does not follow the ex- ternal programming instructions . | Ensure that the programming unit is being used correctly (refer to the unit’s operating instructions) . Check that the appliance is in PROG mode and that internal pro- gramming is selected . . |
|
The appliance does not respond to the instructions from the pilot wire . | Perform the following checks to check for the correct transmission of the programming instructions: |
If you are unable to resolve your problem, contact your distributor/installer, with the details of the appliance readily available. These are located on the side of the appliance. Record the room temperature.
The commercial Code (C) and the serial Number (E) will inform the manufacturer of the type of appliance that you have acquired.
- A Standards, quality labels
- B Brand name
- C Commercial code
- D Manufacturer’s reference
- E Serial No.
- F Manufacturer’s No.

| Technical specifications measured and calculated according to REGULATION (EU) 2015/1188 . | |||
| Model references | Q1H-BD1 | ||
| Characteristic | Symbol | Value | Unit |
| Heat output | |||
| Rated heat output | P nom | 0 .5 to 2 .0 | kW |
| Minimum heat output | P min | 0 .0 | kW |
| Maximum continuous heat output | P max,c | 2 .0 | kW |
| Auxiliary electricity consumption | |||
| At rated heat output | el max | 0 .000 | kW |
| At minimum heat output | el min | 0 .000 | kW |
| In standby mode | el sb | 0.00045 | kW |
| 0 .45 | W | ||
| Type of heat output / room temperature check | |||
| Characteristic | Function present? | Additional information | |
| Electronic control of the room temperature and weekly programmer . | yes | ||
| Other inspection options | |||
| Room temperature check, with presence detector . | no | ||
| Room temperature check, with open window detector . | yes | ||
| Remote control option . | no | ||
| Adaptive activation control . | no | ||
| Activation time limiter . | no | ||
| Black goble sensor . | no | ||
| Contact details | Idem last cover page | ||
Warranty conditions
DOCUMENT TO BE KEPT BY THE USER
(Only present the certificate when making a claim)
- The warranty lasts for two years from the date of installation or purchase and cannot exceed 30 months from the date of manufacture unless supporting evidence is provided.
- The warranty only applies in France.
- The warranty covers the exchange or the supply of parts acknowledged to be faulty and excludes any compensation or damages.
- The cost of labour, travel and transportation will be borne by the user.
- Damage caused by a noncompliant installation, a power supply network that does not comply with the NF EN 50160 standard, non-standard use or failure to comply with the stipulations in this manual are not covered by the warranty.
- Only present the certificate when making a claim with the distributor or your installer, taking care to add your purchase invoice.
- The provisions of these warranty conditions do not prevent the buyer from benefiting from the legal warranty for defects and hidden defects that apply in any event under the conditions of Articles 1641 et seq. of the French Civil Code.
ATLANTIC
Rue Monge – ZI Nord
85002 LA ROCHE SUR YON FRANCE
www.atlantic.fr























